Titel: Ueber die Berechnung des Gewichts der Schwungräder an Expansions-Dampfmaschinen; von Hrn. Charbonnier.
Fundstelle: Band 94, Jahrgang 1844, Nr. LXXXIX., S. 409
Download: XML
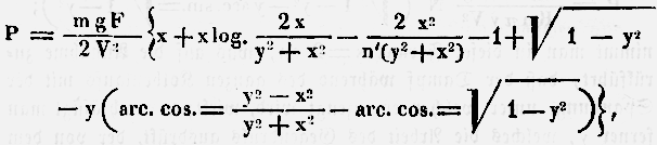
LXXXIX. Ueber die Berechnung des Gewichts der Schwungräder an Expansions-Dampfmaschinen; von Hrn. Charbonnier. Im Auszug aus dem Bulletin de la Société industrielle de Mulhouse 1844, Nr. 83. (Nachtrag zu der im vorhergehenden Heft des polytechnischen Journals S. 329 mitgetheilten Abhandlung „über den Dampfmaschinen-Regulator der HHrn. Meyer und Comp. in Mülhausen.“) Charbonnier, über die Berechnung des Gewichts der Schwungräder an Expansions-Dampfmaschinen. Was die an Expansions-Dampfmaschinen anzubringenden Schwungräder anbelangt, so bedient sich Charbonnier zur Berechnung des Nuzeffectes der Dampfmaschinen der Formel, welche Poncelet unter der Annahme entwikelt hat, daß der Dampf wie ein Gas nach dem Mariotte'schen Geseze sich ausdehne. Auch die von diesem Schriftsteller aufgestellten Coefficienten nimmt Charbonnier an; dem zufolge gelangt er zu folgender Formel, als Ausdruk des Gewichtes P des Schwungradkranzes. Textabbildung Bd. 94, S. 409 in welcher F den Druk in Kilogrammen bezeichnet, den der aus dem Dampfkessel strömende Dampf auf den Kolben ausübt, x die Länge desjenigen Theils des Kolbenlaufs, während dessen der Dampf mit der Spannung wirkt, unter welcher er erzeugt wird; y den Sinus des Winkels, welchen die Kurbelwelle während des Gleichgewichtszustandes mit der Verticallinie bildet; V die mittlere Geschwindigkeit des Schwungrades; m einen Bruch, welcher dieses Gewicht so bestimmt, daß die extremen Geschwindigkeiten von der Geschwindigkeit V nur um die Größe V/m differiren; g die Schwere und n' das Verhältniß des Drukes F zum Gegendruke f in dem Cylinder, beide in Kilogrammen ausgedrükt. Oder in Kilogrammeters: (3)             P = (mX/nV²) N. In dieser Formel bezeichnet N die Anzahl der Pferdekräfte der Maschine, n die Anzahl der Kurbeldrehungen in einer Minute, und der Abkürzung wegen X den Ausdruk: Textabbildung Bd. 94, S. 410 in welchem π das Verhältniß des Durchmessers zum Umfang und K den Coefficienten des Nuzeffectes vorstellt. Die Formel (3) dient zur Bestimmung des Gewichtes des Schwungrades für eine Maschine von gegebener Kraft, in welcher der Dampf mit gegebener Expansion arbeitet, unter der Voraussezung, daß der Werth von x jedesmal höchstens = 1.8214 sey. In diesem Falle gibt es eine Gleichgewichtslage, aber auch nur eine einzige; man erhält deren zwei, wenn man x einen Werth wenigstens = 1. 8215 beilegt. Will man der Größe x solche Werthe geben, daß man zwei Gleichgewichtslagen vor der Expansion erhält, so nimmt die Formel (3) folgende Form an: Textabbildung Bd. 94, S. 410 nimmt man in dieser Formel x = 2 an, was auf die Annahme zurükführt, daß der Dampf während des ganzen Kolbenlaufs mit der Spannung, unter welcher er erzeugt wird, wirkt; vernachlässigt man ferner y, welches die Arbeit des Gegendruks ausdrükt, der von dem Dampfdruk abgezogen werden kann, und sezt K = 0.5, so ergibt sich P = 4645 (mN/nV²), was genau die Poncelet'sche Formel ist. In der folgenden Tabelle, welche nach den vorhergehenden Formeln, worin man n' = 40 gesezt hat, berechnet ist, umfaßt die erste Columne die Werthe von 2/x, d.h. die Expansionen; die zweite die entsprechenden Werthe für x; die dritte die Werthe für X, und die vierte die Gewichte der Schwungräder, wobei das Gewicht des Schwungrades der Maschinen ohne Expansion als Einheit genommen ist. 2/x x X  1. 2. 4645  1.        1.125          1.77778 4695 1.0108       1.25   1.6 4881 1.0515       1.50          1.33333 5169 1.1128       1.75          1.14285 5380 1.1582   2. 1. 5550 1.1948     2.5  0.8 5817 1.2523   3.         0.66667 6035 1.1992   4.  0.5 6363 1.3698   5.  0.4 6634 1.4282   6.         0.33333 6866 1.4781   8.    0.25 7258 1.5625 10.  0.2 7589 1.6338 20.  0.1 8835 1.9020 Angenommen, man suche das Gewicht des Schwungrades zu einer Maschine von 25 Pferden, mit einem Cylinder, Expansion = 5, mittlerem Halbmesser des Schwungradkranzes = 3 Meter; das Schwungrad solle 28 Umdrehungen per Minute machen und es sey m = 40: so seze man in der Formel P = (mX/nV²)N, m = 40, n = 28, N = 25, X = 6634 als die der Expansion 5 entsprechende Zahl, und man wird sofort erhalten V = (2 × 3.1416 × 3 × 28)/60 und V² = 77.378; woraus P = (40 × 6634 × 25)/(28 × 77.378) = 3062 Kilogr. Für eine Maschine mit 2 Cylindern ohne Expansion, deren Krummzapfen perpendiculär zu einander stehen, findet man P = 466 (mN/nV²), zum Zeichen, daß unter gleichen übrigen Umständen das Gewicht des Schwungrades einer solchen Maschine ungefähr nur 1/10 von dem einer Maschine mit 1 Cylinder ohne Expansion zu betragen hat. Für eine Expansionsmaschine mit 2 Cylindern und rechtwinkelig zu einander gestellten Krummzapfen mit der Expansion 4 in beiden Cylindern erhält man P = 1024 (mN)/(nV²) und das Gewicht des Schwungrades ist hier 0,16 desjenigen einer Maschine mit 1 Cylinder gleichfalls mit der Expansion 4. Bei Maschinen mit 2 Cylindern und parallel zu einander stehenden Krummzapfen, wobei der Dampf in dem einen Cylinder mit vollem Druke wirkt und sich in dem zweiten ausdehnt, dessen Rauminhalt viermal so groß ist als der des ersteren, erhält man P = 4564 (mN/nV²) Demnach kommt bei diesen Maschinen das Gewicht des Schwungrades ungefähr dem Gewichte des Schwungrades einer Maschine mit 1 Cylinder ohne Expansion gleich.