| Titel: | Ueber den Niedergang der Gichten im Eisenhohofen; von C. Fürstenau. |
| Autor: | C. Fürstenau [GND] |
| Fundstelle: | Band 158, Jahrgang 1860, Nr. CXI., S. 413 |
| Download: | XML |
CXI.
Ueber den Niedergang der Gichten im Eisenhohofen;
von C.
Fürstenau.
Mit einer Abbildung auf Tab. VI.
Fürstenau, über den Niedergang der Gichten im
Eisenhohofen.
Nachdem Hr. Oberhütteninspector Wachler in Malapane
nachgewiesen hat, daß die Beschickung im Hohofen nicht jeden Querschnitt desselben
vollkommen ausfülle, sondern in einer sogenannten Beschickungssäule niedergehe, mag
gegenwärtiger Aufsatz die Form dieser Säule näher bestimmen.
Um dieser Aufgabe nachkommen zu können, ist vor Allem nöthig die Anzahl der Gichten
zu kennen, welche bei vollkommen regelmäßigem Gange des Ofens denselben von den
Formen bis zum Gichtrande füllen. Vielerlei Versuche sind schon zu diesem Zwecke
angestellt worden, maaßgebend sind aber nur diejenigen, bei denen keiner der im
Ofen, bis zu den Formen stattfindenden Vorgänge nur im Mindesten gestört wird.
Fremdartige Körper, schwerere oder leichtere Gichten etc., können daher wegen
möglichen Vorrollens und Aenderung des Druckes in der Beschickungssäule, keine
sicheren Resultate geben. Folgende zwei Versuche werden aber wohl obigen Bedingungen
genügen.
I. Wenn bei übrigens vollkommen regelmäßigem und gaarem Gange des Ofens die
Beschickung so strengflüssig ist, daß die Formen schwarz blasen, so zeigt sich mit
dem Niedergang einer stark leichtflüssigen Gicht sofort eine Aenderung im Aussehen
der Form und der Schlacke. Da bei dieser Beobachtung der Wurf dem Gewichte nach
derselbe geblieben, so kann eine Störung des regelmäßigen Ganges nicht stattgefunden
haben.
II. Wenn man eine geringe Quantität Kohks, unter Weglassung einer gleichen Quantität
Holzkohlen mit aufgibt, so machen sich auch diese durch das Aussehen der Form und
Schlacke bemerklich. Auch hier kann von einem Vorrollen oder Zurückbleiben keine
Rede seyn.
Erstere Beobachtung wurde öfters während der 19ten und 30sten Woche einer Campagne,
letztere in der 45sten Woche angestellt.
In dem der Rechnung zu Grunde liegenden Fall zog die 20ste Gicht.
Der Kubikinhalt des Ofens ist circa 600 Kubikfuß. Eine
Gicht hält 22,81 Kubikfuß, also 20 Gichten: 456 Kubikfuß; diese füllen daher den
Ofen bei Weitem noch nicht. Bei Betrachtung der Form der Beschickungssäule geht nun
noch der Inhalt des Gestelles in Abrechnung mit 20 Kubikfuß, da im Gestell die Säule
nur die Form des letzteren haben kann. Nimmt man nun an, die Beschickungssäule habe Cylinderform,
so wäre dieser Cylinder so hoch als die Entfernung des oberen Gestellrandes vom
Gichtrand beträgt, und sein Inhalt, nach Abzug obigen Gestellinhaltes von 20
Kubikfuß, 436 Kubikfuß. Die Höhe vom Gestell bis zur Gicht beträgt: 26,42 Fuß.
Demnach müßte der Durchmesser des Cylinders seyn:
Textabbildung Bd. 158, S. 414
was aber wegen der Dimensionen des Ofens nicht möglich
ist.
Hieraus folgt nun die Gewißheit, daß Ausdehnungen der Beschickungssäule in
horizontaler Richtung während des Niederganges erfolgen, ohne doch jeden Querschnitt
des Ofens zu füllen. Denkt man sich nun die Ausbauchung als Achsendurchschnitt
zweier senkrecht aufeinander stehenden abgestumpften Kegel – denn zur
Bewirkung mehrerer Ausbauchungen ist keine Kraft im Ofen vorhanden – so hat
der obere Kegel als kleinsten Durchmesser die obere Gichtweite, der untere Kegel die
veränderliche obere Gestellweite.
Wir wollen nun die Entfernung der größten waagrechten Ausdehnung der
Beschickungssäule vom Gichtrande suchen, d.h. den Punkt, an welchem rings am Umfange
zuerst Kohlen stehen bleiben.
Der Durchmesser des Schachtes erweitert sich von der Gicht bis zum Anfang der Rast
von 2,6 auf 8 Fuß, die senkrechte Entfernung beider Ofentheile beträgt 22,6 Fuß; es
beträgt daher die Vergrößerung des Ofendurchmessers auf je 1 Fuß Tiefe 0,24 Fuß,
also die des Halbmessers 0,12 Fuß.
Es sey nun:
Halbmesser der Gichtöffnung
: r,
„
des oberen Gestellrandes
: ρ,
Höhe des oberen Kegels in Fußen
: x,
Höhe vom Gestellrand bis zum Gichtrand
: h,
Inhalt der Beschickungssäule
: P,
Vergrößerung des Halbmessers im
Schacht auf je 1 Fuß Tiefe
: a,
so ist h – x : Höhe des unteren Kegels.
Halbmesser der Kreisfläche, in welcher sich beide Kegel berühren: r + ax. Also: Inhalt
des oberen Kegels:
1/3 πx ([r + ax]² + [r + ax] r + r²).
Inhalt des unteren Kegels:
1/3 π (h – x)([r + ax]² + [r + ax] ρ + ρ²).
Die Summe beider ist gleich dem Inhalt der Beschickungssäule vom oberen Gestellrand
bis zur Gicht = P.
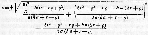
Hieraus folgt nun die Gleichung:
3P/π = x [(r + ax]² + (r + ax) r + r²] +
(h – x)[(r + ax)² + (r +
ax) ρ + ρ²)].
Hieraus:
Textabbildung Bd. 158, S. 415
Im gegebenen Fall ist bei Beginn der Campagne r = ρ, also:
Textabbildung Bd. 158, S. 415
d.h. 15,5 Fuß unter der Gicht bleiben die ersten Kohlen
stehen.
Im Laufe der Campagne schmilzt nun das Gestell aus und erweitert sich dadurch der
Gestellrand, ändert sich also auch x. Legt man nun den
Durchmesser des Gestelles am Ende der Campagne mit 5 Fuß der Berechnung zu Grund, so
erhält man:
Textabbildung Bd. 158, S. 415
Es zieht sich also die Ausbauchung im Laufe der Campagne immer mehr in die Höhe.
Nach Feststellung der Form der ganzen Beschickungssäule ist nun auch die Möglichkeit
gegeben, die Form der einzelnen Gichten im Hohofen durch Rechnung zu finden, wenn
man beobachtet, welche Form die Oberfläche der obersten Gicht einnimmt, nachdem sie
so weit niedergegangen ist, daß aufgegeben werden muß. Das Resultat dieser etwas
weitläufigen Rechnung ist in der Zeichnung Fig. 20 enthalten.
Betrachtet man nun diesen Gichtenzug, so tritt vor Allem der große Einfluß hervor,
welchen das Stellen der Gichten, d.h. die Art der Herstellung der Oberfläche (abc) der Gicht, auf den Ofengang ausüben muß, und
in der That kann lediglich durch eine andere Stellung der Gicht der Ofengang
geändert werden, durch eine richtige ein höherer Wurf erzielt, durch unrichtige ein
spitzer Gang des Ofens hervorgebracht werden, ein beliebtes Mittel der Aufgeber, den
Gang der Gichten ihrer Collegen zu verschlechtern. Auch bietet das Andersstellen der
Gichten ein Mittel womit man versuchen kann bei unregelmäßigem Gang des Ofens ein
richtiges Niedergehen der Gichten hervorzubringen.
Aus der Gestalt der Gichten im Gestell und im untern Theile der Rast ergibt sich auch
warum, während doch Kohle und Erz gesondert aufgegeben werden, dieselben gemengt vor
die Form gelangen.
Die Form der Säule erklärt auch die oft so lange andauernde Wirkung von Versetzungen
im Ofen und ihre Entstehung. Wird nämlich durch Füttern, durch zu starken Wind,
Aufgeben zu schwerer Gichten mit zu viel Bruch- oder Wascheisen, Kohle auf
dem Umfange des unteren Kegels mitgenommen, und kommt dieß schnell hintereinander
und öfter vor, so kann der untere Kegel so flach werden, daß Erz an Stelle der
mitgenommenen Kohlen zurückbleibt, von welchem dann von Zeit zu Zeit, besonders bei
etwas starkem Blasen, mehr oder weniger mitrollt und so fortwährend störend auf den
Gang des Ofens einwirkt, bis das Erz vollkommen wieder durch Kohle ersetzt ist, was,
da sich auch immer wieder etwas Erz an Stelle des fortgerollten mit der Kohle
anlegt, sehr lange dauert.
Diese Andeutungen mögen genügen, um die Uebereinstimmung der Erscheinungen beim
Hohofengang mit den Resultaten der Rechnung nachzuweisen und weitere Vergleichungen
anzuregen.
Coburg, im November 1860.
Tafeln
