| Titel: | Die Bestimmung der Wandstärke gußeiserner Röhren; von Gießerei-Director Westendarp in Hannover. |
| Fundstelle: | Band 209, Jahrgang 1873, Nr. LVI., S. 333 |
| Download: | XML |
LVI.
Die Bestimmung der Wandstärke gußeiserner Röhren;
von Gießerei-Director Westendarp in
Hannover.
Mit Abbildungen auf Tab.
V.
Westendarp, über Bestimmung der Wandstärke gußeiserner
Röhren.
Von vielen Ingenieuren ist wiederholt der Versuch gemacht, eine rationelle und
praktisch verwendbare Formel für die Wandstärke gußeiserner Röhren zu
entwickeln.
In allerneuester Zeit hat diese Frage durch den Ausgang, den die bei Gelegenheit der
Ausführung der Wiener Hochquellenleitung zu Tage getretene Differenz der
verschiedenen Experten über die erforderliche Wandstärke der dafür zu verwendenden
Röhren genommen hat, eine erhöhte Bedeutung für die Technik gewonnen. Dieser Ausgang
widerspricht so sehr den Consequenzen des rationellen Fortschrittes, der in allen
anderen technischen Wissenschaften und Fabricationszweigen unserer Tage sich geltend
macht, daß ich zu nachstehender Bearbeitung dieser Frage dadurch veranlaßt bin. Ich
habe um so lieber mit dieser Sache mich beschäftigt, weil ich einmal als Expert in
der Wiener Frage mit betheiligt war, weil ferner die Verdienste, die der mit der
Leitung der Wiener Hochquellenleitung anfänglich betraute Ober-Ingenieur Wertheim für unsere deutsche Eisenindustrie durch die
Aufstellung der Frage der zweckentsprechendsten Wandstärken der Röhren und seine
Arbeiten darüber sich erworben hat, mir das zu fordern schienen und weil endlich
einem lange gefühlten Bedürfniß der Praxis, in der Frage der Wandstärken der Röhren
Klarheit zu haben, nachstehend genügt werden soll.
Für diese Abhandlung sind die Arbeiten verschiedener Ingenieure benutzt worden,
insbesondere die Daten und Angaben des genannten Ober-Ingenieurs Wertheim.
Untersucht man sämmtliche für die Bestimmung der Wandstärken vorhandenen Formeln
genauer, so kommt man bald zu der Ueberzeugung, daß die Anwendung jeder einzelnen
derselben für die Bestimmung der Wandstärken zu großen Bedenken Veranlassung
gibt.
Der größere Theil der vorhandenen Formeln ist in empirischer Weise entstanden, stützt
sich auf die Dimensionen ausgeführter und sich bewährt habender Röhren, läßt dabei
aber im gegebenen Falle maßgebende Abweichungen von den normalen, den Formeln zu
Grunde liegenden Annahmen, und die täglichen Fortschritte in der Fabrication, ganz
außer Acht und führt daher sehr häufig zu außerordentlichen Materialverschwendungen
und Vertheuerungen der Rohrleitungen. Die wenigen streng wissenschaftlichen, alle
auf das Rohr einwirkenden meßbaren Einflüsse
berücksichtigenden Formeln vernachlässigen dagegen die Ansprüche, welche die Praxis
machen muß, um solche Wandstärken aus ihnen herleiten zu können, die auch
thatsächlich herzustellen und ausführbar sind, auch dabei solchen Fährlichkeiten
Rechnung tragen, die beim Transport und Verlegen der Rohre unvermeidlich vorkommen,
denen aber rechnungsmäßig nicht beizukommen ist. Letztere Formeln sind daher wohl
und auch allein geeignet, der Kritik einer vorliegenden Wandstärke zur Unterlage zu
dienen und den Grad der Sicherheit, den eine gegebene Wandstärke gegen den Bruch
bietet, zu bestimmen, nicht aber sind sie geeignet, diese Wandstärke direct zu
bestimmen, was gerade für die Praxis erforderlich ist, wie wir das später darlegen
werden.
Diese Behauptungen bedürfen natürlich des Beweises, und es muß zuerst dieser Beweis
geliefert werden, um den Vorschlag, ein neues Verfahren für Festsetzung der
Wandstärken einzuführen, zu rechtfertigen. Alle vorhandenen empirischen Formeln
lassen eine Anzahl für die Wandstärken maßgebender Factoren unberücksichtigt, sie
kümmern sich wesentlich nur um den inneren, auf die Rohrwände wirkenden Druck und
den Durchmesser, und verbessern die durch solche Vernachlässigungen mangelhaft
ausfallenden Resultate durch eine den Dimensionen thatsächlich ausgeführter und sich
bewährt habender Röhren angepaßte Constante.
Dieser Weg konnte zu keinen guten Resultaten führen, einmal weil die Möglichkeit
eines Fortschrittes der Röhrenfabrication dabei außer Acht gelassen wurde und
deßhalb zur Construction dieser Formel und der Konstanten nur die Dimensionen
älterer Röhren, die höchst wahrscheinlich in mangelhafterem Verfahren hergestellt
waren, zur Verfügung standen, sodann aber auch, weil für die Wandstärke bestimmende
Factoren, z.B. die Festigkeit des Eisens, der äußere Luftdruck, die Verschiedenheit
der Spannung der inneren und äußeren Faserschicht der Wandstärke, in diesen Formeln,
trotzdem dieselben bestimmbar sind, keine Berücksichtigung gefunden haben.
Die von verschiedenen Seiten in dieser Weise abgeleiteten Formeln geben daher auch
die verschiedensten Resultate, so verschieden, daß z.B. eine Wandstärke, berechnet nach
der Formel von Redtenbacher oder nach der allgemeinen
Formel von Dupuit oft halb, bei großen Dimensionen oft
doppelt so groß sich ergibt, als wenn man sie nach der Formel von Wickstead, d'Aubuisson und Geniey berechnet hätte. Die Wandstärken, die sich aus der
Redtenbacher'schen Formel ergeben, zeigen auch mit
der Wandstärke der in Redtenbacher's Resultaten
enthaltenen Tabelle Differenzen von 10 bis 100 Procent.
Andere, aber ebenso unangenehme Inconvenienzen stehen der directen Anwendung der
streng wissenschaftlichen, allen bestimmbaren Einwirkungen auf das Rohr Rechnung
tragenden Formeln entgegen. Die beste dieser rein wissenschaftlichen Formeln ist die
von Lamé. Scheffler hat diese Formel verglichen
mit den Formeln Anderer und ist zu dem Ergebniß gekommen, daß sie die rationellste
sey. Auch Reuleaux rühmt diese Formel als die
zuverlässigste, das wahrscheinliche Verhalten der Stofftheilchen am genauesten
ausdrückende Berechnungsmethode.
Diese Lamé'sche Formel gibt die Wandstärke
Textabbildung Bd. 209, S. 335
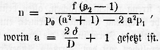
In dieser Formel bedeutet δ die Wandstärke in
Millimetern, D den lichten Durchmesser der Röhren in
Millimetern, n den Sicherheits-Coefficienten, f den Festigkeits-Coefficienten für Gußeisen, p₀ den inneren Druck und p₁ den äußeren Druck gegen die Rohrwand auf den Quadratcentimeter
in Kilogrammen. Für städtische Wasserleitungen beträgt der Druck, den die Leitung
normalmäßig zu ertragen hat, meistens nicht über 7 Atmosphären. Nehmen wir daher p₀ = 7- und 9 fache Sicherheit gegen Bruch
durch den normalen inneren Druck, also n = 9, ferner p₁ = 1, f = 1300 Kil.
und den Druck einer Atmosphäre auf den Quadratcentimeter = 1,033 Kil. und berechnen
wir, unter Einführung der genannten Werthe in die Formel, für die verschiedenen
Durchmesser die Wandstärken, so erhalten wir folgendes Resultat:
Durchmesser in
Millimetern
50,
100,
200,
300,
400,
500,
600,
700,
800,
900,
1000,
Wandstärke in
Millimetern
1,08,
2,17,
4,35,
6,52,
8,70,
10,87,
13,05,
15,22,
17,40,
19,575,
21,75,
d.h. die Formel ergibt bei kleinem Durchmesser Wandstärken,
die gar nicht herzustellen sind. Gleichen Erfolg würde man auch für die großen
Dimensionen erhalten haben, wenn man statt des hohen Druckes von 7 Atmosphären einen
geringen Druck, wie ihn z.B. Gasleitungs- und Saugrohre zu ertragen haben,
vorausgesetzt haben würde.
Dieser Mangel der Formel läßt sich bei ihrer Anwendung in der Praxis nicht
verkennen.
Wenn dieselbe daher auch schlecht zur Feststellung von Wandstärken benutzt werden
kann, so ist sie doch in hohem Grade brauchbar für die Beurtheilung einer
vorliegenden Wandstärke. Leicht bestimmbar ist nämlich mit Hülfe der Formel der
Sicherheitsgrad, den eine Wandstärke bei einer gewissen Inanspruchnahme des Rohres
bietet. Zu dem Ende hat man einfach das n der Formel zu
bestimmen, erhält also
Textabbildung Bd. 209, S. 336
Der Nachweis, daß die vorhandenen Formeln zur Bestimmung der Rohrwandstärken den
Praktiker im Stiche lassen, ist somit geführt; es bleibt uns jetzt also
nachzuweisen, wie es möglich ist, unsere Zweck, eine praktische Norm für die
Festsetzung der Wandstärken zu finden, zu erreichen.
Wie oben nachgewiesen, liegt für die praktische Verwendung der Lamé'schen Formel der Uebelstand vor, daß ihre Resultate häufig
direct nicht zu gebrauchen, weil durch sie ermittelte Wandstärken oft unmöglich
auszuführen sind. Der mit der Röhrenfabrication vertraute Ingenieur ist in der Lage
sich leicht zu helfen, da die Wandstärke, welche die Formel ergibt, einfach so weit
zu vergrößern ist, bis die Ausführung für die Art seines Fabricationsverfahrens
möglich wird. Eine so eingehende Kenntniß der Rohrfabrication ist nun aber nur von
den Rohrfabrikanten, nicht von den Consumenten der Röhren zu verlangen, und es
bleibt für diesen erwünscht, direct verwendbare Resultate benutzen zu können. Dieß
kann erreicht werden, wenn man die Grenzen bestimmt, in denen die Resultate der Lamé'schen Formel direct benutzt werden können,
und für solche Durchmesser und im Inneren der Röhren vorkommende Drücke, die nach
der Lamé'schen Formel Wandstärken ergeben würden,
welche unter der Grenze der Ausführbarkeit liegen, bestimmte
Ausführbarkeitswandstärken annimmt. Die Ausführbarkeitswandstärken sind abhängig
einmal von der Methode der Fabrication, sodann aber vom Durchmesser und von der
Baulänge; sie müssen immer einen größeren Sicherheitsgrad gegen Bruch ergeben, als
die genau nach der Lamé'schen Formel auszuführende
Wandstärke, da sie nur dann benutzt werden sollen, wenn die genau nach Lamé berechnete Wandstärke für die Ausführung zu
schwach sich ergab und deßhalb verstärkt werden mußte. Man ist bei der Anwendung
dieser Ausführbarkeitsstärken aber erst dann gegen alle Eventualitäten gesichert,
wenn dieselben hinreichende Garantie bieten, daß mit diesen Wandstärken die Röhren auch die Fähr
lichkeiten des Transportes und Verlegens ertragen können, da alle anderen,
insbesondere die aus ihrem Bestimmungszweck resultirende Inanspruchnahme, eine
reichliche Berücksichtigung schon durch die Lamé'sche Formel und die darin aufgenommenen Werthe, fanden.
Die Feststellung dieser Ausführbarkeitswandstärken ist, wie gesagt, direct abhängig
zuerst vom Fabricationsverfahren und der Reinheit und Leichtflüssigkeit des
verwendeten Roheisens, sodann aber auch vom Durchmesser und der Baulänge der Röhren,
da die abkühlenden Massen der Gußform in verhältnißmäßig höherem Grade wachsen als
die hineingegossenen Massen Eisen. Zugestehen muß man nun, daß diese die
Ausführbarkeitswandstärke bestimmenden Factoren in den einzelnen Eisengießereien die
größte Verschiedenheit zeigen.
Wir können hier nur voraussetzen, daß solche Gießereien für die Rohrausführungen in
Betracht gezogen werden, die das Bestreben haben, das Möglichste in Beziehung auf
Haltbarkeit und Güte zu leisten, mit anderen Worten, die Ausführbarkeitswandstärke
auf das niedrigste Maaß zu bringen, also Gießereien, die diese Fabrication besonders
ansgebildet haben, die Röhren stehend, in getrockneten Formen gießen, deren
Formkasten und Modelle sauber in Eisen ausgeführt sind, und die für die Röhren Eisen
von gleichförmiger Qualität und Reinheit, also nicht directes Hohofeneisen, sondern
Eisen, umgeschmolzen in Kupolöfen, verwenden.
Unter diesen Voraussetzungen können die Ausführbarkeitswandstärken wie folgt
angenommen werden:
Durchmesser in
Millimetern
25,
50,
75,
100,
125,
150,
175,
200,
225,
250,
275,
300,
325,
350,
375,
400.
Baulänge in Metern
1 1/2,
2,
2 1/2,
3,
3,
3,
3,
3,
3,
3,
3,
3,
4,
4,
4,
4.
Wandstärke in
Millimetern
6,
7,
8,
8 2/3
9,
9 1/3,
9 2/5,
10,
10 1/3,
10 2/3,
11,
11 1/3,
12,
12 1/3,
12 2/3,
13.
Durchmesser in
Millimetern
500,
600,
700,
800,
900
1000.
Baulänge in Metern
4
4,
4,
4,
4,
4
Wandstärke in
Millimetern
14 2/3,
15 2/3,
17,
18 1/3,
19 2/3,
21
Diese Ausführbarkeitswandstärken ergeben auch hinreichende Garantie für die
Fährlichkeit, welche die Röhren durch die Transporte und die Verdichtung zu erleiden
haben, wie leicht durch Beispiele ausgeführter Röhren nachgewiesen werden könnte.
Sie können daher für Röhren, die einen nicht nennenswerthen inneren Druck zu
ertragen haben, also z.B. für Gasröhren, zur Wandstärkenfeststellung direct benutzt werden. Die
Verwendung der Ausführbarkeitswandstärke findet also dann statt, wenn die Lamé'sche Formel eine geringere Wandstärke für den
vorliegenden Fall ergibt; es muß dann statt der berechneten Wandstärke die
entsprechende Ausführbarkeitswandstärke gewählt werden. Um nun eine tabellarische
Aufstellung der Wandstärken anfertigen zu können, müssen wir die Grenzen bestimmen,
zwischen welchen die Durchmesser der in der Praxis erforderlichen gußeisernen Röhren
schwanken, und gleichzeitig auch die Grenzen kennen lernen, zwischen denen sich die
auf die Röhren wirkenden Drücke in der Praxis bewegen.
Die meisten zur Verwendung kommenden Gas- und Wasserleitungsröhren haben
lichte Durchmesser von 25 bis 1000 Millimet. Ueber 1000 Millimet. Durchmesser hinaus
kommen, meines Wissens, in Deutschland nur Röhren in Berlin vor; weitergehende
Durchmesser können also für unsere Tabelle unberücksichtigt bleiben.
In Beziehung auf den normalen inneren Druck, welcher resultirt aus der Druckhöhe der
in den Röhren eingeschlossenen Wassersäule zuzüglich des Druckes der Atmosphäre auf
die Oberfläche des die Röhren mit Wasser füllenden Bassins, sobald die Leitung
geschlossen, dürfte die Annahme eines Maximaldruckes von 9 Atmosphären genügen, da
bei sämmtlichen Stadtwasserleitungen, deren Druckverhältnisse bekannt, z.B.
Amsterdam, Berlin, Braunschweig, Carlsruhe, Cöln, Düsseldorf, Frankfurt, Halle,
Hamburg, Leipzig, Lübeck, Magdeburg, Pest, Stettin, Stuttgart, Wiesbaden, dieser
Druck nicht bis auf 9 Atmosphären kommt, nur bei der Zuleitung für die neue Anlage
in Frankfurt kommt ein innerer Druck von 13 1/2 Atmosphären vor.
Als normaler innerer Minimaldruck genügt aber eine Annahme von 1 2/3 Atmosphären, da
Röhren, die selbst einen noch geringeren Druck zu ertragen haben, z.B. Saugröhren,
Durchlaufröhren, Gasröhren, doch, um ihre Dichte zu constatiren, mindestens einem
Probedruck von 2 Atmosphären Ueberdruck unterworfen werden, was selbst unter
Voraussetzung eines Probedruckes von der Größe des dreifachen normalen Druckes, eine
normale Inanspruchnahme von noch 2/3 Atmosphären gleich 0,68 Kil. Ueberdruck als
Minimum voraussetzt. Die normale Inanspruchnahme gußeiserner Röhren, wie solche die
Praxis uns gibt, liegt also zwischen 1 2/3 und 9 Atmosphären Druck. Da nun durch
Zufälligkeiten, z.B. Stöße der durch die Röhren eingeschlossenen Wassersäule oder
durch in der Praxis schwer ganz zu vermeidende zufällige Erweiterungen des lichten
Durchmessers oder geringe Excentricität der inneren und äußeren Umfangsflächen,
wodurch in beiden Fällen eine Verschwächung der Wandstärke verursacht wird, die
Inanspruchnahme des Materiales sich höher herausstellen kann, als durch alleinige
Berücksichtigung des hydrostatischen Druckes und der vorausgesetzten Wandstärke sich
ergeben würde, so ist es nothwendig, die Wandstärke der Röhren auch diesen
zufälligen erhöhten Inanspruchnahmen anzupassen. Man erreicht diesen Zweck am
einfachsten durch die Voraussetzung, die Röhren haben einen dreifach höheren Druck
zu ertragen, als es in der That der Fall ist. Gußeisen darf nun aber bis auf
höchstens 30 Procent seiner Bruchfestigkeit in Anspruch genommen werden. Will man
daher gesichert dagegen seyn, daß diese erhöhten Inanspruchnahmen auf das Material
der Röhren keinen bleibenden nachtheiligen Einfluß hinterlassen sollen, so muß also
eine 3 × 3 1/3, das ist eine zehnfache Sicherheit gegen Bruch durch die
normale Belastung der Wandstärken zu Grunde liegen. Unsere Tabelle ist daher für
einen inneren Druck von 1 2/3 bis 9 Atmosphären einzurichten und bei der Bestimmung
der Wandstärken der Sicherheitsgrad gleich 10 anzunehmen.
Wird, wie häufig geschieht, bestimmt, daß die Röhren Schlagen mit leichten
Handhämmern im Spannungszustande ertragen sollen, so darf für die Druckprobe kaum
der doppelte Normaldruck festgestellt werden. Letztere Bestimmung ist eine der
schlechtesten, die es gibt, weil die Größe der Wirkung des Hammerschlages von dem
Gewicht und der Endgeschwindigkeit abhängt, mit welcher der Hammer die Fläche der
Röhren trifft, letztere aber in dem persönlichen Belieben des hammerführenden
Schlägers liegt und nach Kraft, Temperament und Laune sehr verschieden ist. Die
Beseitigung dieser Bestimmung ist daher im wahren Interesse für Abnehmer und
Lieferanten zu wünschen und durch eine Bestimmung zu ersetzen, die statt der
Hammerschläge fallende Gewichte aus vorgeschriebener Höhe festsetzt: die reellste
Probe bleibt aber die reine Druckprobe mit dem 2- bis 2 1/4- fachen
normalen Druck. Ein weiterer für die Feststellung der Wandstärke in Frage kommender
Factor ist der außen auf die Röhren wirkende Druck. Derselbe entspricht dem Drucke
der Atmosphäre, zuzüglich des Druckes den das Gewicht der aufliegenden Erde
hervorbringt. Letzterer Theil dieses äußeren Druckes kann unberücksichtigt bleiben;
es genügt die alleinige Berücksichtigung des Atmosphärendruckes, weil durch diese
Fortlassung keine Verschwächung, sondern eine (höchst unbedeutende) Verstärkung der
Wandstärke folgert.
Was nun den Festigkeits-Coefficienten des verwendeten Gußeisens anbetrifft, so
müßte, streng genommen, der Festigkeits-Coefficient des Eisens bestimmt
werden, welches von der Gießerei, von der man die Röhren beziehen will, für die
Röhren verwendet wird. Die Beziehungsquelle ist jedoch vorher selten zu bestimmen,
daher bleibt also nur übrig, einen Mittelwerth dafür festzustellen und sich mit der
Thatsache zu begnügen, daß Röhren für eine Wasserleitungsanlage stehend in
getrockneten Formen aus Kupolöfen gegossen werden sollen und bei diesen
Productionsbedingungen der Festigkeits-Coefficient des Eisens den zu
bestimmenden Mittelwerth sicher übertreffen wird.
Der Ingenieur-Kalender von Stühlen, das Taschenbuch
„Die Hütte,“ das Portefeuille für Ingenieure von Morin geben für die absolute Festigkeit des Gußeisens
1242, 1305, 1290 Kil. Als Mittelwerth kann daher 1300 Kil. für den Quadratcentimeter
angenommen werden.
Durch die Resultate von Sprengproben, die in der von mir geleiteten Gießerei
vorgenommen wurden, ergab sich immer ein höherer Festigkeits-Coefficient als
der angegebene. Bei dieser Gelegenheit will ich eine Frage erledigen, die in der
Praxis vielseitig zur irrthümlichsten Auffassung Veranlassung gegeben. Die
Bestimmung, die Röhren stehend zu gießen, hat neben dem Vortheil, daß das die Form
ausfüllende flüssige Eisen den Kern, um den das Rohr gegossen wird, nicht einseitig
zu verschieben sucht, wie das bei liegend gegossenen Röhren der Fall ist, den
einzigen Zweck, das Hinaufsteigen und den Austritt der beim Eingießen des Eisens in
die Form mit hinein gezogenen oder darin zurückgebliebenen Luftbläschen,
Kohlenstäubchen und Schlackentheilchen in solche Theile der Röhren zu fördern, die
für die Röhren bleibend nicht erforderlich sind, das sind die Trichter und
verlorenen Köpfe, um sie dadurch unschädlich zu machen. Der Auftrieb dieser Theile
erfolgt, weil sie specifisch leichter als das flüssige Eisen sind; da mithin deren
Beseitigung das Eisen reiner macht, so wird es dichter, demgemäß seine Festigkeit erhöht. Nicht aber wird die Festigkeit durch stehenden Guß deßhalb erhöht,
weil der ferrostatische Druck größer ist als beim liegenden Guß. Die Molecüle ordnen
sich, folgend dem mächtigen Einfluß der chemischen Gesetze und den Gesetzen der
Wärme, und lassen sich darin nicht beirren durch eine ferrostatische Druckhöhe von 3
bis 4 Meter. Auf dieser falschen Ansicht beruht nun auch die in der Praxis häufig
vorkommende Bestimmung, die Röhren sollen mit den Muffen nach unten gegossen werden.
Nur aus der oben angeführten falschen Anschauung über die Consequenzen des stehenden
Gusses ist diese Bedingung entstanden, indem man annahm, das untere, weil das
gedrücktere, sey auch das festere Ende des Rohres, und die Muffe, der doch das beste
Material gegeben werden müsse, sei daher nach unten zu gießen.
Meiner Meinung nach sollten gute Röhren überhaupt von gleichförmiger Qualität seyn. Es muß also durch die Einrichtung der Form
dafür gesorgt seyn, daß der mitgenommene Schmutz sich entfernen kann. Das ist aber leichter zu
ermöglichen, wenn sich die Form nach oben erweitert, also wenn man die Muffe nach
oben nimmt, als wenn man die Sache umkehrt; um so leichter noch, weil die Muffe mehr
Masse enthält und länger flüssig bleibt. Außerdem kommt hierbei noch in Betracht,
daß die Muffe mit einem sehr geringen Aufwand an Material bedeutend verstärkt werden
könnte, daß also eventuell selbst dieses geringe Opfer nicht zu scheuen wäre, um
nicht das für die Ausscheidung der Schlacken wesentlich bessere Verfahren, die Muffe
beim Guß oben im Kasten haben zu können, aufgeben zu müssen. Die Bestimmung, die
Muffe beim Guß unten im Kasten zu haben, ist also, streng genommen, verkehrt. Wie
würde man lächeln, wollte man z.B. bei Locomotivcylindern verlangen, das eine oder
andere Ende müsse, nach unten gerichtet, abgegossen werden, damit es dichter werde.
Jeder vernünftige Ingenieur wird einfach verlangen, dieselben in gleichförmiger Qualität zu erhalten und es den
Fabrikanten überlassen, diese Aufgabe zu lösen.
Alles Material, was zur Aufstellung der Tabelle nöthig war, ist in Vorstehendem
vorhanden. Durch Einführung der Werthe von D = 25, 50,
75, 100 bis 1000 Millimet., von p₀ = 1 2/3, 2, 3
bis 9 Atmosphären, von p₁ = 1 Atmosphäre = 1,033
Kil., von n = 10, von f =
1300 in die Lamé'sche Formel, erhalte ich die
verschiedenen Wandstärken δ, wie die Tabelle auf
Seite 342 und 343 zeigt.
Die Tabelle ergibt, daß bei einem Drucke von 9 Atmosphären das 425 Millimet. weite
Rohr zuerst eine, nach Lamé's Formel ausführbare
Wandstärke erhält. Alle Röhren von kleinerem Durchmesser können also nur nach der
Ausführbarkeitswandstärke hergestellt werden. Ferner zeigt die Tabelle, daß für
weitere Röhren nur dann die Lamé'sche Formel
verwendbar ist, wenn der innere Druck zum mindesten 7 Atmosphären beträgt. Auch hier
dient die Hinzufügung der Ausführbarkeitswandstärke der Praxis als Aushülfe. Der
Tabelle ist beigefügt die Columne 4, die angibt, welchen Grad der Sicherheit die
Ausführbarkeitswandstärke bei dem in Columne 5 angeführten inneren Druck p₀ ergibt, sowie die Columne 9, die diesen
Sicherheitsgrad für den Maximaldruck von p₀ = 9
zeigt. Diese Columnen erweisen, daß durch Einführung der Ausführbarkeitswandstärke
der normale Sicherheitsgrad mehr als versechsfacht werden kann. Die Tabelle ergibt
ferner, daß, um allen Anforderungen zu genügen, 97 verschiedene Wandstärken
hergestellt werden müssen. Da für jede einzelne der größeren Dimension vier
verschiedene Wandstärken erforderlich sind, so würde der Weg, die Rohrdimension
absolut genau ausführen zu wollen, unpraktisch seyn, da für den
Tabelle der Dimensionen von Muffröhren von
25 bis 1000 Millimet. lichter Weite, unter Zugrundelegung der beschriebenen
Normalmuffe.
D₁ ist gleich D + 2 δmax, d.h. der äußere Durchmesser des geraden
Röhrentheiles ist gleich dem in Frage stehenden lichten Durchmesser der Röhre,
zuzüglich der doppelten größten Wandstärke, welche die Tabelle für die fraglichen
Durchmesser ergibt.
Textabbildung Bd. 209, S. 342
Lichte Weite in Millimet.; Baulänge
in Metern; Ausführbarkeits-Wandstärke in Millimetern) auch Wandstärke der
Gasröhren); Sicherheitsgrad n der Röhren bei der
Ausführbarkeits-Wandstärke; Für einen inneren druck p₀; Wandstärken, berechnet nach der
Lamé'sche Formel für einen inneren Druck von p₀ = 7 Atm.; p₀ = 8 Atm.;
p₀ = 9 Atm.; Sicherheitsgrad n₁ der Röhren für die
Maximal-Wandstärke, diese für p₀ =
Atmosph. berechnet.; D₁ Millimet. äußerer
Durchmesser; Gewicht für den Meter Baulänge in Kilogrm. bei
Ausführbarkeits-Wandstärken; bei Maximal-Wandstärken; Bemerkung.
Die nicht in den Columnen 6, angeführten Wandstärken der kleinen Röhren und die
überall nicht speciell angeführten Wandstärken der Röhren für geringeren Druck
als 6 Atmosphären fallen nach der Lamé'schen Formel schwächer, als die
Ausführbarkeit es nöthig macht, aus. Dieselben sind daher stets nach den
Ausführbarkeits-Wandstärken festzustellen.
Fall 97 Modelle vorhanden seyn müßten, selbst wenn man mit
einem Modell für jede Sorte auskommen wollte. Es empfiehlt sich daher, die Modelle
nach den größten, in der Praxis noch häufig vorkommenden Inanspruchnahmen zu
construiren und minderen Inanspruchnahmen unter Beibehaltung des größten äußeren Durchmessers
durch Vergrößerung des inneren
Durchmessers und dadurch herbeigeführte schwächere Wandstärke Rechnung zu tragen. In
diesem Falle würden nur 40 Modelle erforderlich werden. Diese Verminderung der
Wandstärke darf natürlich nur den geraden Theil der Röhren treffen, da die
Dimensionen der Muffe ganz anderen Einflüssen angepaßt sind. Die Muffe hat das
Verstemmen zu ertragen, und das erfordert eine Widerstandsfähigkeit der
Muffenwandstärke, die mit dem im Inneren der Röhren wirkenden Drucke nichts zu thun
hat.
Aus diesem praktischen Erfordernisse, den äußeren Durchmesser bei Anwendung
schwächerer Wandstärken constant zu erhalten, und den gleichen Zweck durch
Vergrößerung des inneren Durchmessers zu erzielen, ein System, was seit Jahren in
der von mir geleiteten Fabrik in Anwendung ist, resultiren mehrere Vortheile. Einmal
ist der Abnehmer zufrieden, ebenso leistungsfähige Röhren zu erhalten, sodann ist
die Möglichkeit ihm gegeben, Röhren über 425 Millimet. Weite gleichzeitig aus
anderen Fabriken, die gleiches System befolgen, beziehen zu können, deren
Wandstärken aus beliebigen Gründen stärker gemacht werden, weil die Muffen nach dem
constanten äußeren Durchmesser construirt, alle mit einander passen müssen. Endlich
bietet dieses System den Vortheil, daß man den Façonröhren gleiche Muffen,
wie den entsprechend weiten geraden Röhren, geben kann, und dabei, falls der
Maximaldruck in der Leitung 9 Atmosphären nicht erreicht, was in den seltensten
Fällen nur vorkommt, die Façonröhren, von 425 Millimet. Weite ab, in ihren
Wandungen verstärken kann, ohne den vorgeschriebenen Lichtdurchmesser, resp. den
Dichtungsspielraum in der Muffe, durch Vergrößerung des äußeren Durchmessers der
Façonröhren, vermindern zu müssen. Eine Verstärkung der Façonröhren,
über das nothwendige Maaß der Wandstärke der geraden Röhren, empfiehlt sich aber
deßhalb bei den über 425 Millimet. weiten Façonröhren, weil bei diesen Röhren
viel leichter größere Excentricitäten der Umfassungsflächen und ungleiche
Wandstärken, trotz aller angewendeten Sorgfalt, vorkommen können, wie das bei den
einfachen geraden Röhren der Fall ist. Da die Wandstärken der Röhren unter 425
Millimet. Durchmesser nach der, selbst für 9 Atmosphären inneren Druck noch einen
höheren Sicherheitsgrad als 10 ergebenden Ausführbarkeitsgrenze bestimmt sind, so
ist bei den Façonröhren für diese Dimension keine Verstärkung nöthig, weil
beispielsweise bei einem inneren Druck von 8 Atmosphären diese Wandstärke im Minimum
eine mehr als 11fache Sicherheit bietet. Nur für Röhren, die einen inneren Druck von
9 Atmosphären zu ertragen haben, müßten die Muffen der Façonröhren geändert
werden, derselbe Fall tritt aber auch für die geraden Röhren ein, wenn dieselben
einen stärkeren Druck wie 9 Atmosphären ertragen sollen. Beide Fälle kommen zu
selten vor, um hier darauf Rücksicht nehmen zu müssen. Die Tabelle zeigt endlich
noch die für Consumenten und Fabrikanten wichtige Thatsache, daß alle Röhren bis 425
Millimet. Durchmesser, deren Wandstärken sämmtlich nach der Ausführbarkeit bestimmt
werden mußten, allen Ansprüchen, welche die Praxis in der Regel an Röhren stellt,
genügen können, daß also diese Röhren für Gas- und Wasserleitungen
gleichzeitig zu benutzen sind, weil sie schwächer nicht herzustellen sind, ihre
Wandstärke aber doch für alle Ansprüche, die an Wasserleitungsröhren zu stellen
sind, völlig genügt. Durch diesen Umstand ist den Fabriken die ununterbrochene
Anfertigung von Röhren ermöglicht, da sie, weil diese Röhren zu jeder Bestellung zu
verwenden, davon auch auf Lager arbeiten lassen können, dem Consumenten ist aber der
rasche Empfang von Röhren für Erweiterungsanlagen, wozu meist die kleineren
Dimensionen erforderlich sind, ermöglicht.
Als Normalmuffe würde ich eine solche zur Annahme empfehlen, die in ihren
Hauptverhältnissen schon zur Zeit vielseitige Anerkennung gefunden hat und durch
Fig. 8 der
bezüglichen Abbildungen dargestellt ist.
D₁ ist gleich D + 2
δmax,
d.h. der äußere Durchmesser ist gleich dem in Frage stehenden lichten Durchmesser
zuzüglich der doppelten größten Wandstärke, welche die Tabelle für den fraglichen
Durchmesser ergibt.
In dieser Muffe wird das schlichte Röhrenende in einen im Grunde der Muffe sitzenden
conischen Ring a, a hineingesteckt. Dieser conische Ring
verengt sich beinahe bis zur äußeren Weite des hineintretenden Röhrenendes. Durch
Hineinschieben des Röhrenendes centrirt sich die zu dichtende Röhre von selbst und
braucht nicht mit Holzkeilen abgestützt zu werden, wie das, des nöthigen Spielraumes
halber, bei Röhrenenden geschehen muß, die einen Bund am Ende haben. Der vordere
Ansatz dieses conischen Ringes verhindert ferner ein Durchstemmen des
Dichtungsstrickes über das Röhrenende hinaus, was bei Röhrenenden mit Bund am Ende
häufig vorkommt.
Die vorgeschlagene Muffe entbehrt der von einzelnen Ingenieuren beliebten Bleinuth an
der Innenseite des oberen Endes der Muffe, wodurch das Hinausziehen der Bleidichtung
verhindert werden soll. Dieser Zweck wird durch diese Construction im Grunde nicht
erreicht, da, wollen sich die Röhren ein Mal zusammenziehen, der vorspringende
Bleirand das nicht verhindern wird, und es dann gleichgültig ist, ob die
Dichtungsmasse sich in der Muffe etwas vorwärts bewegt oder das Röhrenende in der
Dichtungsmasse. Bei der Muffconstruction ohne Bleinuth können diese
Zusammenziehungen sich auf beide Weisen ausgleichen; es ist das zur Verhütung von
Röhrenbrüchen entschieden vorzuziehen. Die Herstellung dieser Bleinuthe erhöht auch
unnöthig die Schwierigkeit der Herstellung der Röhren.
Die Verdichtungsmethode, wornach Röhren und Muffen abgedreht und ausgebohrt werden,
mag sich in einzelnen Fällen, z.B. beim Verlegen der Röhren in sehr wasserreichem
Terrain, empfehlen, andererseits wird die Leitung dadurch aber sehr steif und
unnachgiebig, wodurch leicht Röhrenbrüche herbeigeführt werden; auch ist die
Ausführung kostspielig. Aehnlich geht es mit vielen anderen in neuester Zeit
vorgeschlagenen Muffverbindungen. Bis heute hat sich Fig. 8 als die
brauchbarste und ihren Zweck immer erfüllende erwiesen. Allen einzelnen Abmessungen
der vorstehenden Normalmuffe ist der äußere Röhrendurchmesser zu Grunde gelegt, wie
die eingeschriebenen Verhältnißzahlen zeigen, weil die Muffe einzig und allein den
Einwirkungen des Verstemmens beim Verdichten zu widerstehen hat, und diese abhängig
sind von der Weite der Muffe, resp. der äußeren Röhrendurchmesser. Die Dimensionen
der Röhren bleiben unverändert, wenn der gerade Theil der
Röhren, der schwächeren Inanspruchnahme halber, in seinen Wandstärken vermindert
wird. Da ihren Dimensionen äußere Durchmesser, mit selten nothwendig werdenden,
stärksten Wandstärken zu Grunde gelegt sind, so wird der Unterschied zwischen den
Wanddicken der Röhren und der Muffe meist stärker ausfallen, als das Normalprofil
zeigt.
Für die Normalflantsche empfiehlt sich eine Flantsche, wie Fig. 9 zeigt. Dieselbe
ermöglicht ein leichtes Auswechseln einer einzelnen Röhre aus einer langen Leitung,
sie hat daher keine ein gedrehten Verdichtungsringe
bekommen. Die Zahl der Schrauben bestimmt sich nach dem Umfange der Röhren und ist
abhängig vom äußeren Durchmesser. Die Zahl der Schrauben Z ist = 2 + D 1/50 zu nehmen. Um aber eine
durch 4 theilbare Schraubenzahl zu bekommen,Ein Vorschlag, der vom westfälischen Bezirksverein ausgeht, mir soeben zur
Kenntniß gekommen ist, sich sehr empfiehlt und daher im Vorstehenden gleich
berücksichtigt ist. was sich für in Anwendung kommende Façonröhren empfiehlt, da diese in
dem Falle nach zwei Richtungen, die um 90° gegeneinander verschoben liegen,
benutzt werden können,
muß das aus 2 + D 1/50 sich ergebende Resultat durch 4
theilbar seyn. In den meisten Fällen wird das nicht der Fall seyn, dann bestimmt die
nächste nach oben oder nach unten liegende ganze durch 4 theilbare Zahl die
Schraubenzahl. Z.B. für D = 50 Millimet. ist D₁ = 64 Millimet., darnach wird Z = 2 + 64/50 = 3,2. Die Nächstliegende ganze durch 4
theilbare Zahl ist 4, mithin auch die Zahl der Schrauben 4. Für 500 Millimet. weite
Röhren ist D₁ = 532,2, mithin ist Z = 24 + 532,2/50 = 2 + 10,6 = 12,6, mithin ist Z = 12 zu nehmen. Die Dicke der Schrauben muß natürlich
mit der Stärke der Flantschen und diese mit der Größe
des Röhrendurchmessers wachsen. Da das Whitwort'sche Schraubensystem in der Welt das verbreitetste ist, so muß
die Schraubendicke dem System entsprechend um 1/8 Zoll engl. steigen. Die Dicke der
Schrauben ist zu bestimmen nach d = 1/8 (3 + D₁/150) Zollen, was entsprechend mit dem
Nächstliegenden ganzen 1/8 Zoll engl. auszugleichen ist.
Z.B. für D₁ = 64 Millimet. wird:
Textabbildung Bd. 209, S. 347
für D₁= 532 Millimet.
wird:
Textabbildung Bd. 209, S. 347
Der Durchmesser des Dichtungsringes ist D₂ = 18 + 1,02 D₁ Millimet., der
Durchmesser des durch die Mitte der Schrauben gelegten Kreises ist D₃ = 31,5 + 1,055 D₁, der äußere Flantschendurchmesser D₄ = 60 + 1,1 D₁, und die
Flantschendicke w = 13 + 0,003 D₁ zu nehmen.
Die Schraubenlöcher sind um 3 Millimet. weiter als der Durchmesser der Schrauben
ergibt, einzugießen. Endlich bleibt noch zu bemerken, daß die kleinen
Flantschenröhren bis zum Durchmesser von 50 Millimet. eine Baulänge von 2 Met., die
größeren Flantschenröhren bis zum Durchmesser von 75 Millimet. eine Baulänge von 2,5
Met., die noch weiteren eine Baulänge von 3 Met. erhalten. Eine noch größere
Baulänge ist für Flantschenröhren zu vermeiden, weil wegen der beiden Manischen
sonst leicht ein Abreißen der Röhren in der Form durch das Schwinden vorkommt. Die
kurze Baulänge von 3 Met. würde eine Verminderung der Ausführbarkeitswandstärken,
gegenüber den 4 Met. langen Muffröhren wohl ermöglichen. Der Umstand aber, daß
Flantschenröhren meist größeren Temperaturdifferenzen, durch ihre, dem Einflusse der Atmosphäre
ausgesetzte Lage und durch die hohe Temperatur, die sie als Dampfröhren wechselnd
annehmen, ausgesetzt sind, läßt es zweckmäßig erscheinen, davon abzusehen; die
Ausführbarkeitswandstärken bleiben also für gleiche Durchmesser dieselben bei
Flantschenröhren und Muffröhren. Auch bei Flantschenröhren bleiben die Dimensionen
der Manischen, ebenso wie bei den Muffröhren die Muffen, bei schwächerem inneren
Druck unverändert; ebenso bewegen sich die Inanspruchnahmen durch inneren Druck in
der Praxis in denselben Grenzen, wie das bei den Muffröhren der Fall ist.
(Zeitschrift des Architekten- und Ingenieurvereines für Hannover, 1872 S.
495.)
Tafeln
