| Titel: | Graphische Darstellung des mittleren Druckes von expandirendem Dampf; von W. J. Macquorn Rankine. |
| Fundstelle: | Band 180, Jahrgang 1866, Nr. CXV., S. 422 |
| Download: | XML |
CXV.
Graphische Darstellung des mittleren Druckes von
expandirendem Dampf; von W. J. Macquorn Rankine.
Mit einer Abbildung.
Rankine, graphische Darstellung des mittleren Druckes von
expandirendem Dampf.
Im Engineer, April 1866, S. 261 theilt Rankine folgende Methode zur graphischen Darstellung des
mittleren Druckes von expandirendem Dampf mit, die bis auf circa 1 Proc. des anfänglichen absoluten Druckes genau ist.
Textabbildung Bd. 180, S. 422
In der geraden Linie CB
von beliebiger Größe nehme man AB = 4 AC, schlage von C
aus mit dem Radius CB den Kreisbogen BDG und errichte in A senkrecht zu DB die Gerade AD. Nimmt man dann DE : DA
gleich dem Verhältnisse des Theiles des Kolbenweges, in dem der volle Dampf
wirkt, zu dem ganzen Kolbenwege, so ist, wenn EF senkrecht auf AD gezogen wird,
EF/AB gleich dem
Verhältnisse des mittleren absoluten Druckes (während des ganzen Kolbenweges) des mit Expansion wirkenden Dampfes zu dem
anfänglichen absoluten Druck.
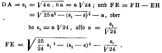
Wir fügen hierzu noch Folgendes. Bezeichnet man AC
mit a, also AB mit 4a
und BC mit 5a
, die Linie AD, die den ganzen Kolbenweg
darstellt, mit s₁ und die Linie DE, die den Theil des Kolbenweges darstellt, in welchem der volle
Dampf wirkt, mit s, so daß also EA = s₁ – s den Theil des Kolbenweges bezeichnet, in dem
Expansion stattfindet, so ist, wie man leicht sieht,
Textabbildung Bd. 180, S. 423
Weiter ist aber, wenn po den anfänglichen Dampfdruck und pm den mittleren Druck des expandirenden
Dampfes während des ganzen Kolbenweges bezeichnet:
Textabbildung Bd. 180, S. 423
oder, wenn noch s/s₁ = ε gesetzt
wird:
Textabbildung Bd. 180, S. 423
Nachstehend ist in Columne 2 das Verhältniß pm / po des mittleren Druckes von expandirendem
Dampf zum anfänglichen Druck für verschiedene Expansionsgrade nach dieser Formel
berechnet, in Columne 3 aber nach der Formel pm/p = s/s₁ (1 + Ln s₁/s) = ε (1 + Ln 1/ε)
Textabbildung Bd. 180, S. 423
(Deutsche Industriezeitung, 1866, Nr. 19.)