| Titel: | Ueber den Graduator etc. von Hrn. J. Rayner. |
| Fundstelle: | Band 32, Jahrgang 1829, Nr. LXVIII., S. 323 |
| Download: | XML |
LXVIII.
Ueber den Graduator etc. von Hrn. J. Rayner.
Aus dem London Journal of Arts. Februar 1829. S.
255.
Mit Abbildung auf Tab.
VIII.
Rayner, über den Graduator.
Folgende Lehrsaͤze beziehen sich auf ein Stuͤk eines abgestuzten
Kegels, das in zwei Abschnitte von gleicher Laͤnge gebracht ist, und wovon
das eine das andere bewegt. Die Bewegung wird durch einen Laufriemen oder durch ein
Laufband mitgetheilt, und man nimmt an, daß die Maschine so eingerichtet sey, daß
die erste Geschwindigkeit des Spulen-Cylinders im
Anfange der Arbeit genau vorgekehrt ist.
1) Der Umfang der Speisungs-Walze.
2) Die Menge Garnes, oder die Zahl der Umdrehungen, welche die Spindel macht,
waͤhrend die Speisungs-Walze sich Ein Mal dreht.
3) Die Dike des Vorgespinstes oder Garnes, das gesponnen werden soll.
4) Der Umfang des Spulen-Cylinders, auf welchem dieses Vorgespinst oder das
Garn aufgewunden wird.
5) Die beiden ersten Durchmesser des doppelten Stuͤkes und ihre Laͤnge
und Hoͤhe muͤssen als bekannt angenommen werden.
6) Eine gewisse Anzahl Lagen Vorgespinstes oder Garnes, das auf den Cylinder der
Spule aufgewunden werden muß, muß als bekannt angenommen werden, so daß die
kleineren oder groͤßeren Durchmesser als Graͤnze gelten
koͤnnen.
7) Die Summe der Durchmesser des Stuͤkes muß als eine gleichfoͤrmige
Groͤße angenommen werden.
Es sey ABCD das Stuͤk eines Kegels, und EFGH ein anderes Stuͤk desselben Kegels.
IC und IF
die Hoͤhe eines jeden Stuͤkes.
Es wird also AB + EF = CD + GH. Es sey ferner d = AB, dem großen Durchmesser. e = CD, dem kleineren Durchmesser des
groͤßeren Stuͤkes. m = IC, der Hoͤhe des Stuͤkes. P, die Hoͤhe des Kegels. Dann sey d/2 = (A
B – CD)/2 =
(d – e)/2. Ferner
1/2 d : P : : d/2 : m = 10, der
Hoͤhe des Stuͤkes; und (d – e)/2 : m : : 1/2 d : md/(d – a) = P = 16310/161, der Hoͤhe des Kegels.
Dann
a
=
dem Umfange der Speisungs-Walze = 3,927.
t
=
dem Garne, oder der Zahl der Umdrehungen,
welchedie Spindel und die Fliege macht, ehe die
Speisungs-Walze sich Ein Mal dreht.
r
=
der doppelten Dike des Vorgespinstes.
b
=
dem Umfange des Cylinders der Spule = 3,1416.
2d
=
der Summe der Durchmesser.
c
=
dem Werthe jedes einzelnen Wikels, oder der Zahl
derLagen des oder Vorgespinstes.
s
=
der ersten Geschwindigkeit der Spule, wenn sie
zurAufnahme des Garnes oder
Vorgespinstes, so wiees von der Walze herkommt, vorgerichtet
ist.
So wird d + e = 2d, und
Textabbildung Bd. 32, S. 324
allgemein fuͤr die Geschwindigkeiten.
Textabbildung Bd. 32, S. 324
Textabbildung Bd. 32, S. 325
Entweder der eine oder der andere der obigen Lehrsaͤze ist allgemein
guͤltig, und dient zur Bestimmung der Durchmesser des
Doppel-Stuͤkes, und r, c, t, d etc.
koͤnnen unter irgend einem Werthe genommen werden, welchen Umstaͤnde
oder Bequemlichkeit fordern.
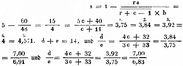
Um folgenden allgemeinen Lehrsaz anzuwenden, naͤmlich
Textabbildung Bd. 32, S. 325
den Durchmessern des kleineren Stuͤkes, sey t = 5. r = 1/12. 2d = 14c = der verlangten
Zahl des Wikels 1, 2, 3, 4 etc. etc.; ferner nach dem Lehrsaze, c = 1, wird
Textabbildung Bd. 32, S. 325
Ferner, nach dem Lehrsaze, C =
24,
Textabbildung Bd. 32, S. 325
Ferner 2d = 14 – 6,309 =
7,691 = d.
Der groͤßere und kleinere Durchmesser der Stuͤke fuͤr 6,309 +
7,691 = 14 = d + e = 2d. Wenn man nun die gemeinschaftliche Differenz
fuͤr den Divisor = 7, und fuͤr den Dividendus 42 nimmt, so
erhaͤlt man folgende Divisoren, Dividendus und Durchmesser der Stuͤke,
die in Tabellen-Form so stehen:
Zahl der Wikel.
Divisor.
Dividendus.
Kleineres Stuͤk.
Groͤßeres Stuͤk.
1
72
504
7
+
7
= 44 = 2d
2
79
546
6,91
+
7,09
= 14 = 2d
3
86
588
6,83
+
7,17
= 14 = 2d
4
93
630
6,77
+
7,23
= 14 = 2d
5
100
672
6,72
+
7,28
= 14 = 2d
6
107
714
6,67
+
7,33
= 14 = 2d
7
114
756
6,65
+
7,37
= 14 = 2d
8
121
798
6,59
+
7,41
= 14 = 2d
9
128
840
6,56
+
7,44
= 14 = 2d
10
135
882
6,53
+
7,47
= 14 = 2d
u.s.f. in's Unendliche.
Kuͤrzer gefaßt lassen obige Theoreme, aus welchen obige Resultate erhalten
wurden, sich so ausdruͤken:
Textabbildung Bd. 32, S. 325
Die Hoͤhe oder den Raum zu bestimmen, welchen das
Laufband auf dem
Doppel-Stuͤke laufen muß, fuͤr jeden Wikel oder jede Bedekung
von Vorgespinst oder Garn.
Unter den vorigen Daten, und m = 10, d = 7, e = 6,309 = 1470/233
gesezt, wird aus aͤhnlichen Dreieken (d –
e)/2 : m : : d/2 : md/(d – e), oder 161/466
: 10/1 : : 7/2 = 32620/322 = 16310/161 = md/(d – e) = 16310/161
der Hoͤhe des Kegels. Ferner
Textabbildung Bd. 32, S. 326
der Hoͤhe eines jeden Ganges;
Textabbildung Bd. 32, S. 326
woraus sich die gemeinschaftliche Differenz fuͤr den
Divisor als 161 ergibt, und fuͤr den Dividendus 2330, wornach folgende
Tabelle:
Zahl der Wikel.
Divisor.
Dividendus.
Hoͤhe fuͤr jeden Gang vondem ersten
Durchmesser.
1
1656
00000
0,00
2
1817
2330
1,28
3
1978
4660
2,35
4
2139
6990
3,27
5
2300
9320
4,05
6
2461
11650
4,73
7
2622
13980
5,33
8
2783
16310
5,86
9
2944
18640
7,33
10
3105
20970
6,75
u.s.f. in's Unendliche fuͤr jede Groͤße des Stuͤkes.
Der Lehrsaz
Textabbildung Bd. 32, S. 326
ist allgemein fuͤr alle gegebenen Dimensionen von
Spulen, Walzen und Gespinst, und die nachfolgenden Geschwindigkeiten fuͤr
jeden Wikel lassen sich finden, wenn c 1, 2, 3, 4, 5
etc. etc. Mal genommen wird. In dem Beispiele, die Daten wie vor genommen,
erhaͤlt man die auf einander folgenden Geschwindigkeiten fuͤr jeden
Wikel,
Textabbildung Bd. 32, S. 326
etc. etc., wo die gemeinschaftlichen Differenzen wie in denn brigen
Faͤllen bestimmt sind; die Resultate koͤnnen wieder in eine Tabelle
gebracht und nach Belieben fortgesezt werden.
Bemerkungen.
1) Um diese Lehrsaͤze anzuwenden, muß ein Theil der Daten vorlaͤufig
bestimmt werden. Umstaͤnde, und der Zwek, den der Mechaniker beabsichtigt,
werden den Werth von a, b, r, t und d bestimmen. Sind diese gegeben, so lassen sich die
uͤbrigen nach dem Lehrsaͤze finden.
2) Aus den vorhergehenden Untersuchungen lassen sich folgende Verhaͤltnisse
ableiten. Der große Durchmesser durch den kleineren getheilt, und mit der ersten
Geschwindigkeit multiplicirt, gibt die verlangte Geschwindigkeit bei jeder gegebenen
Bewegung oder bei jedem Wikel; und die erste Geschwindigkeit getheilt durch die
groͤßere, durch den kleineren Durchmesser, gibt die Zunahme der
Geschwindigkeit; und die verlangte Geschwindigkeit bei jeder gegebenen Bewegung oder
bei jedem Wikel, getheilt durch die neue Geschwindigkeit, ist gleich der
groͤßeren getheilt durch den kleineren Durchmesser.
3) Unter Geschwindigkeit versteht man hier die Menge der
Bewegung, die der Cylinder der Spule bei jedem gegebenen Wikel verlangt, um das
Vorgespinst oder Garn ohne Spannung genau aufzunehmen.
4) In den vorigen Lehrsaͤzen ist r
gleichfoͤrmig als Einheit getheilt durch die Dike des Vorgespinstes oder des
Garnes angenommen; naͤmlich
Textabbildung Bd. 32, S. 327
5) Die Ziffer 5 und 4 in den allgemeinen Lehrsaͤzen stellen a und b dar, naͤmlich
die Speisungs-Walze und den Cylinder der Spule, indem ihre Durchmesser in
diesem Verhaͤltnisse gegen einander stehen. Wenn dieses Verhaͤltniß
geaͤndert wird, muß man wohl hierauf achten, und es muß der genaue Werth von
a und b genommen werden,
oder die Verhaͤltnisse derselben.
––––––––––
Das doppelte Kegelstuͤk gewaͤhrt den wichtigen Vortheil, daß das
Laufband oder der Laufriemen waͤhrend der ganzen Arbeit immer eine
gleichfoͤrmige Spannung behaͤlt, ohne daß ein spannendes Gewicht oder
ein spannender Hebel hierzu nothwendig waͤre, dergleichen man
gewoͤhnlich bei Spinn-Maschinen anwendet, wo ein einzelnes
Kegelstuͤk und der Cylinder gebraucht wird. Auf diese Weise lassen sich die
erforderlichen Abstufungen der Geschwindigkeit mit derselben oder mit noch
groͤßerer Leichtigkeit erzeugen.
Der Theil der Spinn-Maschine, an welchem die Graduatoren allgemein angewendet
wurden, sind die Spulen- und Flieger-Gestelle zum sogenannten
Vorspinnen (roving), die auf verschiedene Weise
eingerichtet und vorgerichtet sind. Waͤhlend dieses Vorspinnens wird die
weiche Floͤthe des Faserstoffes, die gesponnen werden soll, so ausgedehnt und
verduͤnnt, daß sie eine sanfte Drehung fordert, um die nothwendige Starke zu
erhalten. Diese Operation ist also zart, und wichtig, wenn der uͤbrige Theil
der Arbeit gelingen soll; denn das gut Spinnen haͤngt hauptsaͤchlich
von der Weichheit, Gleichheit und Einfoͤrmigkeit des Vorgespinstes ab.
Die neueren Erfindungen, die in dieser Hinsicht gemacht wurden, waren weder zahlreich
noch sehr wichtig; die schnekenfoͤrmige Buͤchse, die Hr. Green erfunden hatSiehe Hrn. Green's Erklaͤrung seines
Patentes im London Journal I. Ser. VIII. Bd. S.
283. (Polytechn. Journ. Bd. XVI. S. 446.) A. d. O., so sinnreich sie ist, ist kein Graduator, sondern ein Mittel, durch welches
ein kegelfoͤrmiger Graduator auf die Geschwindigkeit der Spulen wirkt. Diese
Vorrichtung zeigt von Takt in der Mechanik und von Geschiklichkeit, und verdient
Aufmunterung.
Die spaͤteren Verbesserungen des Hrn. Holdsworth
Siehe Holdsworth's Patent ebendaselbst XIV. Bd. S.
233. A. d. O. verdienen Aufmerksamkeit, und sie sollen von Werth seyn; da ich aber seine
Maschine nicht im Gange sah, bin ich nicht im Stande zu sagen, worin der Vortheil
derselben eigentlich besteht.
Ich habe durch die Gefaͤlligkeit der HHrn. Hallerley und Stannerley, die große Fabriken zu
Leeds in Yorkshire besizen, Gelegenheit gefunden, die selbstspinnende
Mule-Maschine des Herrn de Jongh zu sehen, der
sich des kegelfoͤrmigen Graduators bedient. Ich sah diese interessante
Maschine arbeiten, und eine der schwierigsten Operationen der menschlichen Hand mit
der groͤßten Genauigkeit vollenden: das auf derselben gesponnene Wollengarn
war von vorzuͤglicher Guͤte. Wenn weitere Erfahrung und Beobachtung
den geistreichen Erfinder gelehrt haben wird, seine Maschine einfacher und
wohlfeiler zu machen, wird sie wahrscheinlich allgemein in der Wollenspinnerei
eingefuͤhrt werdenSiehe de Jongh's Patent ebendaselbst XIII. Bd. S.
307. u. II. Ser. I. Bd. S. 13. (Polytechn. Journ.
Bd. XXVII. S. 7.) A. d. O..
Das doppelte Kegelstuͤk laͤßt sich auch bei jenen Maschinen mit
Vortheil anwenden, wo Vermehrung und Verminderung der Geschwindigkeit unter
bestimmten Verhaͤltnissen nothwendig ist. Obige Lehrsaͤze werden die Anwendung derselben
bei verschiedenen neuen Maschinen erleichternDer Uebersezer wuͤnschte jedoch, daß sie etwas deutlicher entwikelt
worden waͤren. A. d. U..
Tafeln
