Titel: Zur Theorie der Eismaschinen; von Prof. A. Terquem in Lille.
Fundstelle: Band 225, Jahrgang 1877, S. 371
Download: XML
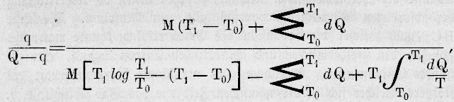
Zur Theorie der Eismaschinen; von Prof. A. Terquem in Lille. Terquem, zur Theorie der Eismaschinen. Eismaschinen – wie diejenigen, bei welchen Aether, Schwefligsäureanhydrid, atmosphärische Luft als Kälteerzeugungsmittel in Anwendung kommen – worin Arbeit aufgewendet wird, um von einem kalten Körper Wärme auf einen andern wärmern Körper zu übertragen, sind im Grunde nichts anderes als umgekehrte Motoren. Wenn also die betreffende Substanz, sei es Luft oder eine flüchtige Flüssigkeit, dem abzukühlenden Körper eine Quantität Wärme = q entzieht, so muß es einem zweiten Körper ein Wärmequantum Q, gleich q, vermehrt um die der aufgewendeten Arbeit äquivalente Wärme Qq abtreten. Die theoretische Leistung wird daher q (Q – q) sein. Wie mag nun der Kreisproceß einer Luft-Eismaschine beschaffen sein, welcher diesem Ausdrucke seinen Maximalwerth verleiht? Professor Linde in München hat diesen Kreisproceß graphisch dargestellt, indem er von der Annahme ausging, 1) daß die Wärme Q bei der höhern Temperatur T vollständig beseitigt wird, während die Compression des Gases bei dieser Temperatur nach einer isothermischen Curve AB erfolgt; 2) daß hierauf das Gas sich ausdehnt, indem es von der Temperatur T, einer Linie BC gemäß, zu einer niedrigern Temperatur T₀ übergeht, wobei es einen mit ihm in Berührung befindlichen Körper unter steter Gleichhaltung der Temperatur abkühlt; 3) daß das Gas nach einer adiabatischen Curve CA, welche den Kreisproceß schließt, comprimirt wird und zur Anfangstemperatur T₁ zurückkehrt. Unter diesen Bedingungen ist der Abstand der thermometrischen Niveaux, zwischen denen die Uebertragung der absorbirten Wärmemenge vor sich geht, ein Minimum. Die Linie BC, nach welcher die Expansion des Gases erfolgt, könnte man, als zwischen den isothermischen und adiabatischen Curven liegend, eine gemischte Linie nennen. Bezeichnet man mit M die Wärmecapacität des Körpers, welcher sich in der nämlichen Zeit wie das Gas abkühlt, d.h. das Product aus seinem Gewicht und der specifischen Wärme, so ist die Differentialgleichung dieser Curve: dQ = – Mdt = (cTdp)/p + (CTdv)/v                    (1) Das Zeichen – gehört vor M, weil das Gas bei seiner Abkühlung Wärme absorbirt, dT ist folglich negativ. Die Gleichung dieser gemischten Linie ist: pv(M + C)/(M + c) = constant                               (2) (wobei C und c die beiden specifischen Wärmen der Luft bezeichnen), eine Gleichung, die bereits Zeuner unter einer andern Form aufgestellt hat. Die durch das Gas während seines Ueberganges von T₁ zu T₀ absorbirte Wärmemenge ist M (T– T₀), und die äußere Arbeit (M + c) (T₁ – T₀). Als theoretische Leistung in diesem Kreisproceß ergibt sich: Textabbildung Bd. 225, S. 372 Dies ist die von Linde gefundene Maximalleistung einer Luft-Eismaschine. Es läßt sich aber auf einem Beweiswege, analog demjenigen, dessen man sich behufs der Verallgemeinerung des Carnot'schen Princips bedient, darthun, daß die Leistung für einen und denselben Kreisproceß sich gleich bleibt, welches auch das in Anwendung kommende Agens sein möge. Linde hat nur diesen einen Kreisproceß als die Maximalleistung verrichtend angegeben, während Armengaud noch einen andern von gleicher Leistung nachgewiesen hat, und es lassen sich deren noch mehrere auffinden; ja, es ist bei Eismaschinen eine unendliche Menge von bestimmten Kreisprocessen nachweisbar, welche dieses Maximum liefern. Ersetzt man die adiabatische Curve CA des Linde'schen Kreisprocesses durch irgend eine Linie, nach welcher das Gas von der Temperatur T₀ zur Temperatur T₁ übergeht, so erhält man als Leistung: Textabbildung Bd. 225, S. 372 wobei die längs dieser Linie absorbirte Wärme gleich Σ dQ ist. Da dieser Betrag dem in der Gleichung (3) ausgedrückten gleich sein muß, so gelangt man nach einigen Transformationen zu der Relation Textabbildung Bd. 225, S. 372 Dieser Relation ist Genüge geleistet, wenn man dQ = ± M'dt setzt. Da nun der Annahme gemäß das Gas längs dieser Linie sich wieder erwärmt, und da es Wärme nur bei der höchsten Temperatur T₁ abtreten kann, so muß es im Gegentheil Wärme absorbiren; deshalb ist M' mit dem Zeichen + zu nehmen. Der letztgenannten Linie entspricht daher die Gleichung: pv(– M' + C)/(– M' +c) = constant,                    (4) welche sich von der Gleichung (2) nur durch das Zeichen von M unterscheidet. Das Gas würde in diesem Falle einen mit ihm in Berührung befindlichen festen Körper nicht abkühlen können, weil es zwar Wärme absorbirt, dabei aber sich erwärmt. Dagegen würde es eine in entgegengesetzter Richtung circulirende Flüssigkeit, von welcher jeder Querschnitt die Temperatur der entsprechenden Gasschicht hätte, abkühlen können. Der von Linde aufgestellte Kreisproceß ist also nicht der einzige, aus welchem die Maximalleistung in den Kälteerzeugungsmaschinen hervorgeht. Es ist nämlich, wie man sieht, ein wesentlicher Unterschied zwischen diesen Maschinen und den Motoren. Bei letzteren besteht nur ein einziger die Maximalleistung bedingender Kreisproceß, der Carnot'sche, während bei den Eismaschinen unendlich viele dem Maximaleffecte entsprechende Kreisprocesse vorhanden sind. Diese beständen aus drei Linien, welche die Gleichung (2) umfaßt, nämlich mit M = ∞ für die Isotherme AB von der Temperatur T, mit positivem M für die gemischte Linie BC, nach welcher die Expansion vor sich geht, und mit negativem M für die gemischte Linie CA, nach welcher das Gas von der niedrigern Temperatur T₀ zur Anfangstemperatur T₁ zurückgeführt wird. Indessen muß man, um jenes Maximum erreichen zu können, die Wärmeabsorption, welche bei den durch die beiden gemischten Linien dargestellten Umwandlungen des Gases stattfindet, vollständig ausnutzen. Ich habe oben gezeigt, daß bei den Luft-Eismaschinen eine unendliche Menge von Kreisprocessen das Maximum der Nutzleistung liefern, und zwar unter der Bedingung, daß sie bestehen 1) aus einer der höhern Temperatur T₁ entsprechenden Isotherme AB, nach welcher die Gascompression erfolgt; 2) aus einer gemischten durch die Gleichung pv(M + C)/(M + c) = constant dargestellten Linie, indem das Gas, von der Temperatur T₁ zu der Temperatur T₀ übergehend, sich ausdehnt und einen Körper von der Wärmecapacität M abkühlt; 3) aus einer andern durch die Gleichung pv(– M' + C)/(– M' + c) = constant dargestellten gemischten Linie, indem das Gas von T₀ auf T₁ erwärmt wird und dabei eine Wärmemenge = M' (T₁ – T₀) absorbirt. Der Kreisproceß der ersten Maschinen von Windhausen und derjenigen von Paul Giffard, obgleich unvollständig, ist ein besonderer Fall des eben erwähnten Processes, wenn man in diesem M = 0 und M' = C setzt. Die atmosphärische Luft wird in einem Pumpencylinder unter constanter Temperatur, die man durch Einspritzen von kaltem Wasser erzielt, comprimirt; sie gelangt alsdann in einen Behälter, von da in den Expansionscylinder, worin sie sich ausdehnt, und tritt aus der Maschine, um ihre kühlende Wirkung auszuüben. Aber es ist einleuchtend, daß man im Allgemeinen unter diesen Bedingungen das Leistungsmaximum nicht erzielen kann. Die Theorie setzt in der That voraus, daß der zu kühlende Körper von der höheren Temperatur T₁ auf die niedrigere T₀ gebracht werden muß. Nun findet die Wärmeentziehung meistens zwischen der niedrigsten Temperatur T₀ und einer um ein Beträchtliches unter T₁ liegenden Temperatur T₂ statt. In diesem Falle zeigt die Theorie an, daß für die Bedingung der Maximalleistung der Kreisproceß bestehen muß aus 1) einer der Periode der Gascompression entsprechenden isothermischen Curve von der höheren Temperatur T₁; 2) einer von T₁ bis T₂ sich erstreckenden adiabatischen Curve; 3) einer von T₂ bis T₀ gehenden gemischten Linie, längs welcher das sich expandirende Gas, gleichzeitig mit seiner eigenen Abkühlung, einen Körper von der Wärmecapacität M kühlt; endlich 4) einer adiabatischen Curve, längs welcher das Gas von T₀ nach T₁ zurückgelangt. Die Leistung in einem solchen Kreisproceß ist: Textabbildung Bd. 225, S. 374 also geringer als die oben erwähnte Leistung, weil man, um das Maximum zu erhalten, T₂ an die Stelle von T₁ vor den Logarithmus setzen müßte. Bei den Maschinen von Windhausen und Giffard mit unvollständigem Kreisproceß wäre die Leistung unter den nämlichen Bedingungen: Textabbildung Bd. 225, S. 374 welche, wie sich nachweisen läßt, geringer ist als die vorhergehende. Nimmt man an, T₂ nähere sich unendlich dem T, d.h. die Wärmeentziehung sei bei der Temperatur T₀ eine vollständige, so zeigt es sich, daß dieser Ausdruck den Quotienten T₀ / (T₁ – T₀) zur Grenze hat, und zugleich eine Verschmelzung des in Rede stehenden Cyklus mit einem Carnot'schen Kreisproceß stattfindet. Es kommt also bei den Luft-Eismaschinen darauf an, 1) das Gas bei constanter Temperatur zu comprimiren; 2) die niedrigere Temperatur T₀, welche zur Erzeugung des verlangten Kälteeffectes grade nothwendig ist, nicht zu überschreiten. Bedingung zur Erreichung dieses Zweckes ist: Einspritzung von Kühlwasser während der Compression und nach folgende Expansion der Luft in Berührung mit einer Salzlösung, welche zur Kühlung anderer Körper außerhalb der Maschine dient. Man hätte somit eine doppelte Circulation des Gases im Innern der Maschine und der kalten Flüssigkeit außerhalb derselben. Auf diese Weise ließe sich jenes bei den Luft-Eismaschinen beobachtete Ausstoßen kalter Luftmassen vermeiden, die sich mit der umgebenden Luft nicht so leicht mischen, die Temperatur ungleich vertheilen, unterwegs den Wasserdampf condensiren und sogar in Form von Schneeflocken ausscheiden. Es hat nicht den Anschein, als ob die Luft-Eismaschinen selbst unter den günstigsten Bedingungen sich mit den Maschinen, die mit flüchtigen Flüssigkeiten arbeiten, messen können (vgl. 1877 224 175). Sie bieten in der That dieselben Unannehmlichkeiten wie die calorischen Maschinen dar, nämlich 1) die großen Dimensionen, in welchen sie wegen der geringen Dichtigkeit und specifischen Wärme der Luft ausgeführt werden müssen, wenn es sich um die Erzielung ansehnlicher Effecte handelt; 2) die passiven Widerstände in Folge dieser großen Dimensionen und der Anwendung zweier Pumpencylinder, Widerstände, welche der Summe der Wirkungen proportional sind, während die aufzuwendende Arbeit der Differenz der Wirkungen proportional ist; 3) die Unfähigkeit dieser Maschinen, sich verschiedenen Abkühlungsstufen anzupassen, indem die Dimensionenverhältnisse der Pumpencylinder nach den Temperaturen T₁ und T₀, zwischen denen die Maschine arbeitet, berechnet werden müssen. – Als Vortheil der Luftmaschinen ist dagegen geltend zu machen, 1) daß sie die Herstellung niedrigerer Temperaturen gestatten als die Maschinen mit flüchtigen Flüssigkeiten, deren Energie mit der Temperaturerniedrigung abnimmt; 2) daß ihre Construction einfacher ist als diejenige anderer Maschinen, z.B. der Ammoniakmaschine; 3) daß sie auf ein Agens angewiesen sind, welches nichts kostet, völlig gefahrlos ist, und dessen Verlust bei einer etwaigen Beschädigung der Maschine gar nicht in Betracht kommt. (Nach einem vom Verfasser gef. eingeschickten Separatabdruck aus den Comptes rendus, 1877 t. 84.) P.