| Titel: | Tresca's Bericht über die neuesten Versuche mit einer Belou'schen Heißluftmaschine. |
| Fundstelle: | Band 185, Jahrgang 1867, Nr. CXVI., S. 409 |
| Download: | XML |
CXVI.
Tresca's Bericht über die neuesten Versuche mit einer Belou'schen
Heißluftmaschine.
Nach dem Bulletin de la Société
d'Encouragement, Januar 1867, S. 9.
Mit Abbildungen auf Tab.
VI.
Tresca's Bericht über Versuche mit einer Belou'schen
Heißluftmaschine.
Die Papierfabrikanten Auzou und Comp. zu Cusset im Depart. Allier wandten sich an die Société d'Encouragement in Paris mit dem
Gesuche, eine Prüfung mit der in ihrem Etablissement aufgestellten, von Mazeline nach Belou's System
erbauten Heißluftmaschine durch Sachverständige vornehmen zu lassen. Mit diesem
Auftrage wurden Tresca und Alcan betraut und ersterer erstattete über die erhaltenen Resultate an die
genannte Gesellschaft folgenden Bericht.
Es ist bekannt, daß schon vor dem Auftreten der Ericsson'schen calorischen Maschine verschiedene andere Heißluftmaschinen
vorgeschlagen und versucht worden sind. Diejenige jenes geschickten Constructeurs
hatte indessen die Aufmerksamkeit der Techniker am meisten auf sich gezogen, und
zwar vorzugsweise in Folge des von ihm angewendeten sogen. Regenerators, eines aus
einer Menge von durchlöcherten Metallplatten oder von Metallgeweben bestehenden
Apparates, der beim Durchströmen der austretenden heißen Betriebsluft einen Theil
ihrer Wärme durch Leitung in sich aufnehmen, zurückbehalten und dieselbe beim
nächsten Kolbenhub der zuströmenden kalten Luft wieder abgeben sollte. So sinnreich
diese Anordnung auch war, so hat sich dieselbe in der Praxis doch nicht bewährt, und
die Maschine von Ericsson ist in dieser Hinsicht auf das
gewöhnliche Princip der calorischen Maschine zurückgeführt worden, wornach kalte
Luft in einen Cylinder eingeführt, comprimirt, erhitzt und die hierdurch in Folge
ihrer Ausdehnung gewonnene Arbeit nutzbar gemacht wird, indem man letztere dazu
verwendet, um einestheils die frische kalte Luft zu comprimiren und die Widerstände
der Maschine zu überwinden, und anderntheils den übrigbleibenden Theil dieser Arbeit
auf die Betriebswelle überträgt.In Betreff der verschiedenen Systeme der nach und nach in's Leben getretenen
Heißluftmaschinen sehe man Bd. CLXXXIII S. 114 u. 115 (zweites Januarheft
1867) dieses Journals, wo sich eine principielle
Eintheilung derselben findet, die mit Angabe einzelner Beispiele
belegt ist.
Diese Andeutungen machen es begreiflich, daß hierbei ein großer Theil, meist sogar mehr als die
Hälfte der erzeugten Arbeit wieder zur Speisung der Maschine, d.h. zum Betriebe der
nöthigen Luftpumpe absorbirt wird, und daß, da die Erhitzung, und folglich auch die
Ausdehnung und der wirksame Druck der Luft in derartigen Maschinen eine gewisse
Grenze nicht überschreiten darf, solche calorische Maschinen bei gleicher
Leistungsfähigkeit immer viel größer und voluminöser ausfallen als
Dampfmaschinen.
Diese Uebelstände sind auch bei der Heißluftmaschine von Belou nicht beseitigt. Dieselbe zeichnet sich aber vor anderen
Heißluftmaschinen dadurch aus, daß der Treibcylinder durch Luft gespeist wird,
welche zuvor durch die Feuerung geführt worden ist, sich hier zum Theil in
Kohlenoxyd und Kohlensäure umgewandelt hat und so fast die ganze aufgewendete Wärme
nach den Betriebsorganen überträgt. Vom theoretischen Standpunkt erscheint diese
Anordnung sehr vortheilhaft, indessen kann auch hier nur die praktische Erfahrung
entscheiden, ob die empfindlichen Maschinentheile durch das in den Cylinder
eingeführte Gemisch von Kohlensäure und Kohlenoxyd, von atmosphärischer Luft, Rauch,
Asche und Kohle nicht bald zu sehr nothleiden, beschädigt und unbrauchbar werden.
Bei sorgfältiger Untersuchung fanden die Experten zwar, daß im vorliegenden Falle
der Betriebscylinder nach ziemlich langem Betriebe noch vollständig gut erhalten
war. Die Oberfläche desselben war noch glatt und rein, wie wenn kein fremder Körper
in Berührung mit ihr gekommen wäre, was keineswegs der Fall seyn konnte, da der
Kolben durchwegs mit Kohletheilchen und anderen Unreinigkeiten bedeckt war. Allein
dieß genügt noch keineswegs zur Entscheidung der Frage, ob bei längerem Gebrauch die
erwähnten Stoffe sich nicht nachtheilig für die Erhaltung der damit in Berührung
kommenden Maschinentheile erweisen würden.
Was die Wärme betrifft, welche bei solchen Maschinen gewöhnlich durch den Austritt
der noch ziemlich heißen verbrauchten Luft verloren geht, so hat Belou zur Vermeidung dieses Wärmeverlustes keine
besondere Vorkehrung getroffen, sondern läßt jene Gase frei in die Luft austreten.
Ihre Temperatur hat sich bei den Versuchen ziemlich genau ermitteln lassen und die
nöthigen Angaben hierüber folgen unten bei näherer Besprechung dieser Versuche.
Nachdem der Berichterstatter hier noch zur Vergleichung auf die früher von ihm mit
einer kleineren Belou'schen Maschine unternommenen
VersucheIm polytechn. Journal Bd. CLXXVII S.
413. aufmerksam gemacht hat, wird nun die Maschine in der Papierfabrik zu Cusset speciell betrachtet.
Dieselbe war ursprünglich für eine Oelmühle in Saint-Ouen bestimmt, wo sie
möglichst wenig Raum einnehmen sollte, weßhalb sie mit verticalen Cylindern versehen
worden ist und die ganze Anordnung eine ziemliche Höhe erhalten hat. Sie wurde, wie
bereits bemerkt, von dem Mechaniker Mazeline gebaut. Nur
einige Details und im Besonderen die später noch näher zu besprechende
Schmiervorrichtung sind unter der unmittelbaren Leitung von Jouffray und Sohn in Vienne ausgeführt worden.
Das Gewicht der Maschine beträgt 35,000 Kil. (700 Zollctner.) und dasjenige des
Schwungrades 15,000 Kil. (300 Zollctner.), das Gesammtgewicht also nicht weniger als
50,000 Kil. (1000 Zollctner.), woraus auf die Mächtigkeit der Maschine geschlossen
werden kann.
Die Maschine selbst besteht aus einem Speisecylinder oder einer Luftpumpe,
vermittelst welcher die äußere atmosphärische Luft angesaugt, comprimirt und dann
mittelst einer Röhrenleitung in einen geschlossenen Herd getrieben wird und, nachdem
sie sich erhitzt und mit den Verbrennungsgasen vermischt hat, in den Arbeitscylinder
gelangt, wo sie theils mit Volldruck, theils durch Expansion auf den Kolben wirkt,
und endlich in einen Schornstein, freilich noch mit ziemlich hoher Temperatur,
austritt.
Diese ganz neu angeordnete Maschine ist in den Figuren 1–4 abgebildet,
und zwar zeigt Fig.
1 einen Grundriß der ganzen Maschine, Fig. 2 einen
Verticalschnitt durch die Achse der beiden Cylinder, Fig. 3 einen
Horizontalschnitt durch die Tragsäulen unter den beiden Cylindern und Fig. 4 eine
Seitenansicht der ganzen Maschine.
Wie aus diesen Figuren zu ersehen, besteht die Maschine aus vier Haupttheilen: 1) aus
dem Feuerherd A und dem Zubehör; 2) aus dem
Speisecylinder oder der Luftpumpe F; 3) aus dem
Betriebscylinder D und 4) aus dem Gestell H, H und den Bewegungsmechanismen, wozu namentlich die
beiden Kettenstangen P, P', die Kurbelstangen Q, Q', die Kurbeln m und n, und die Haupttreibwelle M
mit dem Schwungrad V gehören.
Der geschlossene Feuerherd A besteht aus einer
cylindrischen Umhüllung von Gußeisen, in welche die vom Speisecylinder kommende Luft
unter dem Gestell bei A' eintritt und aus welcher sie,
nachdem sie sich erhitzt hat, durch die Röhre A'' in den
Treibcylinder D gelangt. Dabei ist B der Trichter, in den man das Brennmaterial
einschüttet, welches durch ein vom Getriebe B' von der
Hauptwelle aus bewegtes Drehventil dem inneren Herd gehörig vertheilt zugeführt
wird, während C, C' Thüren des Feuerraumes und des
Aschenfalles, c den Mechanismus des Rüttlers oder
Rostschürers und c', c' die Mannlöcher bedeuten. D zeigt den Treibcylinder mit seinem Kolben D', in welchen die comprimirte und erhitzte Luft direct durch das Rohr A'' eintritt und durch die Entleerungsventile E, E' und das Rohr U
entweicht. d ist eine doppelte Umhüllung, in welcher die
vom Speisecylinder oder der Luftpumpe F abgeführte Luft
circulirt, damit sie sich vorläufig an der inneren Wand des Treibcylinders erwärme
und zugleich diesen abkühle. F zeigt ebenso den
Speisecylinder mit dem Kolben F'. Die frische
atmosphärische Luft tritt in diesen Cylinder durch die Ventile f ein, welche mit der äußeren freien Luft in Verbindung
stehen. Sie communicirt hernach durch das Rohr g mit der
doppelten Umhüllung d des Cylinders D und wird von da durch ein zwischen den Tragsäulen
angebrachtes besonderes Rohr (welches jedoch in den Zeichnungen nicht angegeben ist)
in den geschlossenen Feuerraum A getrieben, von wo sie,
wie schon bemerkt, durch das Rohr A'' als Betriebsluft
in den Cylinder D zurückgelangt und alsdann durch die
Ventile E, E' und das Rohr U
in das Freie entweicht. H, H, H, H sind die Säulen,
wodurch die Maschine gestützt und getragen wird, und an welchen zugleich die
Geradführungen für die Kolbenstangen P, P' befestigt
sind.
Der Betriebscylinder hat einen Durchmesser von 1,40 Met. und dessen Kolben einen Hub
von 1,50 Met. Der Speisecylinder dagegen hat einen Durchmesser von 1,00 Met. und
sein Kolben denselben Hub von 1,50 Met. Das Volumen des ersteren ist demnach
Textabbildung Bd. 185, S. 412
und dasjenige des letzteren
Textabbildung Bd. 185, S. 412
Kub. Met., so daß also der Inhalt des Speisecylinders nur
ungefähr die Hälfte von jenem des Treibcylinders beträgt. Beide Cylinder sind im
ersten Stockwerk der Fabrik nebeneinander angeordnet und von je vier gußeisernen
Säulen H getragen, zwischen welchen unten am Boden die
Lager für die horizontale Betriebswelle M angebracht
sind. Diese Welle hat einen Durchmesser von 0,30 Met. und ist mit den beiden Kurbeln
von 0,73 Met. Länge versehen, welche mit den Kurbel- und Kolbenstangen und
dadurch mit dem Betriebs- und Speisecylinder in Verbindung stehen. Diese
beiden Cylinder sind doppeltwirkend, und erfolgt die Regulirung des Luftzutrittes
bei dem Speisecylinder durch das selbstthätige Spiel der Ventile f, bei dem Betriebscylinder hingegen mittelst Excentrics
durch Daumenstangen, welche das Spiel der Ventile E, E'
bewirken. Die Ventile des ersteren haben einen Durchmesser von 0,27 Met. und einen
Hub von 0,035 Met.; die des letzteren dagegen haben einen Durchmesser von 0,33 Met.
und den gleichen Hub von 0,035 Met. Jene bieten daher der Luft eine Durchgangsfläche von 0,0594 Quadratmet.
und diese eine solche von 0,0726 Quadratmet., also bloß ungefähr ein Zwanzigstel des
Cylinderquerschnitts dar.
Während des Ganges wird nun von der Luftpumpe ungefähr 1 Kubikmet. atmosphärische
Luft angesaugt, die noch vor dem Hubwechsel so stark comprimirt wird, daß sie im
Stande ist das Ausgangsventil zu öffnen, von welchem sie zunächst durch das Rohr g nach dem Mantel d oder
zwischen die doppelte Umhüllung des Betriebscylinders gelangt, um, wie bereits
bemerkt, die hier angesammelte Wärme aufzunehmen und zugleich die Wände des
Betriebscylinders vor zu großer Erhitzung zu schützen.
Von der Umhüllung d strömt die vorgewärmte Luft durch ein
0,25 Met. weites, folglich
Textabbildung Bd. 185, S. 413
Quadratmeter Querschnitt fassendes und vielleicht etwas zu
enges Rohr, welches zwischen den Tragsäulen auf den Boden herabreicht und unter dem
Gestell bei A' in den Feuerherd A einmündet, in den Zeichnungen jedoch nicht zu sehen ist.
Der Feuerraum A ist in einem horizontalen Cylinder aus
Gußeisen von 1,20 Met. Durchmesser und 2,00 Met. Länge eingeschlossen. Sein Inhalt
von 2,26 Kubikmet. wird größtentheils von dem den Rost umgebenden Mauerwerk aus
feuerfesten Steinen ausgefüllt, so daß für die Luft und Verbrennungsgase im Inneren
bloß ein ringförmiger Raum von 0,02 Met. Weite übrig bleibt. Die zugeführte, bereits
vorgewärmte Luft wird zum Theil durch den Rost geleitet, der bei 0,80 Met. Breite
aus 24 Roststäben von 1 Met. Länge gebildet wird und zwischen den Stäben im Ganzen
bloß einen freien Zwischenraum von 0,40 Quadratmeter besitzt. Dieser Zwischenraum
wird aber noch etwas verringert durch drei Reihen Rostreiniger oder Rostschürer, die
sich von Außen bewegen lassen und gestatten, die Kohlen auf dem Rost umzuschüren,
ohne den Herd selbst öffnen zu müssen. Die Roststäbe ruhen hinten auf einem festen
Querträger, vorn aber auf einer beweglichen Traverse, welche es möglich macht den
Roststäben von Außen her eine beliebige Neigung bis zu 45° zu geben.
Die durch die Zwischenräume der Roststäbe in den Feuerraum getriebene Luft strömt von
da durch den ringförmigen Raum zwischen den Wänden des eingesetzten feuerfesten
Mauerwerks und dem Cylindermantel, und hierauf durch das Rohr A'' in den Treibcylinder D, oder, wenn man die
Maschine anhalten oder langsamer gehen lassen will, durch das Austrittsrohr U und den Schornstein in's Freie. Außerdem ist die Maschine mit einem
Sicherheitsventil, das auf 2,5 Atmosphären gespannt, versehen, durch welches die
überschüssige erhitzte Luft entweicht. Da jedoch die Maschine gewöhnlich nur mit
einem Druck von 2 Atmosphären, statt, wie es vorgeschlagen war, mit 3 Atmosphären
arbeitet, so dürfte dieses Sicherheitsventil füglich wegbleiben, um so mehr, als man
es auch sonst in der Gewalt hat, die durch den Rost strömende Luftmenge durch ein
besonderes Ventil zu reguliren und demgemäß die Temperatur und den Druck derselben
innerhalb der passenden Grenzen zu erhalten.
Am Vordertheil des cylindrischen Feuerherdes und über der höchsten Stelle, die der
Rost einnehmen kann, befindet sich der Rumpf oder Kohlentrichter B zur Aufnahme des Brennmaterials. Derselbe ist oben mit
einem durch eine Schraube verschließbaren Deckel und unten mit einem von der
Betriebswelle aus mittelst Excentric, conischen Rädern und Sperrklinke in Umdrehung
versetzten durchbrochenen Schieber versehen, durch welchen die Kohlen nach und nach
auf den darunter befindlichen Rost gelangen. Bei c ist
überdieß der Mechanismus zur Bewegung der Rostschürer, bei c', c' (Fig. 2) sind die Mannlöcher auf der hinteren und bei C, C' (Fig. 4) die Herd-
und Aschenfallthüren auf der vorderen Seite des Ofens.
Ist der Kohlentrichter leer, was durch einen anderen, ebenfalls von Außen zu
handhabenden Schürstab angezeigt wird, so öffnet man ihn und füllt ihn auf's Neue,
ohne daß der Gang der Maschine unterbrochen werden muß. Letzteres geschieht nur
dann, wenn der Rost sich nach einiger Zeit mit Schlacken angesammelt hat, um diese
zu entfernen, oder die Maschine sollst zu reinigen.
Indessen hätte dieser Uebelstand auch leicht durch Anbringung einer zweiten Feuerung,
welche dann mit der ersten abwechselnd in Betrieb genommen würde, vermieden werden
können.
Bei einer früheren Maschine hatte Belou ein besonderes
Reservoir für die comprimirte Luft angebracht, wodurch es möglich war, die Maschine
nach dem Anhalten und Reinigen des Rostes sogleich wieder in Gang zu setzen. Zu
Cusset bedient man sich hierzu einer vorhandenen Turbine von 50 Pferdekräften,
welche man auf die Treibwelle der Heißluftmaschine einwirken und diese erst einige
Umläufe machen läßt, bevor sie dann die Bewegung von selbst fortsetzt. Belou hält übrigens ein Reservoir von 3–4
Kubikmet. für genügend, um die Maschine damit in Gang zu bringen, und es dürfte dieß
auch richtig seyn, wenn dasselbe während der Zwischenzeit gehörig luftdicht erhalten
werden könnte. Indessen ist nicht zu verkennen, daß die Ingangsetzung der Maschine
eine wirkliche Schwierigkeit dieses Systemes der Heißluftmaschine bildet.
Bevor wir uns zu den Versuchen selbst wenden, mag hier noch eine Bemerkung über die
oben angeführte mechanische Schmiervorrichtuug Platz finden, vermittelst welcher die
sich reibenden Theile an beiden Cylinderkolben und ihren Dichtungen regelmäßig mit
Seifenwasser geschmiert werden. Diese Schmierbüchse wird von einem höher gelegenen
Reservoir, in welches das Seifenwasser mittelst einer kleinen Pumpe (von Messing)
gepumpt wird, mit dieser Flüssigkeit gefüllt und, nachdem die Zuführungsöffnung
geschlossen, mittelst Hähnen in Verbindung gesetzt einerseits durch den Boden mit
beiden Kolbenstangen, andererseits durch den Scheitel mit dem Betriebscylinder in
der Art, daß der Luftdruck im letzteren die Flüssigkeit durch die hohlen Stangen in
das Innere der Kolben bis an die Dichtungen derselben treibt. Ist die Büchse leer,
so läßt man die eingeschlossene Luft in's Freie entweichen und speist dieselbe von
Neuem auf gleiche Art.
Wohl verlangt diese Vorrichtung zur Bedienung einen besonderen Arbeiter; die Ausgabe,
welche sie sonst verursacht, ist indessen nicht beträchtlich.
Die Experten haben während ihren Versuchen auch den Verbrauch des Seifenwassers
aufgezeichnet, um den Einfluß zu erfahren, welchen die Verdampfung dieses Wassers
auf den dynamischen Effect haben möchte. Der Verbrauch an Wärme, der hieraus
resultirt, war jedoch, wie weiter unten näher angegeben werden wird, nur
unbedeutend.
Was nun die mit der Belou'schen Heißluftmaschine zu Cusset
angestellten Versuche selbst betrifft, so muhte von der beabsichtigten Berechnung
mit dem Prony'schen Zaum abgesehen werden, weil es sich
durch eine vorläufige Untersuchung herausstellte, daß der Treibriemen von der
Treibwelle nach den Papiermaschinen der Fabrik jedesmal nachlies, wenn die Kurbel
den todten Punkt zu passiren hatte, daß folglich das 15,000 Kil. (300
Zoll-Ctr.) schwere Schwungrad noch zu schwach war, um eine ganz gleichmäßige
Rotationsbewegung zu erzielen, ohne welche das Bremsdynamometer keine zuverlässigen
Resultate geliefert haben würde. Die Experten beschränkten sich daher darauf, den
Verbrauch des Brennmaterials und des Seifenwassers, den Druck und die Temperatur der
Betriebsluft, und die Umdrehungsgeschwindigkeit der Betriebswelle zu beobachten,
zugleich aber auch mit einem genauen Porter-Richard'schen Indicator mehrere Diagramme während des Ganges
der Maschine abzunehmen und die Leistungsfähigkeit der Maschine aus diesen
Beobachtungen und Diagrammen durch Rechnung zu ermitteln.
Während dieser Versuche hatte die Maschine für die Fabrik zu treiben:
1) vier große (hohle, mit Drahtsieb überzogene) Cylinder von
0,80 Met. Durchmesser und gleicher Länge, jeder 1100 Kil. (22 Zollctr.) wiegend und
bei 150 Umdrehungen per Minute für alle vier etwa 24
Pferdekräfte in Anspruch nehmend;
2) eine Pumpe von 0,29 Met. Durchmesser und 0,50 Met. Hub und 8
Met. Ausgußhöhe, welche bei 18 Umdrehungen per Minute
etwa 3 Pferdekräfte zum Betriebe bedarf;
3) eine Satinirmaschine, welche allerdings nur zeitweise im
Gange war, aber eine namhafte Kraft zu ihrem Betriebe erfordert;
4) eine sehr ausgedehnte Transmission, deren Betriebskraft
ebenfalls nicht genau angegeben werden kann.
Alles dieses zusammengenommen dürfte im Minimum einer Betriebskraft von 30
Pferdekräften gleichkommen.
In der folgenden Tabelle sind nun die während des Ganges der Maschine gemachten
Beobachtungen zusammengestellt.
Tabelleüber
die an der Belou'schen Maschine zu Cusset am 28. August 1865 gemachten
Beobachtungen.
Textabbildung Bd. 185, S. 416
Beobachtungszeit; Bemerkungen;
Brennmaterial im Trichter; Luftdruck, angegeben durch die Manometer der
Luftpumpe; in der unteren Kammer; in der oberen Kammer; Anzahl der Umdrehungen
p. Min.; Der Rost ist leer und die Maschine
kalt; Es wird angeheizt, indem man einige glühende Kohlen auf ungefähr 2 Kil.
Holz und Hobelspäne wirft. Gleichzeitig wird der Rost aufgehoben; Man setzt in
den Herd 73 Kil. Steinkohlen von St. Etienne à 25 Fr. per Tonne; Der Rost wird
gesenkt, die Kohle darauf gegeben u. nachher ersterer wieder gehoben; Dieselbe
Operation wird wiederholt; Der Herd ist heiß genug, um die Maschine anzulassen;
Es werden alle Zapfen geschmiert; Es werden nochmals 73 Kil. Kohlen derselben
Art eingesetzt; Der Rost wird gesenkt, gestillt und wieder gehoben
Textabbildung Bd. 185, S. 417
Beobachtungszeit; Bemerkungen;
Brennmaterial im Trichter; Luftdruck, angegeben durch die Manometer der
Luftpumpe; in der unteren Kammer; in der oberen Kammer; Anzahl der Umdrehungen
p. Min.; Man zieht die Asche weg und schließt
die Thüren des Herdes; Die Turbine wird in Gang gesetzt; Die Ingangsetzung macht
sich ohne Gefahr und nach 4 Umläufen bewegt sich die Maschine bei einem
Luftdruck v. 2 Atmosphären von selbst; Das Manometer der Luftpumpe zeigt einen
Druck von 2,10 Atmosphären; Die Anzahl der Umdrehungen per Min. ist; Druck in der oberen Kammer und Anzahl der Umdrehungen
per Min.; Druck in der unteren Kammer u. Anzahl
der Umdrehungen per Min.; Anzahl der Umdrehungen per Min.; Der Trichter ist leer und wird gefüllt;
Anzahl der Umdrehungen per Min.; Der Trichter wird
wieder gefüllt; Die Maschine geht langsamer; Man hält die Maschine an, um den
Rost zu reinigen; Der Rumpf wird wieder gefüllt; Die Maschine geht von Neuem;
Der Druck in der unteren Kammer ist; Die Anzahl der Umdrehungen per Min. ist; Dieselbe ist; Sie ist; Der Druck in
der unteren Kammer ist; Der Trichter wird nochmals gefüllt; Die Zapfen laufen
warm und werden abgekühlt; der Druck ist; Der Trichter oder Rumpf ist leer; Der
Versuch wird als beendigt betrachtet, obschon die Maschine noch fortläuft
Die Angaben, welche aus dieser Tabelle resultiren, resumiren sich wie folgt:
Dauer der Ingangsetzung des Herdes (von 9h50'–12h 30')
2
Stund.
40
Min.
Dauer des ersten Ganges der Maschine (von 12h 30'–2h 23')
1
„
53
„
Dauer der Unterbrechung zur Reinigung des Rostes
(von 2h 23'–2h 50')
–
„
27
„
Dauer des zweiten Ganges der Maschine (von 2h 50'–4h 3')
1
„
13
„
Brennmaterialverbrauch zum Anheizen
146
Kil.
Brennmaterialverbrauch für die erste Periode
81
„
Brennmaterialverbrauch für die zweite Periode
54
„
Kohlenrückstände
38
„
Die Zeit der Unterbrechung des Ganges zur Reinigung des Rostes hätte noch mehr
abgekürzt werden können; aber man zog es vor Alles im normalen Gang vorzunehmen. Die
38 Kil. Kohlenrückstände, hervorgegangen aus dem Gesammtverbrauch von 146 + 81 = 227
Kil., sind 19 Kil. guten Steinkohlen gleichzusetzen, deßhalb ergibt sich der
definitive Verbrauch an Brennmaterial nach gehöriger Reduction wie folgt:
Kohlenverbrauch während der ersten Periode des
Versuches:
74,4
Kil.,
also während der Stunde
(74,4: 1h 53')
39,5
„
Kohlenverbrauch während der zweiten Periode des
Versuches:
49,60
„
also während der Stunde
(49,60: 1h 13')
40,3
„
Hieraus ergibt sich also ein durchschnittlich stündlicher
Kohlenverbrauch von 39,9 Kilogrammen.
Bei einem früheren Versuch, welchen Hr. Mayer, Director
des Geschäftes, anstellte, ergab sich der stündliche Kohlenverbrauch zu 56 Kil.,
also bedeutend höher, wobei indessen zu bemerken ist, daß die Maschine damals fünf
Papiercylinder, statt bloß vier, zu bewegen hatte.
Bezüglich des Verbrauches an Seifenwasser zum Einschmieren der Cylinderkolben haben
die Experten gefunden, daß derselbe per Stunde 58 Liter
betragen habe, und daß der aus der Verdampfung dieses Wassers hervorgehende
Wärmeverlust nicht bedeutend gewesen sey.
Aus obiger Tabelle ergibt sich weiter, daß die Maschine während der ganzen Dauer des
Versuches im Mittel 23 Umdrehungen per Minute gemacht
habe, eine Geschwindigkeit, die dem regelmäßigen Gange der Maschine entsprach, und
welche wir auch der folgenden Berechnung der Leistungsfähigkeit zu Grunde legen
werden.
Im Weiteren ist in der Tabelle der Luftdruck in der oberen und unteren Kammer der
Luftpumpe in verschiedenen Stadien des Versuches angegeben, und man bemerkt, daß die
hierauf bezüglichen Angaben ziemlich verschieden sind, was seinen Grund darin haben
mag, daß die beiden benutzten Manometer durch verschieden lange Röhren mit dem
Deckel und Boden verbunden waren. Die Zeiger der Manometer oscillirten überdieß in
Folge der Druckänderungen während der Zusammendrückung und der Verbindung mit dem
Herd. Das Mittel aus den Maximalpressungen war 2,9 Atmosphären. Man kann aber
annehmen, daß der gewöhnliche Druck nur etwa 2 Atmosphären, also das Doppelte des
gewöhnlichen
atmosphärischen Druckes betragen habe, wobei im Mittel der vom oberen Manometer
angezeigte Druck im Verhältniß von 1,23 : 1 größer war als der vom unteren Manometer
angezeigte Druck.
Während der Versuche sind, wie schon bemerkt, mittelst eines genauen Porter-Richard'schen Indicators mehrere Diagramme
behufs der Bestimmung des Nutzeffectes der Maschine abgenommen worden, von denen wir
zwei wiedergeben. Davon bezieht sich das Diagramm Fig. 5 auf den
Speisecylinder oder die Luftpumpe, und das andere Fig. 6 auf den
Treibcylinder. Im Speisecylinder steigt der Druck, von 1 Atm. anfangend, bis zu 1,94
Atm.; dann bleibt er auf eine längere Strecke ungefähr constant, bis er, im
Augenblick des Kolbenwechsels, wieder auf 1 Atm. sinkt. Die Periode der
Zusammendrückung entspricht hiernach 0,515, also etwa der Hälfte des Kolbenlaufes,
und man wird die Uebereinstimmung dieser Indicatorangaben mit den an dem Manometer
beobachteten Pressungen bemerken.
Im Treibcylinder ist der Druck anfangs etwa 1,68 Atm. und er bleibt nahezu derselbe
bis zum Moment der Expansion, welche ungefähr bei 2/3 der Kolbenlaufes beginnt, und
zwar ein wenig bevor der Kolben die Mitte seines Laufes, genau 0,389 des totalen
Laufes erreicht hat. Die Zuströmung der Luft wird dann abgesperrt und die
eingeschlossene Luft wirkt nur noch durch ihre Expansion, bis ihre Spannung am Ende
des Hubes wieder auf 1 Atm. gefallen ist.
Im unteren Theile des Cylinders sind die Bedingungen des Zuflusses etwas anders, und
zwar läßt Belou zur Ausgleichung des circa 2000 Kil. (40 Ctr.) betragenden Kolbengewichtes
die Einströmung daselbst etwas länger andauern, was jedoch in den Diagrammen nicht
sichtbar ist, weil dieselben nur vom oberen Theile des Cylinders abgenommen worden
sind.
Man bemerkt übrigens, daß die Maximal-Spannung im Speisecylinder immer
merklich größer ist als im Treibcylinder. Die Differenz beträgt nämlich 1,94
– 1,68 = 0,26 oder circa 1/4 Atm. Dieß rührt von
den Widerständen im Herd, den theilweise zu engen Röhren und den vielen Biegungen
der letzteren her.
Um nun mittelst dieser Diagramme die mechanische Arbeit des Treibcylinders zu finden,
muß man weiter berücksichtigen, daß die mittlere Ordinate der Diagramme von der
Luftpumpe (Fig.
5) einem mittleren Druck von 1,640 Atm., die des Treibcylinders (Fig. 6) dagegen
einem solchen von 1,485 Atm. entspricht. Diese Zahlen ergaben sich aus folgenden
Versuchsresultaten:
Die Feder des Indicators, dessen Kolbendurchmesser 20 Millimeter betrug, gab bei einem Kilogramm
Belastung um 6 Millimeter nach, woraus man leicht durch Rechnung findet, daß bei
einem Druck von 1 Atm. die Feder um 19,471 Millimet. nachgeben wird. Durch eine
sorgfältige Quadratur des Diagrammes Fig. 5 für den
Speisecylinder findet man die mittlere Ordinate gleich 12,44 Millimet. und diese
entspricht dem Druck von 1,640 Atm. Ebenso findet man auf gleiche Weise aus dem
Diagramm Fig.
6 für den Treibcylinder die mittlere Ordinate gleich 9,826 Millimet.,
welche daher dem mittleren Druck von 1,485 Atm. entspricht, der, wie man sieht, nur
etwa 9/10 desjenigen im Speisecylinder beträgt. Um den wirksamen Druck in beiden
Cylindern zu erhalten, muß man nun noch den Gegendruck der äußeren Luft abziehen,
und dann erhält man für den effectiven Druck im Speisecylinder 1,640 – 1 =
0,640 Atm. und im Treibcylinder bloß 1,485 – 1 = 0,485 Atm.
Die vom Indicator angezeigte mechanische Arbeit des Treibcylinders per Secunde ist somit, bei der beobachteten
Geschwindigkeit von 23 Umdrehungen per Minute,
ausgedrückt durch:
(2 . 23)/60 . 0,485 . 10330 . 2,309 = 8865 Kil. Met. = 119,74
Pferdekräfte.
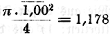
Die vom Kolben der Luftpumpe in derselben Zeit consumirte Arbeit ist dagegen
ausgedrückt durch:
(2 . 23)/60 . 0,640 . 10330 . 1,178 = 5970 Kil. Met. = 80,62
Pferdekräfte.
Nehmen wir in runden Zahlen die vom Treibcylinder erzeugte Arbeit zu 120
Pferdekräften und die im Speisecylinder consumirte zu 80 Pferdekräften an, so
ersieht man, daß durch die Luftzuführung oder Speisung der Maschine allein 2/3 der
ganzen enwickelten Arbeit des Treibcylinders aufgezehrt wird. Und was den Rest oder
das dritte Drittel der erzeugten Arbeit betrifft, so ist dasselbe nicht ganz
effectiv, weil ein Theil davon durch Reibung und sonstige Widerstände verloren geht.
Rechnen wir nun die wirkliche Nutzwirkung zu 9/10 der indicirten Arbeit, so ergibt
sich die wirkliche verfügbare Arbeit der Maschine bloß zu:
119,74 . 0,9 – 80,62 = 27,14 Pferdekräfte.
Dieses Resultat, welches durch einige schon angedeutete Veränderungen in der
Einrichtung der Maschine etwas erhöht werden könnte, kann nun dazu dienen, um den
Kohlenverbrauch per Stunde und Pferdekraft zu ermitteln.
Man findet auf Grund der früheren Ermittelung, wornach die Maschine im Mittel 40
Kil. (statt 39,9 Kil.) Kohle per Stunde verbraucht, daß
eine Indicator-Pferdestärke derselben etwa 2 Kil.
Kohle in der Stunde erfordert. Das vorhin angenommene Verhältniß einer
effectiven zu einer Indicator-Pferdekraft von 9/10 ist jedenfalls günstig und darnach stellt sich der Kohlenverbrauch für eine effective
Pferdekraft auf 40 : 27,14 = 1,44 Kil., was ungefähr jenem der besseren
Dampfmaschinen gleichkommt.
Die Zahl 1,44 drückt somit den wirklichen Kohlenverbrauch der
Belou'schen Maschine per Pferdekraft und Stunde in
Kilogrammen aus.
Wie bei allen Motoren, bei welchen durch Umsetzung der Wärme mechanische Arbeit
hervorgebracht wird, entsteht auch bei der vorliegenden Belou'schen Heißluftmaschine ein Verlust an Wärme und dadurch auch an
mechanischer Arbeit, aus dem Umstande, daß die Luft bei ihrem Austritt noch eine
ziemlich bedeutende Temperatur besitzt und eine entsprechende Wärmemenge mit
fortnimmt, welche für die Ausnutzung natürlich verloren geht.
Die Experimentatoren haben diesen Verlust zu ermitteln gesucht, indem sie die
Temperatur der entweichenden Luft und daraus den Verlust an Wärme und Arbeit
bestimmten.
Dazu wurden wiederholt kleine Platten aus Zinn und Blei im Schornstein und
Ausgangsrohr der Luft aufgehängt, und da die Zinnplatten zum Schmelzen kamen,
während die Bleiplatten den Schmelzpunkt noch nicht erreicht hattenDas Zinn schmilzt bei 230° C. und das Blei bei circa 330° = 335° C., so konnte man schließen, daß die Temperatur der im Kamin entweichenden Luft
ungefähr 250° C. betragen habe. Zudem wurde im Schornstein ein Gußstück
aufgehängt und, nachdem es darin so lange verweilt bis es die gleiche Temperatur mit
den abziehenden Gasen angenommen hatte, in einem bestimmten Wasserquantum (von
bekannter Temperatur) plötzlich abgekühlt, und daraus die Temperatur der Luft
berechnet. Der Gußblock wog 2 Kil. und das Wasserquantum (in einem Holzkübel) 6
Kil.; die anfängliche Temperatur des Wassers war 18° C., die Temperatur des
Wassers nach der Abkühlung des Gußstückes 28° C., die Zunahme der Temperatur
also 10°. Setzt man daher die unbekannte Temperatur des Gußstückes beim
Eintauchen = x, so bestimmt sich dieselbe durch die
Formel:
2 . 0,14 (x – 28) = 6 . 10,
worausx = 242° C.
Nimmt man darum die wirkliche Temperatur der entweichenden Luft etwas höher zu
250° C. an, so ergibt sich der stündliche Wärmeverlust durch die
entweichenden Gase zu:
2 . 23 . 60 . 2,309 . 1,29/(1 + 250 . 0,00367) . 0,23 . 250 =
246000 Calorien.
Rechnet man hierzu den weiteren Verlust an Wärme, welcher zur Verdampfung des oben
angegebenen Quantums von 18 Kil. Seifenwasser absorbirt worden, welchen die Experten
zu 24,000 Calorien schätzten, so erhält man einen Gesammtwärmeverlust von 270,000
Calorien, oder, wenn man annimmt, daß die Luft vom Treibcylinder bis zum Abzugsrohr
sich schon etwas abkühlt, von etwa 300,000 Calorien per Stunde. Dieser Wärmeverlust entspricht nun
aber einem stündlichen Kohlenverbrauch von mindestens 35
Kil., so daß von dem wirklich verbrauchten
Brennmaterial von 40 Kil. in der Stunde kaum 5 Kil. übrig
bleiben, welche zur nützlichen Wirkung verwendet worden sind. Da diese 5 Kil. Kohle
42500 CalorienTresca hat hier die Heizkraft der Kohle ziemlich
hoch angenommen. Nehmen wir dieselbe für 1 Kil. guter Kohle zu 7500 Calorien
an, so geben 5 Kil. derselben bloß 37500 Calorien, und diese entsprechen
einer mechanischen Arbeit von 15,937,500 per
Stunde oder circa 59 Pferdekräften per Secunde, also noch immerhin ungefähr einer
doppelt so großen Arbeit, als die Maschine in Wirklichkeit geleistet
hat. entsprechen, so repräsentiren diese, das mechanische Wärmeäquivalent zu 425
Kil. Met. angenommen, eine mechanische Arbeit von 18,062,500 Kil. Met. per Stunde oder
18,062,500/(75 . 60 . 60) = 18,062,500/270,000 = 66 Pferdekräfte
per Secunde.
Da diese Zahl von der Totalleistung der Maschine nicht einmal zur Hälfte erreicht
worden ist, so kann man daraus den Schluß ziehen, daß es noch andere Kraft-
und Wärme-Verlustquellen geben müsse, unter welchen wir bloß noch diejenigen
anführen wollen, welche aus dem Abgang der Wärme am Herd und an allen mit der heißen
Luft in Berührung kommenden Maschinentheilen durch Ausstrahlung oder Leitung
resultiren. Diese Verluste ließen sich allerdings noch vermindern und entsprechend
könnte damit auch der Kohlenverbrauch per Pferdekraft
und Stunde noch mehr erniedrigt werden. Doch darf hierbei nicht übersehen werden,
daß eine derartige Vervollkommnung der Maschine vielleicht nur mit sehr bedeutenden
Veränderungen ihres jetzigen Constructionssystemes sich erzielen ließe.
Nach den vorstehenden Versuchsresultaten sind wir zu dem Schlusse berechtigt, daß die
Heißluftmaschine von Belou auch in ihrer jetzigen Gestalt
noch nicht geeignet ist die Dampfmaschine zu verdrängen. Dieselbe besitzt zwar, wie
alle Heißluftmaschinen, den großen Vortheil, daß sie nur Luft und Brennstoff,
aber kein Wasser, welches oft selten ist, und keinen Dampf, also auch keinen
Dampfkessel nöthig hat, der leider nur zu oft durch unvorhergesehene Explosionen zu
großen Unglücksfällen Anlaß gibt.
Auf der anderen Seite sehen wir aber, daß die Heißluftmaschine, statt mit einem
Dampfdruck von 5–7 Atmosphären, nur mit einem Luftdruck betrieben wird,
welcher über den äußeren Druck der atmosphärischen Luft kaum eine halbe Atmosphäre
beträgt, und daß in Folge dessen dieselbe übertrieben große Dimensionen erhält, was
nicht nur zu einer Vermehrung der Erstellungskosten führt, sondern sie auch zu einer
verhältnißmäßig plumpen und schwerfälligen Maschine macht. Ferner ist es für
dieselbe auch nicht günstig, daß sie 2/3 bis 3/4 der erzeugten Arbeit sofort wieder
zur eigenen Speisung, d.h. zur Luftzuführung verzehrt, abgesehen davon, daß durch
diese Anordnung die ganze Anlage complicirter wird.
Im Uebrigen verliert man sowohl bei Dampfmaschinen als bei Heißluftmaschinen ungefähr
9/10 der überhaupt erzeugten Wärme, und da auch die Unterhaltungskosten für den
Dampf und die heiße Luft sich so ziemlich gleich herausstellen, so wäre zu einer
vollständigen Vergleichung beider Motoren nur noch auszumitteln, wie hoch das
Anlagecapital bei beiden sich für den gleichen Effect herausstelle, da einestheils,
wie bemerkt, die Dimensionen bei der calorischen Maschine bei gleicher Triebkraft
viel bedeutender werden müssen, anderntheils aber die Kosten für das Kesselhaus und
den Schornstein bei ihr ganz wegfallen.
G. Delabar.
Tafeln
