| Titel: | Dingler's Polytechnisches Journal, Band 219, Jahrgang 1876 |
| Herausgeber: | Zemann Johann [GND], Dr. Ferdinand Fischer |
| Zugänge: | Artikelübersicht | Digitale Sammlungen (SLUB) | TEI-XML |
| Barcode SLUB: | 32422724Z |
Dingler's Polytechnisches Journal.
Herausgegebenvon Johann Zeman in Augsburg und Dr. Ferd. Fischer in
Hannover.
Fünfte Reihe. Neunzehnter Band.
Jahrgang 1876.
Mit 45 in den Text gedruckten und 12 Tafeln Abbildungen (Taf. A, B und I bis
X).
Augsburg.Druck und
Verlag der J. G. Cotta'schen Buchhandlung.
Dingler's Polytechnisches Journal.
Herausgegebenvon Johann Zeman in Augsburg und Dr. Ferd. Fischer in
Hannover.
Zweihundertundneunzehnter Band.
Jahrgang 1876.
Mit 45 in den Text gedruckten und 12 Tafeln Abbildungen (Taf. A, B und I bis
X).
Augsburg.Druck und
Verlag der J. G. Cotta'schen Buchhandlung.
Inhalt des zweihundertundneunzehnten Bandes.
Erstes Heft.
Ueber neue Dampfmaschinen-Steuerungen; von Ingenieur Müller-Melchiors.* 1
I. Steuerungen mit einem Schieber: Hackworth* 3
Towle * 6
Deprez * 7 u. 9
Heusinger von Waldegg * 8
Davey* 10
Die Motoren auf der Wiener Weltausstellung 1873; von Professor J. F. Radinger. * 13
Die hydraulischen Motoren von Nagel und Kaemp: Vollturbine für veränderliche Wassermengen * 13
Partialturbine mit drehbarem Leitschaufelapparat 15
Partialturbine mit radialem Regulator 16
Wassersaugapparat 16
Dampfejectionsapparat 17
Coll's Sicherheitsventil für Dampfkessel. * 17
Kautschukdichtung für das Erproben der Locomotivsiederöhren; von Oberingenieur Alex. Lindner.* 18
Meßapparat für Dampfkessel-Speisewasser. * 19
Ueber die Untersuchung des Nutzeffectes von Kesselfeuerungen mit Hilfe des Winkler'schen Gasanalysenapparates; von Adolf F. Weinhold. 20
Johnston's Luftcompressionsmaschine. * 30
Reid's Fallthüre für Aufzüge. * 31
Riemenscheibe mit Randflanschen. * 32
Combinirte Frictions- und Klauenkupplung für Wellen; von Josef Keim in Thann. * 32
Gesteinsbohrmaschine von G. H. Reynolds in New-York. * 33
Verfertigung platter Zündhölzer in Schweden; von Professor Dr. W.
F. Exner. * 35
Die Beschlüsse des internationalen Congresses für einheitliche Garnnumerirung in Turin; von A.
Lohren. 36
Jockel's Hängewerkseisen für hölzerne Dachstühle. * 46
Ueber Dumont's Maschinen für Ziegelfabrikation; von L. Ramdohr. * 46
Ueber mechanische Rostöfen; von Friedrich Bode, Civilingenieur in
Haspe (Westphalen). * 53
Amerikanische Oefen zur Destillation der Zink-, Silber- und Bleilegirung. * 60
Gegenbemerkungen zu Prof. H. Meidinger's
„Grundsätze der Galvanoplastik“; von Friedrich Kick. 61
Meidinger's galvanisches Element von J. W. Bussemer in Heidelberg. * 63
Construction der Perkins'schen Wasserheizung; von C. Schinz. * 68
Ein Thermo-Regulator für Trockenkästen; von Rob. Muencke *
72
Ueber die Absorptionsspectren verschiedener Farbstoffe, sowie über Anwendung derselben zur
Entdeckung von Verfälschungen; von Herm. W. Vogel in Berlin. * 73
Neue spectro-elektrische Röhre von B. Delachanal und A. Mernet. * 81
Le Tellier's Apparat zur Reinigung des Wassers für Dampfkessel,
Druckerei, Färberei etc. * 83
Ueber Eieralbumin und Blutalbumin; von G. Witz. 84
Das Verhalten des Titans zu Eisen; von Richard Ackermann in
Stockholm. 86
Miscellen. Eichenauer's Curvenmaßstab. 88
Johnson's Verfahren zur Herstellung profilirter Bleche
(Wellenblech). 89
Puddeln mit natürlichem Gas. 89
Schlackenwolle. 90
Zum Kohlenverbrauch. 90
Ueber die Feuerbeständigkeit der Gasretorten; von H. Brehm.
90
Ueber Kältemischungen aus Schnee und Schwefelsäure; von L. Pfaundler. 90
Elektricität als Ursache von Explosionen in Pulvermühlen. 91
Wichtigkeit guter Erdleitungen bei Blitzableitern. 92
Zur Bestimmung des specifischen Gewichtes der Gase; von A. Wagner. 92
Gewinnung von Aldehyd bei der Bleizuckerfabrikation; von Ernst Dollfus in Chemnitz. 92
Ein vergessener Farbstoff für Glacéleder. 93
Gehalt der Eieralbuminlösungen an festem Albumin (mit 15 Proc. hyproskopischem Wasser)
bei 17,5°; von G. Witz. 93
Fray-Bentos-Guano; von B. Tollens. 93
Die Zusammensetzung der Palmkuchen; von Prof. Jul. Lehmann.
94
Trichinen im Schweinefleisch; nach Dr. Hundögger. 94
Verwerthung von Kupfer- und Weißblechabfällen. 96
Alte und neue chemische Formeln. 96Bezeichnung der deutschen Maße, Gewichte und Münzen. 96Citate. 96
Zweites Heft.
Construction der Perkins'schen Wasserheizung; von C. Schinz. *
(Forts.) 97
Die Motoren auf der Wiener Weltausstellung 1873; von Professor J. F. Radinger. * (Fortsetzung.) 107
Hochdruck-Partialturbine von Escher, Wyß und Comp. in Leesdorf bei Wien * 107
Stirling's Dampfreversirung für Locomotiven. * 108
Amerikanischer Nagelzieher. * 109
Wünsche und Lüders' Patent
Maßstabtheilmaschine. * 110
Verbesserte Schneidbacken; mitgetheilt von Professor Arzberger. *
113
J. Goldmann's Drehbank zum Schraubenschneiden nach Metersystem; von
H. Walz. * 115
Universal-Nietambos für Röhren von kleinem Durchmesser und großer Länge; von Pankraz
Eppler, k. k. Maschinenbau-Ingenieur in Pola. * 116
Fürth's Metallkarden; mitgetheilt von Professor Kick. * 121
Rauchabkühlungsapparat auf der Königin Louise-Grube in Oberschlesien. * 123
Ponsard's Gasofen für Schweißofenbetrieb etc. * 125
Hackney's Verfahren zum Gießen von Stahlingots. * 128
Ueber elektrische Pendelbewegung; von A. v. Glasser. * 130
Geist * 130
E. Röschke * 131
Automattaster für Eisenbahn-Läutewerke; von Ludwig Kohlfürst. * 133
Theorell's Typendruck-Meteorograph. 137
Grundsätze der Galvanoplastik; Erwiederung von Professor H. Meidinger. 141
Ueber die Erkennung mit Traubenzucker gallisirter Weine; von C. Neubauer in Wiesbaden. 146
Untersuchung der Biere, die in Wien getrunken werden; von Professor Fr. Schwackhöfer. * 147
Ein Farbstoff des Pflanzenreichs; von Dr. B. C. Niederstadt. 165
Verfahren, um verdorbenes Albumin mittels Pepsin zu regeneriren; von J. Wagner und G. Witz. 166
Die Natronsalpeterindustrie in Südamerika; von M. V. L' Olivier.
171
Die erste Tiefbohrung mit dem Diamantröhrenbohrer in der Schweiz; von Heinrich Ott, Salinendirector und Ingenieur der schweizer
Steinkohlengesellschaft. 173
Miscellen. Huët's Wasserlocomotive. 177
Industrielle Verwendung der Sonnenwärme; von Mouchot. 177
Colossale Centrifugalpumpe von John und Henry Gwynne. 177
Ueber die Gruner'sche Bestimmung der Heizkraft der Steinkohle; von L. Lintz. 178
Füllmasse für Heizapparate; von Grimm und Corvin. 178
Amerikanische Eisenbahnstatistik. 179
Ueber die Bildung von Kesselstein; von H. Schäfer. 179
Reservesitze für Tramwaywagen; von C. B. Sheldon. 180
Zink-Kohlen-Batterie von John J. Blair. 180
Vorherverkündigung der Erdbeben durch Galvanoskope in Telegraphenleitungen; von Destieux. 180
Anziehungs- und Abreißzeit der Elektromagnete; von Schneebeli. 181
Ueber die Reinigung der Abfallwässer aus Tuchfabriken; von Schwamborn. 182
Verfahren, um Wolle und Tücher von vegetabilischen Stoffen zu reinigen; von E. Lix. 182
Ueber neue Desinfectionsmittel; von Kletzinsky. 182
Platintiegel mit Goldüberzug; von Smith. 183
Lithiumcarbonat; von A. W. Hofmann. 183
Zur Dextrinbildung; von Anthon. 183
Einfluß der Entblätterung auf den Zuckergehalt der Rüben. 183
Ersatz für Epine vinnet in der Gerberei; von Eitner. 184
Vergiftung durch Ziegenmilch. 184
Drittes Heft.
Ueber die Ausnützung der Brennstoffe; von Prof. H. Fritz in Zürich.
185. 552
Bremse für Fördermaschinen; von Prof. Julius v. Hauer. * 203
Poulot's Schleifmaschine. * 204
Special-Fräsmaschine aus der Fabrik von G. W. Justus und
Comp. in Hamburg; mitgetheilt von Prof. Hoyer. * 205
Kusebauch und Lazar's
Patent-Schienennagelzange und Schienennagel. * 208
Getreidereinigungsmaschine „Excelsior“; von R. Puhlmann in Berlin. * 209
Construction der Perkins'schen Wasserheizung; von C. Schinz. *
(Forts.) 210
Asthoewer's Stahlschiene mit eingeschweißtem Kern. * 220
Bicheroux Gasofen; von L. Taskin. * 220
Gußeisernes Straßenpflaster
von Friedr. Haas in Lennep. * 224
Muchin's Regulator für Federuhren. * 225
Zwillings-Hängezeug für Grubenaufnahmen; Patent R. Schneider
und Wilhelm Kraft. * 226
Optische Telegraphie mittels Lichtblicke. 231
Universal-Batterieumschalter für Telegraphenwerkstätten, physikal. Cabinette etc.; von
H. Schellens, Telegraphen-Inspector in Cöln. * 233
Ein neues Galvanometer mit verticaler Laterne; von Dr. Georg F.
Barker, Professor der Physik. * 234
Camacho's Elektromagnete mit röhrenförmigen Kernen. * 238. 552
Bean's pneumatisch-elektrischer Gaszündungsapparat. 238
Wm. H. Zimmermann's hydro-elektrische Lampe mit
Anzünde- und Auslöschvorrichtung. * 241
Ueber Zündholz-Mischungen; von Prof. Dr. H. Schwarz. 243
Ueber Pohl's Verfahren zur Fabrikation von Kochsalz aus Soolen; von
Dr. Georg Lunge
(South-Shields). * 245
Ueber eine eigenthümliche Art von Dampfkesselerosion; von Prof. V. Martha in Budapest. 252
Ueber Potasche; von Dr. H. Grüneberg in
Kalk bei Cöln. 254
Zur Gewinnung des Thalliums; von Dr. R. Nietzki. 262
Die Fabrikation des essigsauren Natron und der reinen Essigsäure aus Holzessig; von Ernst Dollfus. 265
Ueber Ultramarin-Fabrikation; von C. Fürstenau. 269
Zur Warnung für Besitzer von Ventilatoren. * 272
Miscellen: Ventildampfmaschine von C. Brown in Winterthur. 273
Dampfkutsche von Bollée in Mans. 275
Singer'sche Schlauchpumpe; von Prof. Heeren. 275Der Albrechts-Schacht in Przibram. 276
Analyse von Banka-Zinn; nach Blandeeren. 276270
Zur Analyse des Cementkupfers; von Fresenius. 277
Bereitung des Uchatiusstahls zu Wikmanshytte in Schweden. 277
Elektromagnetischer Regulator für den schwingenden Salon des Bessemer-Schiffes;
von Kapteyn. 277
Amerikanische Leistungen im Telegraphiren. 278
Die größte Inductionsspule. 278
Bestimmung der Phosphorsäure in Guano; von Schumann. 279
Reductionen durch Fäulnißorganismen; von Meusel und Cohn. 279
Verbrauch alkoholischer Getränke in Großbritannien und Irland. 280
Dampfwinde und Drahtseil-Straßenbahn, erfunden von W. Eppelsheimer. 280
Viertes Heft.
Ueber die Untersuchung des Nutzeffectes von Kesselfeuerungen mit Hilfe des Winkler'schen Gasanalysenapparates; von Adolf F. Weinhold. Mit einer Tabelle. (Fortsetzung.) 281
Dampfpumpe von Julius Jacobi, Hüttendirector in Kladno (Böhmen). *
288
Pickering's Dampfpumpe. * 290
Die Motoren auf der Wiener
Weltausstellung 1873; von Professor J. F. Radinger. (Schluß.) * 291
Selbststellende Windschraube von Johann Fischer in
Korneuburg 291
Der Kohlensäure-Motor von L. Seyboth in Wien 292
Calorimotor von Friedrich Siemens in Dresden * 293
Oscillationsregulator von L. A. Groth u. Comp. in Stockholm 297
Amsler's Indicator für schnellgehende Maschinen * 299
Gewindeschneidmaschine für Röhren etc.; von Robert Gottheil in
Berlin. * 301
Carrington's Festigkeitsapparate für Draht. * 303
Epi- und Hypocycloïden-Zirkel; von Dr. Plettner in Stockholm. * 304
Versuche über die Stärke von Laschenverbindungen; von C. P. Sandberg. * 305
Blocksignalapparat von Lartigue, Tesse und Prudhomme. * 307
Fortsetzung der Discusion über Grundsätze der Galvanoplastik; von Friedr. Kick. 313
Apparat zum Ueberladen von Kohlen aus Eisenbahnwägen in Schiffe; von William Armstrong in Newcastle. * 320
Lloyd's Hohofendüse. * 321
L. Nessel's patentirter Ofen zur Roheisenerzeugung mittels
Braunkohlen; von Bergrath A. Kerpely. * 322
Notizen zur hydrometallurgischen Kupfergewinnung; von Dr. Georg
Lunge (South-Shields). * 323
1) Zur Verwerthung des abfälligen Natriumsulfats 323332
2) Ueber schwammförmiges Eisen * 325
Construction der Perkins'schen Wasserheizung; von C. Schinz. *
(Forts.) 331
Regenerativ-Petroleum-Kochapparat; von Ed. Wesely,
Eisenwerksdirector in Trieben. * 341
Ueber das Weichmachen von Wasser nach Bérenger und Stingl; von W. Kalmann, Assistent an der
technischen Hochschule in Wien. 342
Untersuchungen über den Kainit von Kalusz (Galizien); von Dr. H.
Schwarz, Professor an der technischen Hochschule in Graz. 345
Die Fabrikation des essigsauren Natron und der reinen Essigsäure aus Holzessig; von Ernst Dollfus. (Fortsetzung.) 360
Die Einwirkung der Mineralsalze auf die Krystallisation des Rohrzuckers und die Bestimmung
ihres Coefficienten; von M. P. Lagrange. 363
Fabrikation von Alaun unter Druck; von Dr. M. Faudel. 365
Das chemische Holzstoff-Verfahren von Albert Ungerer in
Simmering bei Wien. 367
Ritchie's Inductionsspulen. * 368
Schlittschuhlaufen zu jeder Jahreszeit; von Diefenbach. 370
Miscellen. Verbreitung der Lehmann'schen Heißluftmaschine und der Otto und Langen'schen
Gaskraftmaschine. 371
Flüssige Kohlensäure als Motor. 371
Verdichtung von Dampfleitungsröhren. 372
Akustische Telegraphie mittels Dampfpfeifen; von W. H. Bailey. 372
Pneumatische Röhrennetze in England. 373
Wasserglas zum Anstrich auf Holz, Mauerwerk und Metallen; von Van Baerle und Sponnagel in Berlin. 373
Weiße Schmierseife (patentirte Wasserglascomposition); von G. Merz. 374
Ueber die Fabrikation von Zuckercouleur; von Anthon. 374
Ueber den Gehalt der Zuckerrüben an Stickstoff und Ammoniak; von Champion und Pellet. 374
Ueber die Wirkung einiger Desinfectionsmittel (übermangansaures Kali, Chlor, Phenol; von Schröter. Hitze; von Eidam.
Thymol; von Husemann. Salicylsäure; von Neubauer und Endemann). 375
Das Bankulöl; von C. Heckel. 376
Menschlicher Körper leuchtend durch Phosphorwasserstoff; von Maclean. 376
Ueber die Bildung von wasserfreier Schwefelsäure bei Verbrennung von Schwefelkies
(Berichtigung); von Friedr. Bode. 377
Fünftes Heft.
Ueber neue Dampfmaschinen-Steuerungen; von Ingenieur Müller-Melchiors. (Fortsetzung.) 377
II. Doppelschieber-Steuerungen: Audemar * 378
Babcock und Wilcox *
379
Ommaney und Thatam
380
Charles * 382
Denis' Compensationsregulator. * 384
Belgische Tramway-Locomotive. * 386
Blake's directwirkende Druckpumpe für hydraulische Pressen. * 387
Feuerungsanlage mit Unterwind von constantem Druck, System Tissot
und Verdié; beschrieben von L. Ramdohr. * 388
Ward's Kollergang. * 393
Universal-Drehbank; Patent von Rich. Koch u. Herm. Müller in Dortmund. * 394
Notizen über Racine de bruyère; von Eduard Hanausek in Wien. * 397
Smith und Potts' Addirstift. * 401
Präcisionswage mit einer Vorrichtung zum Umwechseln der Gewichte bei geschlossenem Wagekasten;
von Prof. Arzberger. * 402
Ein Bunsen'scher Brenner ohne Rückschlag; von Morton. * 408
Ueber die Untersuchung des Nutzeffectes von Kesselfeuerungen mit Hilfe des Winkler'schen Gasanalysenapparates; von Adolf F. Weinhold. (Schluß.) * 409. 472
Die Fabrikation des essigsauren Natron und der reinen Essigsäure aus Holzessig; von Ernst Dollfus. (Schluß.) 423
Ueber Cellulose-Fabrikation; von Dr. M. Faudel. 428
Untersuchungen über den Einfluß von Säuren und Salzen auf die Inversion des Rohrzuckers; von
M. G. Fleury. 436
Ueber den Dextringehalt verschiedener Sorten von käuflichen Stärkesyrupen; von Fr. Anthon. 437
Construction der Perkins'schen Wasserheizung; von C. Schinz.
(Forts.) 439
Dick's verbesserter Extincteur. * 449
Ueber das Verhalten von Wasserleitungsröhren; von Ferd. Fischer.
454
Optische Telegraphie mittels Lichtblicke. 462
Die amerikanischen District-Telegraphen. 463
Ein Wink für Grünspanfabrikanten; von G. C. Wittstein. 466
Miscellen. Ueber die Anwendung von Gußstahldrahtseilen beim Przibramer Bergbaue; von E. Langer. 467
Silberähnliche Legirungen von Parkes. 468
Nickelbad von Baker und Unvin.
469
Vernickelung des Eisens zu Blitzableitern; von E. Saint-Edme. 469
Ueber die Zerstörung des der Wolle beigemengten vegetabilischen Stoffes; von Barral und Salvetat. 469
Appretur für Säcke, die zum Verpacken von Guano und Dungphosphaten dienen sollen; von
Croasdale. 470
Ueber den Farbstoff der Purpurschnecke; von A. und G. de Negri. 470
Gleichzeitige Verwerthung von Kokestaub und Steinkohlentheer. 470
Tannin-Bestimmung von Barbieri. 471
Der alkoholische Procentgehalt der australischen Weine; von Moody. 471
Hopfen als Ferment; von Sacco. 471
Ozon zur Schwefelsäurefabrikation; von Reynoso. 472
Cott und Scholl's Typenschreiber
(Schreibmaschine). 472
Berichtigung zu Weinhold's Abhandlung. 472
Sechstes Heft.
Ueber Kohlenersparniß bei Dampfmaschinen; von Otto H. Müller,
Civilingenieur und Maschinenbaumeister in Pest. 473
Patent-Dampfkesselrohr-Reinigungsapparat von W. S. v. Essen in Hamburg. * 479
Hahn mit Asbestpackung; von John Dewrance und Comp. in London. * 480
Construction der Perkins'schen Wasserheizung; von C. Schinz. * (Schluß.) 480
Sicherheitskupplung für Eisenbahnfahrzeuge; von J. Obermaier in
Nürnberg. * 494
Penfield's Parallelschraubstock. * 495
Lacroix' Wassermundstück für Ziegelpressen. * 496
Ausbalancirung des Läufersteines, Patent W. Lüders und Comp.; von Civilingenieur H. Fischer in
Hannover. * 498
Dunstputzmaschine „Kanone“ von Hörde und Comp. in Wien. * 501
Verbessertes Heberbarometer von H. Wild. * 502
Maron's neuer Wechselstromtaster. * 506
Canter's Morseapparat mit elektromagnetischer Papierbewegung. *
508
Ueber die neuen doppeltwirkenden Siebsetzmaschinen; Patent Josef Kasalovsky. * 510
Ueber die Zusammensetzung der Röstgase von Schwefelkiesöfen; von A. Scheurer-Kestner. 512
Droux' Verbesserungen in der Stearinsäurefabrikation; von L. Ramdohr. * 518
Einfluß der Salze und der Glucose auf die Krystallisation des Rohrzuckers; von Durin. 521
Ueber das Verhalten von Wasserleitungsröhren; von Ferd. Fischer. *
(Schluß.) 522
Ueber die Absorptionsspectren einiger Salze der Metalle der Eisengruppe und ihre Anwendung in
der Analyse; von H. W. Vogel. * 532
Ein neues Verfahren zum Färben mit künstlichem Alizarin; von R. Forster in Augsburg. 539
Notiz über einige Wirkungen des Ozons und des Gefrierens; von Dr.
Friedr. Goppelsröder, Director der Ecole de
Chimie; zu Mülhausen i. E. 540
Ueber die Verwendbarkeit des Broms in der Hydrometallurgie, der Probirkunst und der chemischen
Technologie; von Rudolf Wagner. (Schluß). 544
Ueber die Entgypsung des Wassers durch oxalsauren Barit; von F. Anthon. 546
Miscellen. Apparat zur Beobachtung der Gehirnthätigkeit; von Messo.
547
Beschaffenheit künstlicher Mineralwässer; von Almen. 549
Prophezeihung von Regen bei hohem Barometerstand mittels des Spektroskops; von Piazzi-Smyth. 549
Einfluß der Wärme auf die Magnetisirung; von L. Favé. 549
Ueber Hydrocellulose; von A. Girard. 549
Die Ausführung der Desinfection. 550
Darstellung von doppelt kohlensaurem Kalium; von L. Pesci.
551
Kohle als Enthaarungsmittel in der Gerberei; von W. Eitner.
551
Darstellung von Antrachinon und Alizarin; von Bayer,
Weskott und Siller. 551
Bestimmung des Kaffeïns im Kaffee; von A. Commaille.
552
Mittel, um die für das Fällen der Bäume geeignetste Zeit zu erkennen; von Prillieux. 552
Heißluftmaschinen. 552
Berichtigung (Camacho's Elektromagnete S. 238). 552
Namen- und Sachregister des 219. Bandes von Dingler's polytechn. Journal. 553
Ueber neue Dampfmaschinen-Steuerungen; von
Ingenieur Müller-Melchiors.
Mit Abbildungen im Text und auf Taf. I.
Müller-Melchiors, über neue
Dampfmaschinen-Steuerungen.
Die Motoren auf der Wiener Weltausstellung 1873;
von Professor J. F. Radinger.Vergl. 1875 215 1. 289. 481. 216 193. 217 81. 443. 218 377. – Mit gefälliger Genehmigung aus dem officiellen
Ausstellungsbericht, Heft 83. Druck und Verlag der k. k. Hof- und
Staatsdruckerei. Wien 1874.
Mit Abbildungen.
Radinger, über die Motoren auf der Wiener
Weltausstellung.
F. W.Colls' Sicherheitsventil für Dampfkessel.
Mit einer Abbildung auf Taf. II [a.b/4].
Colls' Sicherheitsventil für Dampfkessel.
Kautschukdichtung für das Erproben der
Locomotivsiederöhren; von Oberingenieur Alex. Lindner.
Mit Abbildungen auf Taf.
II [d/1].
Lindner, Kautschukdichtung für das Erproben der
Locomotivsiederöhren.
Messapparat für
Dampfkessel-Speisewasser.
Mit Abbildungen auf Taf.
II [d/4].
Meßapparat für Dampfkesselspeisewasser.
Ueber die Untersuchung des Nutzeffectes von
Kesselfeuerungen mit Hilfe des Winkler'schen Gasanalysenapparates; von Adolf F. Weinhold.
Weinhold, über die Untersuchung des Nutzeffectes von
Kesselfeuerungen mit Hilfe des Winkler'schen Gasanalysenapparates.
Johnston's Luftcompressionsmaschine.
Mit Abbildungen auf Taf.
II [c/2].
Johnston's Luftcompressionsmaschine.
Reid's Fallthüre für Aufzüge.
Mit Abbildungen auf Taf.
II [d/2].
Reid's Fallthüre für Aufzüge.
Riemenscheibe mit Randflanschen.
Mit einer Abbildung auf Tafel II [c/3].
[Riemenscheibe mit Randflanschen.]
Combinirte Frictions- und Klauenkupplung
für Wellen; von Josef Keim
in Thann.
Mit Abbildungen auf Taf.
II [b.c/4].
Keim's combinirte Frictions- und Klauenkupplung für
Wellen.
Gesteinsbohrmaschine von G. H. Reynolds in
New-York.
Mit einer Abbildung auf Taf. II [d/2].
Reynolds' Gesteinsbohrmaschine.
Verfertigung platter Zündhölzer in Schweden; von
Professor Dr. W. F.
Exner.
Mit Abbildungen.
Exner, über Verfertigung platter Zündhölzer.
Die Beschlüsse des internationalen Congresses für
einheitliche Garnnumerirung in Turin; von A. Lohren.Verhandlungen des Vereins zur Beförderung des Gewerbefleißes, den 6. December 1875.
Lohren, die Beschlüsse des internationalen Congresses für
einheitliche Garnnumerirung in Turin.
Jockel's Hängewerkseisen für hölzerne Dachstühle.
Mit Abbildungen auf Taf.
I [d/2].
[Jockel's Hängewerkseisen für hölzerne Dachstühle.]
Ueber E.Dumont's Maschinen für
Ziegelfabrikation; von J.
Ramdohr.
Mit Abbildungen auf Taf.
II [b/1].
Ramdohr, über Dumont's Maschinen für Ziegelfabrikation
Ueber mechanische Röstöfen; von Friedrich Bode, Civilingenieur in
Haspe (Westphalen).
Mit Abbildungen im Text und auf Tafel I [c.d/4].
Bode, über mechanische Röstöfen.
Amerikanische Oefen zur Destillation der
Zink-, Silber- und Bleilegirung.
Mit Abbildungen auf Taf.
II [d/4].
Destillationsöfen der Zink-, Silber- und
Bleilegirungen.
Gegenbemerkungen zu Prof. H. Meidinger's
„Grundsätze der Galvanoplastik“; von Friedrich Kick.
Kick's Gegenbemerkungen zu Meidinger's Grundsätze der
Galvanoplastik.
Meidinger's galvanisches Element von J. W. Bussememer in
Heidelberg.
Mit einer Abbildung.
Meidinger's galvanisches Element.
Construction der Perkins'schen Wasserheizung; von C. Schinz.Aus dem Nachlasse des am 8. Februar 1874 verstorbenen Verfassers.
Mit Abbildungen auf Texttafel A.
Schinz, über Construction der Perkins'schen Wasserheizung.
Ein Thermo-Regulator für Trockenkästen;
von Rob. Muencke.
Mit einer Abbildung.
Muencke's Thermoregulator für Trockenkästen.
Ueber die Absorptionsspectra verschiedener
Farbstoffe, sowie über Anwendung derselben zur Entdeckung von Verfälschungen; von Herm. W. Vogel in Berlin.Aus den Berichten der deutschen chemischen Gesellschaft, 1875 S. 1246.
Mit Abbildungen.
Vogel, über Absorptionsspectra verschiedener
Farbstoffe.
Neue spectro-elektrische Röhre von
B. Delachanal und
A. Mernet.
Mit einer Abbildung.
Neue spectro-elektrische Röhre.
Le Tellier's Wasserreinigungsapparat.
Mit Abbildungen auf Texttafel B.
Le Tellier's Wasserreinigungsapparat.
Ueber Eieralbumin und Blutalbumin; von G. Witz.
Witz, über Eieralbumin und Blutalbumin.
Das Verhalten des Titans zu Eisen; von Richard Ackerman in
Stockholm.
Ackermann, über das Verhalten des Titans zu Eisen.
Miscellen.
Miscellen.
Construction der Perkins'schen Wasserheizung; von
C. Schinz.
Mit Abbildungen auf Texttafel A.
(Fortsetzung von S. 72 dieses Bandes.)
Schinz, über Construction der Perkins'schen
Wasserheizung.
Die Motoren auf der Wiener Weltausstellung 1873;
von Professor J. F.
Radinger.
Mit Abbildungen.
(Fortsetzung von S. 17 dieses Bandes.)
Radinger, über die Motoren auf der Wiener Weltausstellung
1873.
Stirling's Dampfreversirung für Locomotiven.
Mit Abbildungen auf Taf.
III [a.b/1].
Stirling's Dampfreversirung für Locomotiven.
Amerikanischer Nägelzieher.
Mit Abbildungen auf Taf.
IV [b.c/4].
Amerikanischer Nägelzieher.
Wünsche und Lüders' Patent Massstabtheilmaschine.
Mit Abbildungen auf Taf.
IV [a.b/1].
Wünsche und Lüders' Patent Maßstabtheilmaschine.
Verbesserte Schneidbacken.
Mit Abbildungen auf Taf.
III [b.c/4].
Verbesserte Schneidbacken.
J. Goldmann's Drehbank zum Schraubenschneiden nach
Metersystem.
Mit Abbildungen auf Taf.
IV [a/4].
Goldmann's Drehbank zum Schraubenschneiden nach
Metersystem.
Universal-Nietambos für Röhren von kleinem
Durchmesser und grosser LängeHier speciell besprochen zum Zusammensetzen eiserner Masten, Stengen und Raaen
für Schiffe. E.; von Pankraz
Eppler, k. k. Maschinenbau-Ingenieur in Pola.
Mit Abbildungen auf Taf.
III [a.b/3].
Eppler's Universal-Nietambos.
Fürth's Metallkarden; von Professor Kick.
Mit Abbildungen.
Kick, über Fürth's
Metallkarden.
Rauchabkühlungsapparat auf der Königin
Louise-Grube in Oberschlesien.
Mit Abbildungen auf Taf.
IV [d/1].
Rauchabkühlungsapparat.
Ponsard's Gasofen.
Mit Abbildungen auf Taf.
III [d/1].
Ponsard's Gasofen.
Hackney's Verfahren zum Giessen von Stahlingots.
Mit Abbildungen auf Taf.
III [c.d/3].
Hackney's Verfahren zum Gießen von Stahlingots.
Ueber elektrische Pendelbewegung; von A. v. Glasser.
Mit Abbildungen auf Taf.
IV [a/3].
v. Glasser, über elektrische Pendelbewegung.
Automattaster für Eisenbahn-Läutewerke;
von Ludwig
Kohlfürst.
Mit Abbildungen auf Taf.
IV [c.d/1].
Automattaster für Eisenbahn-Läutewerke.
Theorell's Typendruck-Meteorograph.
Theorell's Typendruck-Meteorograph.
Grundsätze der Galvanoplastik;
Erwiederung.
Meidinger, über Grundsätze der Galvanoplastik.
Ueber die Erkennung mit Traubenzucker gallisirter
Weine; von C. Neubauer in
Wiesbaden.
Neubauer, über die Erkennung mit Traubenzucker gallisirter
Weine.
Untersuchung der Biere, die in Wien getrunken
werden; von Professor Fr.
Schwackhöfer.
Mit Abbildungen auf Taf.
IV [a.d/3].
Schwackhöfer, über Untersuchung von Wiener Bieren.
Ein Farbstoff des Pflanzenreichs; von Dr.
B. C.
Niederstadt.
Niederstadt über einen Farbstoff des Pflanzenreichs.
Verfahren, um verdorbenes Albumin mittels Pepsin
zu regeneriren; von J. Wagner
und G. Witz.
Wagner und Witz, Regeneration von Albumin mittels
Peptin.
Die Natronsalpeterindustrie in Südamerika; von
M. V. L'Olivier.
L'Olivier, über die Natronsalpeterindustrie in
Südamerika.
Die erste Tiefbohrung mit dem Diamantröhrenbohrer
in der Schweiz; von Heinrich
Ott, Salinendirector und Ingenieur der schweizer
Steinkohlenbohrgesellschaft.
Ott, über Tiefbohrung mit dem Diamantröhrenbohrer.
Miscellen.
Miscellen.
Ueber die Ausnützung der Brennstoffe; von Prof.
H. Fritz in
Zürich.
Fritz, über die Ausnützung der Brennstoffe.
Bremse für Fördermaschinen; von Prof. Julius v. Hauer.
Mit einer Abbildung auf Taf. V [a/1].
Hauer, über eine Bremse für Fördermaschinen.
Poulot's Schleifmaschine.
Mit Abbildungen auf Taf.
V. [b/1].
Poulot's Schleifmaschine.
Special-Fräsmaschine aus der Fabrik von
G. W. Justus in Hamburg;
mitgetheilt von Prof. Hoyer.
Mit einer Abbildung.
Hoyer, über Justus' Specialfräsmaschine.
Kusebauch und
Lazar's Patent
Schienennagelzange und Schienennagel.
Mit Abbildungen auf Taf.
V [d/2].
Kusebauch und Lazar's Patent Schienennagelzange.
Getreide-Reinigungsmaschine
„Excelsior“; von R. Puhlmann in Berlin.
Mit Abbildungen auf Taf.
V. [d/3].
Amerikanische Getreide-Reinigungsmaschine.
Construction der Perkins'schen Wasserheizung; von C. Schinz.
Mit Abbildungen auf Texttafel A.
(Fortsetzung von S. 106 dieses Bandes.)
Schinz, über Construction der Perkins'schen
Wasserheizung.
Asthoewer's Stahlschiene mit eingeschweisstem Kern.
Mit einer Abbildung auf Taf. V [b/4].
[Asthoewer's Stahlschiene.]
Bicheroux' Gasofen;
von L. Taskin.
Mit Abbildungen auf Taf.
V [a/2].
Taskin, über Bicheroux' Gasofen.
Gusseisernes Strassenpflaster.
Mit Abbildungen auf Taf.
V [a/1].
Gußeisernes Strassenpflaster.
Muchin's Regulator für Federuhren.
Mit Abbildungen auf Taf.
V [c/4].
Muchin's Regulator für Federuhren.
Zwillings-Hängezeug für Grubenaufnahmen;
Patent R. Schneider und
Wilhelm Kraft.
Mit Abbildungen auf Taf.
V [b.c/4].
Schneider's Zwillings-Hängezeug für
Grubenaufnahmen.
Optische Telegraphie mittels
Lichtblicke.
Optische Telegraphie mittels Lichtblicke.
Universal-Batterieumschalter für
Telegraphenwerkstätten, physikalische Cabinette etc.; von H. Schellens, Telegraphen-Inspector in
Cöln.
Mit einer Abbildung auf Taf. V [d/1].
Schellen's Universal-Batterieumschalter.
Ein neues Galvanometer mit verticaler Laterne;
von Dr. Georg F. Barker,
Prof. der Physik.
Mit Abbildungen auf Taf.
V [d/2].
Barker's neues Galvanometer.
Camacho'sComacho's Elektromagnete mit röhrenförmigen Kernen.
Mit Abbildungen auf Taf.
V [c/a].
[Camacho'sComacho's Elektromagnete.]
Bean's pneumatisch-elektrischer Gaszündungsapparat.
Bean's pneumatisch-elektrischer
Gaszündungsapparat.
Wm. H. Zimmermann's hydro-elektrische Lampe mit Anzünde-
und Auslöschvorrichtung.
Mit Abbildungen auf Taf.
V [c/1].
Zimmermann's hydro-elektrische Lampe
Ueber Zündholz-Mischungen; von Prof. Dr.
H. Schwarz.
Schwarz, über Zündholzmischungen.
Ueber Pohl's Verfahren zur Fabrikation von Kochsalz aus
Soolen; von Dr. Georg Lunge
(South-Shields).
Mit Abbildungen auf Taf.
V [a/4].
Lunge, über Pohl's Kochsalzfabrikation aus Soolen.
Ueber eine eigenthümliche Art von
Dampfkesselerosion; von Prof. V.
Wartha in Budapest.
Wartha, über eine eigenthümliche Art von
Dampfkesselerosion.
Ueber Potasche; von Dr. H. Grüneberg in Kalk bei
Cöln.
Grüneberg, über Potasche.
Zur Gewinnung des Thalliums; von Dr. R. Nietzki.
Nietzki, zur Gewinnung des Thalliums.
Die Fabrikation des essigsauren Natron und der
reinen Essigsäure aus Holzessig; von Ernst Dollfus.
Nach der Deutschen Industriezeitung, 1875 S.
412.
Dollfus, über die Fabrikation des essigsauren Natron und der reinen
Essigsäure aus Holzessig.
Ueber Ultramarin-Fabrikation; von
C.
Fürstenau.
Fürstenau, über Ultramarinfabrikation.
Zur Warnung für Besitzer von
Ventilatoren.
Mit Abbildungen.
Zur Warnung für Besitzer von Ventilatoren.
Miscellen.
Miscellen.
Ueber die Untersuchung des Nutzeffectes von
Kesselfeuerungen mit Hilfe des Winkler'schen Gasanalysenapparates; von Adolf F. Weinhold.
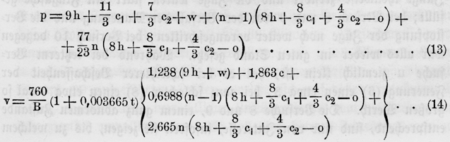
(Fortsetzung von S. 20 dieses Bandes.Im Anschluß an die Entwicklung auf S. 24 mögen, wenn auch zu dem hier behandelten
Thema nicht in directer Beziehung stehend, noch die Formeln für das Gewicht p
und das Volum v (bei B mm Luftdruck)
der pro Kilogramm Brennmaterial entweichenden Rauchgase Platz finden.Textabbildung Bd. 219, S. 281)
Weinhold, über die Untersuchung des Nutzeffectes bei
Kesselfeuerungen mit Hilfe des Winkler'schen Gasanalysenapparates.
Dampfpumpe von Julius Jacobi, Hüttendirector in
Kladno.
Mit Abbildungen im Text und auf Taf. VI [a/1].
Jacobi's Dampfpumpe.
JonathanPickering's Dampfpumpe.
Mit Abbildungen auf Taf.
VII [a/4].
Pickering's Dampfpumpe.
Die Motoren auf der Wiener Weltausstellung 1873;
von Professor J. F.
Radinger.
Mit Abbildungen.
(Schluß von S. 108 dieses Bandes.)
Radinger, über die Motoren auf der Wiener Weltausstellung
1873.
Gewindeschneidmaschine für Röhren etc.; von
Robert Gottheil in
Berlin.
Mit Abbildungen auf Taf.
VI [c. d/4].
Gottheil's Gewindschneidmaschine für Röhren etc.
Carrington's Festigkeitsapparate für Draht.
Mit Abbildungen auf Taf.
VI [b/3].
Carrington's Festigkeitsapparate für Draht.
Epi- und
Hypocycloïden-Zirkel von Dr. Plettner in Stralsund.
Mit Abbildungen auf Taf.
VII [d/1].
Plettner's Epi- und
Hypocycloïden-Zirkel.
Versuche über die Stärke von Laschenverbindungen;
von C. P. Sandberg.Nach einem vom Verfasser gef. im Separatabdruck eingesendeten Vortrage, gehalten
im Iron and steel Institute in London. (Vgl. auch
Engineering December 1875 S. 444. Engineer, December 1875 S. 390.) Die Red.
Mit Abbildungen auf Taf.
VII [b/4].
Sandberg's Versuche über die Stärke von
Laschenverbindungen.
Blocksignalapparat von Lartigue, Tesse und Prudhomme.
Mit Abbildungen auf Taf.
VII [b/1].
Lartigue, Tesse und Prudhomme's Blocksignalapparat.
Fortsetzung der Discussion über Grundsätze der
Galvanoplastik; von Friedrich
Kick.
Kick, über Grundsätze der Galvanoplastik.
Apparat zum Ueberladen von Kohlen aus
Eisenbahnwagen in Schiffe.
Mit Abbildungen auf Taf.
VI [a. b/4]
Apparat zum Ueberladen von Kohlen aus Eisenbahnwagen in
Schiffe.
Lloyd's Hohofendüse.
Mit einer Abbildung auf Taf. VI [d/2].
Lloyd's Hohofendüse.
L. Nessel's patentirter Ofen zur Roheisenerzeugung
mittels Braunkohlen; von Bergrath A.
Kerpely.
Mit Abbildungen auf Taf.
VII [c. d/4].
Kerpely, über Nessel's patentirten Ofen zur
Roheisenerzeugung.
Notizen zur hydrometallurgischen Kupfergewinnung;
von Dr. Georg Lunge
(South-Schields).
Mit Abbildungen auf Taf.
VI [c/1].
Lunge, Notizen zur hydrometallurgischen
Kupfergewinnung.
Construction der Perkins'schen Wasserheizung; von C. Schinz.
Mit Abbildungen auf Texttafel A.
(Fortsetzung von S. 219 dieses Bandes.)
Schinz, über Construction der Perkins'schen
Wasserheizung.
Regenerativ-Petroleum-Kochapparat
von Ed. Wesely.
Mit Abbildungen auf Taf.
VII [d/3].
Wesely's
Regenerativ-Petroleum-Kochapparat.
Ueber das Weichmachen von Wasser nach Bérenger und Stingl's Methode; von W. Kalmann, Assistent an der
technischen Hochschule in Wien.
Kalmann, über das Weichmachen von Wasser.
Untersuchungen über den Kainit von Kalusz
(Galizien); von Dr. H. Schwarz,
Professor an der technischen Hochschule in Graz.
Schwarz, Untersuchungen über den Kainit von Kalusz.
Die Fabrikation des essigsauren Natron und der
reinen Essigsäure aus Holzessig; von Ernst Dollfus.
(Fortsetzung von S. 269 dieses Bandes.)
Dollfus, über die Fabrikation des essigsauren Natron und der reinen
Essigsäure aus Holzessig.
Die Einwirkung der Mineralsalze auf die
Krystallisation des Rohrzuckers und die Bestimmung ihres Coefficienten; von M. P. Lagrange.
Lagrange, Einwirkung der Mineralsalze auf die Krystallisation des
Rohrzuckers.
Fabrikation von Alaun unter Druck; von Dr.
M. Faudel.
Faudel, über Fabrikation von Alaun unter Druck.
Das chemische Holzstoff-Verfahren von
Albert Ungerer in
Simmering bei Wien.
Ungerer, über das chemische Holzstoff-Verfahren.
Ritchie's Inductionsspulen.
Mit einer Abbildung.
Ritchie's Inductionsspulen.
Schlittschuhlaufen zu jeder
Jahreszeit.
Schlittschuhlaufen zu jeder Jahreszeit.
Miscellen.
Miscellen.
Ueber neue Dampfmaschinen-Steuerungen; von
Ingenieur Müller-Melchiors.
Mit Abbildungen auf Taf.
VIII.
(Fortsetzung von S. 12 dieses Bandes.)
Müller-Melchiors, über neue
Dampfmaschinen-Steuerungen.
Denis' Compensationsregulator.
Mit einer Abbildung.
Denis' Compensationsregulator.
Belgische Tramway-Locomotive.
Mit Abbildungen auf Taf.
VIII [a/3].
Belgische Tramway-Locomotive.
Directwirkende Druckpumpe für hydraulische
Pressen.
Mit einer Abbildung auf Taf. IX [a/1].
Directwirkende Druckpumpe für hydraulische Pressen.
Feuerungsanlage mit Unterwind von constantem
Druck, System Tissot und
Verdié;
beschrieben von T.
Ramdohr.
Mit Abbildungen auf Taf.
IX [b.d/1].
Tissot u. Verdié's Feuerungsanlage mit Unterwind von
constantem Druck.
W. M.Ward's Kollergang.
Mit Abbildungen auf Taf.
VIII [d/2].
Ward's Kollergang.
Universal-Drehbank. Patent von Richard Koch und Hermann Müller.
Mit Abbildungen auf Taf.
VIII [b. d/3].
Koch und Müller's Universaldrehbank.
Notizen über Racine de
bruyère; von Eduard
Hanausek.
Mit Abbildungen.
Hanausek, Notizen über Racine de
bruyère.
M. M.Smith und F. W.Potts' Addirstift.
Mit Abbildungen auf Taf.
IX [c/3].
Smith und Pott's Addirstift.
Präcisionswage mit einer Vorrichtung zum
Umwechseln der Gewichte bei geschlossenem Wagekasten; von Prof. Arzberger.
Mit Abbildungen im Text und auf Taf. IX [a/1].
Arzberger's Präcisionswage.
Ein Bunsen'scher Brenner ohne Rückschlag.
Mit einer Abbildung.
Bunsen'scher Brenner ohne Rückschlag.
Ueber die Untersuchung des Nutzeffectes von
Kesselfeuerungen mit Hilfe des Winkler'schen Gasanalysenapparates; von Adolf F. Weinhold.
Mit Abbildungen auf Taf.
IX [c.d/3].
(Schluß von S. 288 dieses Bandes.)
Weinhold, über die Untersuchung des Nutzeffectes von
Kesselfeuerungen mit Hilfe des Winkler'schen Gasanalysenapparates.
Die Fabrikation des essigsauren Natron und der
reinen Essigsäure aus Holzessig; von Ernst Dollfus.
(Schluß von S. 363 dieses Bandes.)
Dollfuß, über die Fabrikation des essigsauren Natron und der reinen
Essigsäure aus Holzessig.
Ueber Cellulose-Fabrikation; von Dr.
M. Faudel.
Faudel, über Cellulose-Fabrikation.
Untersuchungen über den Einfluss von Säuren und
Salzen auf die Inversion des Rohrzuckers; von M. G. Fleury.
Fleury, Untersuchung über die Inversion des
Rohrzuckers.
Ueber den Dextringehalt verschiedener Sorten von
käuflichen Stärkesyrupen; von Fr.
Anthon.
Anthon, Dextringehalt verschiedener Sorten von käuflichen
Stärkesyrupen.
Construction der Perkins'schen Wasserheizung; von C. Schinz.
Mit Abbildungen auf Texttafel A.
(Fortsetzung von S. 340 dieses
Bandes.)
Schinz, über Construction der Perkins'schen
Wasserheizung.
Dick's verbesserter Extincteur.
Mit einer Abbildung.
Dick's verbesserter Extincteur.
Ueber das Verhalten von Wasserleitungsröhren: von
Ferd. Fischer.Nach einem im hannoverschen Bezirksvereine deutscher Ingenieure gehaltenen
Vortrag.
Fischer, über das Verhalten von Wasserleitungsröhren.
Optische Telegraphie mittels
Lichtblicke.
Telegraphische Telegraphie mittels Lichtblicke
Die amerikanischen
District-Telegraphen.
Die amerikanischen District-Telegraphen.
Ein Wink für
Grünspan-Fabrikanten.
Ein Wink für Grünspan-Fabrikanten.
Miscellen.
Miscellen.
Ueber Kohlenersparniss bei Dampfmaschinen; von
O. H. Müller, Civilingenieur
und Maschinenbaumeister in Pest.
Müller, über Kohlenersparniß bei Dampfmaschinen.
Patent Dampfkesselrohr-Reinigungsapparat
von W. S. v. Essen in Hamburg.
Mit einer Abbildung auf Taf. X. [a. b/3].
v. Essen's Dampfkesselrohr-Reinigungsapparat.
Hahn mit Asbestpackung.
Mit Abbildungen auf Taf.
X. [b/2].
Hahn mit Asbestpackung.
Construction der Perkins'schen Wasserheizung; von
C. Schinz.
Mit Abbildungen auf Texttafel A.
(Schluß von S. 449 dieses Bandes.)
Schinz, über Construction der Perkins'schen
Wasserheizung.
Sicherheitskupplung für Eisenbahnfahrzeuge; von
J. Obermaier in
Nürnberg.
Mit Abbildungen auf Taf.
X [c.d/1]
Obermaier's Sicherheitskupplung für Eisenbahnfahrzeuge.
ElmorePenfield's
Parallel-Schraubstock.
Mit Abbildungen auf Taf.
X [b.c/2]
Penfield's Parallelschraubstock.
Wassermundstück für Ziegelpressen.
Mit Abbildungen.
Lacroix' Wassermundstück für Ziegelpressen.
Ausbalancirung des Täufersteines, Patent W. Lüders und Comp.; von Civilingenieur H. Fischer in
Hannover.
Mit Abbildungen auf Taf.
X [a/1].
Fischer, über Lüder's Ausbalancirung des Läufersteines.
Dunstputzmaschine „Kanone“
von Hörde und Comp. in Wien.
Mit einer Abbildung auf Taf. X [a/3].
Hörde's Dunstputzmaschine.
Verbessertes Heberbarometer von H. Wild.
Mit Abbildungen auf Taf.
X [d/1].
Wild's Heberbarometer.
Maron's neuer Wechselstrom-Taster.
Mit Abbildungen auf Taf.
X [a/4]
Maron's neuer Wechselstromtaster.
Canter's Morseapparat mit elektromagnetischer
Papier-Bewegung.
Mit Abbildungen auf Taf.
X [a/4].
Canter's Morseapparat mit elektromagnetischer
Papierbewegung.
Ueber die neuen doppeltwirkenden
Siebsetzmaschine; Patent Jos. Kasalovsky.Nach einem vom Verfasser gef. eingesendeten Separatabdruck aus der
Oesterreichischen Zeitschrift für Berg- und Hüttenwesen.
Mit Abbildungen auf Taf.
X [b/1].
Kasalovsky's, über doppeltwirkenden Siebsetzmaschinen.
Ueber die Zusammensetzung der Röstgase von
Schwefelkiesöfen; von A.
Scheurer-Kestner.
Scheurer-Kestner, ü. Zusammensetzung der Röstgase von
Schwefelkiesöfen.
LéonDroux' Verbesserungen in der
Stearinsäure-Fabrikation; von T.
Ramdohr.
Mit einer Abbildung auf Taf. X [a/3].
Ramdohr, über Droux' Verbesserungen in der
Stearingsäurefabrikation.
Einfluss der Salze und der Glucose auf die
Krystallisation des Rohrzuckers; von Durin.
Durin, über Einfluß der Salze und der Glucose auf
Rohrzucker.
Ueber das Verhalten von Wasserleitungsröhren; von
Ferd.
Fischer.
Mit Abbildungen auf Taf.
X [b.d/3].
(Schluß von S. 461 dieses Bandes.)
Fischer, über das Verhalten von Wasserleitungsröhren.
Ueber die Absorptionsspectren einiger Salze der
Metalle der Eisengruppe und ihre Anwendung in der Analyse; von Herm. W. Vogel.Nach den Berichten der deutschen chemischen Gesellschaft, 1875 S.
1533.
Mit Abbildungen.
Vogel, über die Absorptionsspectren einiger Metallsalze der
Eisengruppe und ihre Anwendung in der Analyse.
Ein neues Verfahren zum Färben mit künstlichem
Alizarin; von R.
Forster.
Forster's neues Verfahren zum Färben mit künstlichem
Alizarin.
Notiz über einige Wirkungen des Ozons und des
Gefrierens; von Dr. Friedr.
Goppelsröder, Director der Ecole de Chimie zu
Mülhausen i. E.
Goppelsröder, über einige Wirkungen des Ozons und des
Gefrierens.
Ueber die Verwendbarkeit des Broms in der
Hydrometallurgie, der Probirkunst und der chemischen Technologie; von Rudolf Wagner.
(Schluß von S. 332 des vorhergehenden
Bandes.)
Wagner, über die Verwendbarkeit des Broms in der chemischen
Technologie.
Ueber die Entgypsung des Wassers durch oxalsauren
Barit; von F.
Anthon.
Anthon, über die Entgypsung des Wassers durch oxalsauren
Barit.
Miscellen.
Miscellen.
[Tafeln]
Tab. I.
Tab. II.
Tab. III.
Tab. IV.
Tab. V.
Tab. VI.
Tab. VII.
Tab. IX.
Tab. VIII.
Tab. X.











