Titel: Die gewöhnlichen Centrifugalregulatoren; von Ingenieur L. Zehnder in Offenbach a. M.
Autor: L. Zehnder
Fundstelle: Band 225, Jahrgang 1877, S. 1
Download: XML
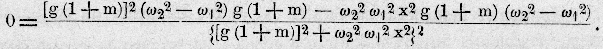
Die gewöhnlichen Centrifugalregulatoren; von Ingenieur L. Zehnder in Offenbach a. M. Mit Abbildungen. Zehnder, über die gewöhnlichen Centrifugalregulatoren. In nachfolgender Untersuchung sollen diejenigen Regulatoren behandelt werden, welche man erhält, wenn man ein gewöhnliches Pendel um eine Achse rotiren läßt, so daß sich das Kugelgewicht des Pendels und die darauf wirkende Centrifugalkraft das Gleichgewicht halten. Das Kugelgewicht kann eventuell noch durch ein auf der Rotationsachse befindliches, längs derselben verschiebbares Hülsengewicht unterstützt werden. Diese Regulatoren werden also hauptsächlich repräsentirt durch den gewöhnlichen und den verbesserten Watt'schen Regulator (ohne Hülsengewicht) einestheils und durch den Porter'schen Regulator (mit Hülsengewicht) anderntheils. Damit nun die Gleichungen in übersichtlicher Form erscheinen und daraus sich möglichst einfache Formeln zur Berechnung dieser Regulatoren Herleiten lassen, sollen einige specielle Annahmen gemacht werden, welche bei der constructiven Ausführung leicht berücksichtigt werden können, die aber doch dem Wesen der Sache keinen Eintrag thun: a) Der Aufhängepunkt des Pendels und der Angriffspunkt des Hülsengewichtes liegen in derselben Parallele zur Rotationsachse. b) Die Länge der Verbindungsstange des Hülsengewichtes mit dem Regulatorpendel sei gleich der Länge des letztern von seinem Aufhängepunkt bis zum Gelenkpunkt beider Stangen. c) Die Masse der Regulatorkugel sei auf den Gelenkpunkt von Pendel- und Hülsenstange reducirt. d) Die Reibung in sämmtlichen Gelenken des Regulators, sowie alle übrigen Widerstände, welche dieser zu überwinden hat, seien reducirt auf den Angriffspunkt des Hülsengewichtes. e) Das Gewicht von Pendel- und Hülsenstange werde nicht in Rechnung gezogen. Da schon das eine Pendel principiell den Regulator darstellt, so wird dieser gemäß obiger Annahmen sich schematich so darstellen lassen, wie es Figur I verdeutlicht. Fig. 1., Bd. 225, S. 2 Y = Rotationsachse, ω = Winkelgeschwindigkeit des ganzen Systems, l = Pendellänge, α = Pendelausschlagwinkel, x = senkrechter Abstand des Kugelmittelpunktes von der Rotationsachse, P = Gewicht einer Regulatorkugel, g = Acceleration der Schwerkraft, C = (P/g) ω²x Centrifugalkraft, welche auf die Kugel wirkt, Q/2 = zu dem einen Pendel gehöriges Hülsengewicht, W/2 = zu dem einen Pendel gehöriger Widerstand, immer der Bewegung entgegengesetzt wirkend. Wenn man nun annimmt, daß außer den oben dargestellten keine weitern Kräfte mehr auf den Regulator einwirken, dann müssen sich diese in jeder Lage das Gleichgewicht halten. Die Kraft (Q ± W)/2 läßt sich zerlegen in zwei Componenten (Q ± W)/2cos α in Richtung der Hülsenstange (Q ± W)/2tg α und normal zur Rotationsachse. Letztere Komponente findet ihre Reactionskraft im entsprechenden Punkte des zweiten Regulatorpendels. Es bleibt also nur noch die Componente (Q ± W)/2cos α, welche nach dem Pendelschwerpunkt transportirt und dort wieder in die zwei Componenten (Q ± W)/2tg α normal und (Q ± W)/2 parallel zur Rotationsachse zerlegt wird. Soll also Gleichgewicht eintreten, dann muß sein (an dem Aufhängepunkt A): P/g ω²x l cos α – (Q ± W)/2 tg α l cos α = (P + (Q ± W)/2) lsin α, oder umgeformt: tg α = ω²x/g P/(P + Q ± W). In dieser Gleichung sind variabel α, ω, x. Es werde nun α und x je ein bestimmter Werth beigelegt und es gehöre zu einem positiven Widerstande W die Winkelgeschwindigkeit ω', zu einem negativen Widerstande aber ω''; dann ergeben sich aus obiger Gleichung die zwei Formeln: ω'² = (g tg α/x) (P + Q + W)/P                    (1) ω''² = (g tg α/x) (P + QW)/P                   (2) Bleibt aber der Regulator unter dem Winkel α in Ruhe, dann verschwindet der Widerstand, da derselbe nur bei Bewegung auftritt. Sei ω die dem Ruhezustand entsprechende Winkelgeschwindigkeit, dann wird ω² = g tg α/x (P + Q)/P                              (3) Subtrahirt man Gleichung (2) von (1) und dividirt beide durch Gleichung (3), so ergibt sich (ω'² – ω''²)/ω² = 2W/(P + Q). Setzt man in diese Gleichung angenähert ω' + ω'' = 2ω und nennt δ = (ω'ω'')/ω den Empfindlichkeitsgrad des Regulators, dann läßt sich obige Gleichung noch weiter reduciren: (ω'² – ω''²)/ω² = 2 δ = 2W/(P + Q) oder δ = W/(P + Q). Für Q = mP wird P = W/(1 + m)δ. Ist also der Widerstand, welchen der Regulator zu überwinden hat, seine sogen. Energie W bekannt, und nimmt man m und δ an, so läßt sich aus der letzten Gleichung das Gewicht P einer Regulatorkugel sofort bestimmen. Gewöhnlich ist aber W nicht eine genau bekannte, sondern nur eine ungefähr geschätzte Größe; deshalb hat es auch keinen besondern Werth, für die Folge den Regulator unter Einwirkung des Widerstandes zu untersuchen, und zwar noch um so weniger, weil man doch, δ als bekannt vorausgesetzt, mit Hilfe der obigen Gleichung aus der Winkelgeschwindigkeit ω für Ruhezustand leicht diejenigen für Bewegung, ω' nach aufwärts und ω'' nach abwärts, bestimmen kann. Sei also W = 0, d.h. Ruhezustand des Regulatorpendels vorausgesetzt, dann ist tg α = C/(P + Q) = (ω²x)/g P/(P + Q) = (ω²x)/g 1/(1 + m). Frage: Auf welcher Curve muß sich der Kugelmittelpunkt bewegen, wenn der Regulator in jeder Stelle bei derselben Winkelgeschwindigkeit ω zur Ruhe kommen soll? Fig. 2., Bd. 225, S. 4 Betrachtet man die Rotationsachse als die Y-Achse und eine Senkrechte dazu als die X-Achse eines rechtwinkligen Koordinatensystems, dann sollen x und y (Fig. II) die Koordinaten des Kugelmittelpunktes bezeichnen. Denkt man sich nun die gesuchte Curve als Rinne dargestellt, in welcher der Punkt sich zu bewegen gezwungen wird, und zerlegt man die Resultirende sämmtlicher auf den Punkt wirkenden Kräfte in Komponenten normal und tangential zur Curve, dann ist leicht einzusehen, daß letztere Komponente allein Bewegung des Punktes hervorrufen kann; die erstere wird durch die Steifigkeit der Rinne vollständig aufgehoben. Soll also Gleichgewicht entstehen, dann muß die Componente tangential zur Curve verschwinden, also die Tangente an die Curve im Punkte (x, y) senkrecht auf der Richtung der resultirenden Kraft stehen; also ist der Pendelausschlagwinkel α auch der Winkel der Tangente im Punkte (x, y) mit der X-Achse: dy/dx = tg α = (ω²x)/(g (1 + m)). Durch Integration ergibt sich x² = 2g(1 + m)/ω² y. Faßt man ω als variablen Parameter auf, dann stellt diese Gleichung eine Parabelschaar dar, deren Achse die Rotationsachse Y des Systems ist. Würde man demnach den Kugelmittelpunkt in einer dieser Parabeln führen, dann könnten die Kugeln bei der zugehörigen constant angenommenen Winkelgeschwindigkeit ω in jeder Lage zur Ruhe kommen, vorausgesetzt, daß keine weitern Kräfte mehr ins Spiel kommen. Ein solcher Regulator wäre aber asiatisch, d.h. er könnte in Wirklichkeit nie zur Ruhe kommen, weil eben die Winkelgeschwindigkeit niemals völlig constant bleiben kann. Beispielsweise schon bei einer Umdrehung einer Kolbenmaschine ist die Winkelgeschwindigkeit verhältnißmäßig sehr stark variabel, entsprechend dem Empfindlichkeitsgrad des Schwungrades. Dann ist es auch sehr schwierig, Parabeln in der Praxis einigermaßen genau auszuführen. Aber auch ganz abgesehen davon, sind diese RegulatorenRegutoren zu praktischen Anwendungen nicht tauglich, weil sie in Folge der lebendigen Kraft der bewegten Massen stets zu viel die Betriebskraft verändern und so die Schwankungen in der Geschwindigkeit der Maschine vergrößern, statt sie zu verringern, wie dies wohl zuerst von meinem hochverehrten Lehrer, dem leider zu früh verstorbenen Prof. Louis Kargl in Zürich, klargelegt worden ist. (Vgl. * 1876 222 507.) Um nun einen Regulator zu erhalten, welcher die Tourenzahl der Maschine nur in möglichst engen Grenzen variiren läßt, hat man die Regulatorkugeln in einem Kreise geführt, den man so bestimmte, daß er für die beiden Abscissen, welche dem größten und kleinsten zu benutzenden Ausschlagwinkel entsprechen, parallele Tangenten hat mit einer und derselben Parabel, oder mit andern Worten: man construirte den Regulator so, daß er in der höchsten und tiefsten Stellung bei derselben Winkelgeschwindigkeit zur Ruhe kommen konnte. Auf diese Weise erhielt man den sogen, verbesserten Watt'schen oder den pseudoparabolischen Regulator. – Ob wohl die letztere Benennung davon herrührt, daß man den Regulator als sehr brauchbar ausgerechnet hatte, daß aber derselbe in Wirklichkeit niemals so functionirte, wie man es ihm durch die Rechnung vorgeschrieben zu haben glaubte, d.h. daß derselbe den Constructeur regelmäßig täuschte? Es ist nun leicht einzusehen, daß der vorhin bezeichnete Weg zur Berechnung eines sehr guten Regulators principiell vollständig unrichtig ist. Der Regulator kommt in der tiefsten und höchsten Stellung bei der nämlichen, in der Mitte aber bei einer etwas verschiedenen Winkelgeschwindigkeit zur Ruhe. Gehören beispielsweise zu den Mittlern Regulatorstellungen kleinere Winkelgeschwindigkeiten als zu dessen kleinstem und größtem Ausschlagwinkel, und es sei der Regulator in der tiefsten Stellung zur Ruhe gekommen, dann werden die Kugeln, sobald die Winkelgeschwindigkeit etwas größer geworden ist, als die der untersten Stellung entsprechende, plötzlich in die oberste Position hinaufschießen; denn in allen zwischenliegenden Stellungen könnte der Regulator nur bei kleinern Winkelgeschwindigkeiten zur Ruhe kommen. Die Kugeln müssen somit immer steigen, und zwar um so rascher, je größer die Differenz zwischen der vorhandenen und der zum momentanen Ausschlagwinkel gehörigen Winkelgeschwindigkeit ist, so daß also die Kugeln jedenfalls bis in die oberste Stellung steigen werden. Jetzt kommt aber doch die dadurch bewirkte kleinere Füllung allmälig zur Geltung, die Winkelgeschwindigkeit wird verringert und die Kugeln fangen an, wieder zu sinken. Wenn nun letztere immer noch weiter abnimmt, dann werden auch die Regulatorkugeln immer tiefer sinken, bis sie endlich bei dem Punkte ankommen, in welchem sie mit der kleinst möglichen Winkelgeschwindigkeit zur Ruhe kommen können. Bei fortgesetzter Abnahme von ω fällt der Regulator plötzlich wieder in seine tiefste Lage zurück, und dasselbe Spiel kann von neuem beginnen. Man sieht aber daraus zugleich, daß der Regulator doch brauchbar gemacht werden kann, sobald man seine Einwirkung auf die Expansionsvorrichtung und damit seinen Hub so ändert, daß derselbe nur nach einer Seite variiren muß und kann, zwischen dem größten und demjenigen Ausschlagwinkel, welcher seiner kleinsten zulässigen Winkelgeschwindigkeit entspricht, d.h. wenn man nur ungefähr die obere Hälfte des Ausschlagbogens benutzt. Aehnlich verhält es sich, wenn zu den Mittlern Ausschlagswinkeln des Regulators größere Werthe von ω gehören als zu den äußersten. Dann ist nur ungefähr die untere Hälfte des Ausschlagbogens brauchbar. Ganz dieselben Erscheinungen treten auf, wo immer zwei verschiedene Stellungen des Regulators der nämlichen Winkelgeschwindigkeit entsprechen. Und je geringer die Abweichungen zwischen jenen sind, um so öfter wird der Regulator von der einen zur andern Stellung überspringen. So muß man sich wohl bei vielen Regulatoren das sogen. Zucken erklären, wo wenigstens nicht die ungenaue constructive Ausführung die Schuld trägt. Aus diesen Entwicklungen geht nun deutlich hervor, daß man einen möglichst zweckmäßigen Regulator dann erhält, wenn man die beiden Lagen, in welchen derselbe für den nämlichen Werth von ω zur Ruhe kommen soll, in eine zusammenfallen läßt, wenn man also die Regulatorkugeln zwingt, einen Kreis zu beschreiben, der im Ausgangspunkte mit der entsprechenden ihn berührenden Parabel der Schaar zwei unendlich benachbarte Tangenten gemein hat, d.h. die Kugeln sollen sich auf dem Krümmungskreis der Parabel bewegen. Dieser schließt sich im betreffenden Punkte von allen Kreisen am innigsten der Parabel an; der Regulator wird also die kleinsten Geschwindigkeitsänderungen mit den größt möglichen, jedoch stets jenen entsprechenden Ausschlagsdifferenzen beantworten. Derselbe gleicht demnach ziemlich dem parabolischen und ist doch ein statischer Regulator; denn jeder Winkelgeschwindigkeit entspricht nur ein Ausschlagwinkel, wenn man sich nicht zu weit vom Ausgangspunkte entfernt. (Eine Ausnahme hiervon bildet freilich der letztere selbst gemäß der Construction, denn dort entsprechen zwei unendlich benachbarte Lagen demselben Werthe von ω.) Es ist nun die Frage, von welchem Punkte einer Parabel muß man ausgehen, um, auf dem Krümmungskreis fortschreitend, möglichst weit annähernd auf derselben Parabel zu bleiben, also auch erst nach möglichst großen Ausschlagwinkeln auf benachbarte Parabeln zu gelangen? Diese Frage theoretisch genau zu lösen, will ich nicht unternehmen, glaube auch nicht, daß sich daraus lohnende Resultate ergeben würden; wohl aber versuche ich auf folgende Weise angenähert vorzugehen: Ich benutze den Krümmungsradius in derjenigen Abfasse (x), in welcher die Tangenten der benachbarten Parabeln den größten Winkel mit einander bilden. Seien ω₁ und ω₂ die Winkelgeschwindigkeiten, welche zwei benachbarten Parabeln entsprechen, α₁ und α₂ die zur nämlichen Abscisse (x) beider Parabeln gehörigen Winkel der Tangente mit der X-Achse, dann soll also tg α' = tg (α– α₂) ein Maximum werden. Die Parabelgleichung ist: x² = (2g (1 + m))/ω² y, also dy/dx = tg α = ω²x/g (1 + m), somit muß tg α' = ([ω₂² – ω₁²] g (1 + m) x)/([g (1 + m)]² + ω₂²ω₁²x²) = MM werden. Die Ableitung dieses Quotienten soll verschwinden: Textabbildung Bd. 225, S. 7 Wird der Nenner dem Zähler gegenüber unendlich groß, dann ist diese Gleichung erfüllt. Dieses ergibt: x = ∞, welchem Werthe jedoch ein Minimum obiger Function entspricht. Es kann aber auch der Zähler gleich Null werden: [g (1 + m)]² – ω₂²ω₁²x²₁ = 0 woraus x = ± g(1 + m)/ωω Dieser Abscisse entspricht das gesuchte Maximum. Läßt man nun die Differenz zwischen ω₁ und ω₂ immer kleiner werden, und nähern sich die beiden fortwährend einem Grenzwerthe ω, dann wird: lim (g(1 + m)/ωω₂) = g(1 + m)/ω² (für ω₁ = ω₂ = ω). Setzt man diesen Werth x = (g (l + m))/ω₂ in die Parabelgleichung ein, so ergibt sich: y = g(1 + m)/2ω², also ist x = 2y, d.h. wo die Linie x = 2y jede Parabel der Schaar schneidet, in jenem Punkte soll man den Krümmungsradius der betreffenden Parabel benutzen. Für diese Punkte ist tg α = 1 oder α = 45°. Die Gerade x = 2y geht durch den Coordinatenursprung; man sieht also, daß für stark ansteigende Parabeln der Werth von x sehr klein und deshalb praktisch nicht ausführbar, für sehr flach verlaufende Parabeln aber zu groß wird. Doch suche man wenigstens, obigem Werthe möglichst nahe zu kommen. Bestimmt man z.B. x (in Centimeter) nach der empirischen Formel x = 1000 √(1 + m)/n – 1, dann entfernt man sich nicht zu weit von dem Werthe x = 2y und bewegt sich doch noch in praktisch leicht ausführbaren Dimensionen. Es ist nun der Krümmungsradius der Parabel im Punkte (x, y): ρ = (c² + 4 x²)3/2/2c² worin c, der doppelte Parameter, den Werth hat: c = 2g(1 + m)/ω², also x² = cy. Bequemer läßt sich ρ aus folgender etwas umgeformten Gleichung berechnen: ρ² = (c + 4y)³/4c Construirt man nun im Punkte (x, y) die Tangente an die Parabel aus der Gleichung tg α = 2y/x, errichtet darauf die Normale und trägt auf dieser den gefundenen Werth von ρ ab, so hat man dasjenige Regulatorpendel gefunden, welches sich als das zweckmäßigste ergeben hat. Daß dieser Regulator, in den richtigen Grenzen benutzt, wirklich brauchbar ist, läßt sich leicht aus folgender Ueberlegung erkennen: Mit wachsender Abscisse (x) nimmt auch der Krümmungsradius (ρ) stetig zu. Bewegt sich also ein Punkt auf dem Krümmungskreis, statt auf der Parabel, nach größern Abscissen, so gelangt er ins Innere derselben Parabel, er erreicht stärker ansteigende, also größern Tourenzahlen entsprechende Parabeln; bewegt er sich aber in Richtung der abnehmenden Abscissen, dann gelangt er umgekehrt auf flacher verlaufende Parabeln. Und dies ist ja Hauptbedingung für einen brauchbaren Regulator. Nimmt man als Regulatorpendellänge einen größern als den Krümmungsradius, dann bewegen sich die Regulatorkugeln vom betreffenden Punkte aus auf- und abwärts zu geringern Tourenzahlen entsprechenden Parabeln; dieser Kreis wäre also nur vom Ausgangspunkte an abwärts brauchbar. Ist der benutzte Kreis kleiner als der Krümmungskreis, dann ist derselbe analog dem vorigen nur vom Ausgangspunkte an aufwärts brauchbar. Bekanntlich ist der Krümmungsmittelpunkt eines Parabelpunktes stets auf der letzterem entgegengesetzten Seite der Parabelachse; man würde also bei einer solchen Berechnung stets Regulatoren mit gekreuzten Armen erhalten. Um dies zu verhüten, in vielen Fällen auch um nicht gar zu große Pendellängen zu erhalten, wird man stets eher geneigt sein, die aus der Rechnung gefundene Pendellänge (ρ) zu verkleinern. Deshalb ist es rathsam, als Ausgangspunkt den der geringsten zulässigen Tourenzahl entsprechenden Parabelpunkt zu wählen. Auch vereinfacht diese Annahme die Berechnung, da man nur den Regulator so weit steigen zu lassen braucht, bis derselbe seine größte zulässige Tourenzahl erreicht hat. Welche Stellung grade der Mittlern Tourenzahl entspreche, ist doch wohl von geringerm Interesse, da ja überhaupt die Tourenzahlen nicht zu sehr von einander abweichen. Es ist nun wichtig zu wissen, ob man bei Benutzung des Krümmungskreises oder eines kleinern Kreises, vom kleinsten Ausschlagwinkel an aufsteigend, niemals auf Regulatorpunkte gelangen könne, in welchen der Krümmungsradius kleiner ist als die benutzte Pendellänge? In solchen Punkten würde nämlich der Regulator beim Steigen wiederum auf Parabeln gelangen, welche geringern Tourenzahlen entsprechen. Wenn man sich eine Parabel- und ihre entsprechende Evolutenschaar vergegenwärtigt und in diese einen Krümmungsradius einzeichnet, wenn man hierauf den Krümmungsradius um den Krümmungsmittelpunkt dreht gegen eine der X-Achse parallele Lage, dann sieht man leicht, daß die Richtung des Krümmungsradius fortwährend zur Berührung mit Evoluten übergeht, welche Parabeln für größere Tourenzahlen entsprechen. Es wird also auch der betreffende Krümmungsradius immer größer, kann also nie mehr kleiner als das angenommene ρ werden. Dasselbe tritt noch in stärkerm Maße auf, je mehr man ρ verkürzt. Es ist damit das oben ausgesprochene Bedenken vollständig beseitigt. Es bliebe nun noch übrig, den der höchsten zulässigen Tourenzahl entsprechenden Ausschlagwinkel α₂ zu bestimmen. Man erhält die Abscisse x₂ des gesuchten Punktes, wenn man für dieselbe die Kreistangente parallel der Parabeltangente setzt. Auf diese Weise ergibt sich jedoch für x₂ eine Gleichung vierten Grades, die wohl Wenige zur Auflösung einladen würde; es erscheint deshalb als das Einfachste, wenn man einmal den Regulator in der tiefsten Lage berechnet und schematisch aufgezeichnet hat, dessen Ausschlagwinkel um einen bestimmten Werth zu vergrößern, das neue x₂ und tg α₂ aus der Zeichnung abzulesen und diese Werthe in die Gleichung tg α = ω²x/g(1 + m) einzusetzen; daraus ergibt sich Textabbildung Bd. 225, S. 9 Ist der so erhaltene Werth von ω zu groß oder zu klein, so verändere man den Winkel α dem entsprechend noch einmal, dann wird man jedenfalls bei geringer Uebung der gesuchten Maximalgeschwindigkeit genügend nahe gekommen sein. Es läßt sich auch nach Annahme von α₂ der Werth von x₂ berechnen aus der Gleichung x₂ = x₁ – ρ (sin α₁ – sin α₂); doch ist wohl dieses Verfahren umständlicher, da man ja in jedem Falle den Regulator aufzeichnen muß. Bezeichnet ε = (ω͵ω͵͵)/ω den Empfindlichkeitsgrad des Schwungrades der Maschine, δ = (ω'ω'')/ω den Empfindlichkeitsgrad des Regulators, dann muß die mittlere Winkelgeschwindigkeit ω des Regulators um ω'ω‚ vergrößert, oder um ω͵͵ – ω'' verkleinert werden, bis derselbe zur Wirkung kommt. Setzt man angenähert ε/2 = (ω͵ – ω)/ω und δ/2 = (ω'ω)/ω, dann wird ω'ω͵ = (δε)/2 ω und analog ω͵͵ – ω'' = (δε)/2 ω. Diese Differenz zur größten Winkelgeschwindigkeit für Ruhezustand (ω₂) addirt, gibt (angenähert) die Maximalwinkelgeschwindigkeit des Regulators: ω' = ω₂ (1 + (δε)/2). Durch Subtraction jener Differenz von ω₁ ergibt sich die kleinste zulässige Winkelgeschwindigkeit: ω'' = ω₁ (1 + (δε)/2). Durch zweckmäßige Wahl von ε und δ kann man aber die Differenzen ω'ω₂ und ω₁ – ω'' zum Verschwinden bringen. Fig. 3., Bd. 225, S. 10 Aus dieser Untersuchung ergeben sich also der gewöhnliche und der verbesserte Watt'sche Regulator als specielle Fälle, wenn man m = 0 in die Gleichungen einsetzt; letzterer, richtig berechnet, behält als Pendellänge den Krümmungsradius der Parabel bei, während ihn der erstere verkürzt. Besonders in diesen Specialfällen läßt man oft die Hülsenstangen nicht im Kugelmittelpunkte, sondern in einem andern Punkte des Pendels angreifen, wie es Figur III verdeutlicht. Dann ergibt sich einfach das wirkliche Kugelgewicht aus dem in die Rechnung eingeführten durch die Gleichung: P₁ = l₁/l P. Oft will man wohl die Pendelstangen, nicht aber die Hülsenstangen kreuzen; dann soll man jedoch, um den gemachten Voraussetzungen a und b wenigstens einigermaßen zu genügen, für die mittlere Stellung des Regulators den Winkel der Hülsenstange mit der Rotationsachse Y gleich machen dem Winkel α des Pendels mit Y. Fig. 4., Bd. 225, S. 11 Formeln zur Berechnung neuer Regulatoren. Man wähle die Minimal- und Maximaltourenzahlen n₁ und n₂, bei welchen der Regulator für Verschwinden des Widerstandes seine äußersten Grenzstellungen einnehmen soll, suche deren entsprechende Winkelgeschwindigkeiten: ω₁ = 2πn₁/60 und ω₂ = 2πn₂/60, dann wähle man die Verhältnißzahl m = Q/P in den Grenzen m = ω₁²/15 – 1 bis ω₁²/80  – 1 (empirisch), ferner den Empfindlichkeitsgrad δ des Regulators; endlich bestimme, eventuell schätze man die Energie W, welche der Regulator entwickeln soll. Daraus bestimmt sich nun das Gewicht P (Fig. IV) einer Regulatorkugel:Für Regulatoren mit verlängerten Pendelstangen (Fig. III) wirdP₁ = l₁/l P                        (Ia) P = W/(1 + m)δ                    (I) Es wird sonach das Hülsengewicht: Q = mP                               (II) Der Parameter 1/2 c₁, welcher der Parabel für die Minimaltourenzahl entspricht, bestimmt sich aus der Gleichung: c₁/2 = g(1 + m)/ω₁²,       (III) worin g = Acceleration der Schwerkraft. Wählt man für die tiefste Regulatorstellung die Entfernung des Kugelmittelpunktes von der Achse nach der empirischen Formel: x₁ = 1000 √(1 + m)/n – 1, dann läßt sich die zu dieser Abscisse gehörige Ordinate berechnen: y₁ = x₁²/c₁                         (IV) Jetzt kann man die Tangente und Normale der Parabel im Punkte (x₁, y₁) aus der Gleichung tg α₁ = 2y₁/x₁ leicht construiren, wie es in Figur V angedeutet ist. Den Krümmungsradius in diesem Punkte findet man aus der Gleichung: ρ₂ = (c₁ + 4y₁)³/4c₁                    (V) Fig. 5., Bd. 225, S. 12 Diesen (absoluten) Werth von ρ trage man der Normalen der Parabel vom Punkte (x₁, y₁) aus gegen die Y-Achse hin ab, so hat man das Regulatorpendel, wie es sich aus dieser Berechnung als das zweckmäßigste ergibt. Hat man aber für einen großen, vielleicht praktisch nicht mehr gut ausführbaren Werth erhalten, oder will man überhaupt nicht einen Regulator mit gekreuzten Armen anwenden, dann verkürze man ρ so viel, als nöthig ist (dabei ist jedoch x₁ und α₁ beizubehalten); nur hat man bei solcher Veränderung zu bedenken, daß, je mehr die Pendellänge von der Länge des Krümmungsradius abweicht, um so kleiner auch der Ausschlagbogen wird, welcher der angenommenen Differenz der Tourenzahlen entspricht. Man wähle also die Pendellänge 1 ≦ ρ. Wenn man sich nun bei großen Werthen von l entscheidet, einen Regulator mit sogen. verlängerten Pendelstangen (Fig. III) anzuwenden, dann hat man an dieser Stelle noch von Formel Ia Gebrauch zu machen. Jetzt ist der Regulator in seiner tiefsten Stellung vollständig bestimmt. Die Lage des Pendelaufhängepunktes ergibt sich aus der Construction, wenn man l in Figur V einträgt, ist aber auch sehr einfach auf dem Wege der Rechnung zu bestimmen. Nun drehe man das Pendel bis auf einen Ausschlagwinkel α₂ (welchen man jedoch für den Anfang nicht zu groß wählen soll) und suche für diesen aus der Zeichnung (oder mittels Berechnung) die Distanz x₂ des Kugelmittelpunktes von der Achse. Diesen Werthen entspricht eine Winkelgeschwindigkeit Textabbildung Bd. 225, S. 12 Weicht dieses ω₂ noch zu sehr vom gewählten ω₂ ab, dann setze man ein zweites Werthepaar (α₂, x₂) in Formel VI ein u.s.f., bis man dem gewählten Werthe von ω₂ genügend nahe gekommen ist. Die Minimal- und Maximaltourenzahlen, zwischen welchen der Regulator reguliren kann, ergeben sich schließlich aus ω₁ (gewählt) und ω₂ (berechnet): n'' = 60ω₁/2π (1 – (δε)/2)                    (VII) n' = 60ω₂/2π (1 + (δε)/2),                   (VIII) für ε = Empfindlichkeitsgrad des Schwungrades der Maschine. Die Einwirkung des Regulators soll man nicht zu empfindlich machen wollen; jedenfalls soll nicht der Centrifugalregulator empfindlicher sein als der zweite Regulirungstheil der Maschine, das Schwungrad. Macht man den Empfindlichkeitsgrad von Regulator und Schwungrad genau gleich, dann werden durch das letztere bei jeder Umdrehung der Maschine die zwei Winkelgeschwindigkeiten ω' und ω'' zugelassen, bei welchen der Regulator eben in den Stand gesetzt ist, die Energie W zu entwickeln, um seine Ruhelage verlassen zu können. Man hat also auf diese Weise in Anbetracht der endlichen Masse des Schwungrades in Wirklichkeit einen vollkommen empfindlichen Regulator. Ist aber der Regulator empfindlicher als das Schwungrad, dann wird er schon bei jeder Umdrehung gezwungen, seine mittlere Gleichgewichtsstellung zu verlassen, es muß somit ein Zucken auftreten. Diesem ist zwar abzuhelfen, wenn man dem Regulatorpendel in seinen Gelenkpunkten etwas Spiel gibt, so daß die kleinern Unregelmäßigkeiten der Maschine nicht mehr so stark auf den Regulator einwirken können; doch wähle man lieber (ω'ω'')/ω = δε. Dem entsprechend soll man auch nicht W übermäßig groß annehmen, wenn dieser Werth nicht genügend genau bestimmt werden kann. Denn je kleiner der Widerstand W, welchen der Regulator zu überwinden hat, sich in Wirklichkeit ergibt, um so empfindlicher wird der Regulator sein. Es kann demnach leicht auf diese Weise δ < ε werden, dann hat man wiederum ein Zucken des Regulators. Insbesondere bei Steuerungen, welche den Regulator nur intermittirend einwirken lassen, verschwindet nahezu der Widerstand W schon bei jedem Kolbenhub einmal. Man will aber auch nicht gar zu kleine Kugelgewichte erhalten, damit nicht etwa der intermittirend wirkende Widerstand zu sehr auf den Regulator zurück wirke und auch so ein Zucken veranlasse; deshalb ist in diesem Falle entschieden anzurathen, einen Oelbremser anzubringen, mit welchem überhaupt das Zucken jedes Regulators auf ein Minimum reducirt werden kann, ohne damit der Empfindlichkeit seiner Einwirkung Eintrag zu thun. Oelbremser mit einer Regulirschraube möchte ich besonders empfehlen. Ist für eine Maschine Kraft und Widerstand während der ganzen Umdrehung constant, also kein Schwungrad nöthig, dann kann natürlich der Regulator nie vollkommen empfindlich gemacht werden. Selbstverständlich behalten die schon früher erwähnten dynamischen Betrachtungen von Prof. Kargl in allen Fällen ihren Werth für solche Regulatoren bei; jedoch hat man es bei directwirkenden Regulatoren ebenfalls mit einem Oelbremser in der Hand, die erzeugte lebendige Kraft der Kugeln so zu absorbiren, daß der neue Beharrungszustand der Geschwindigkeit der Maschine in kürzester Zeit hergestellt wird. Grade für den Fall, daß die Maschine plötzlichen großen Widerstandsänderungen ausgesetzt ist, soll man den Regulator nicht zu empfindlich einwirken lassen, damit man mittels eines anzubringenden Oelbremsers nicht noch die Empfindlichkeit der Einwirkung reguliren muß, sondern damit man durch denselben die Zeit bis zur Herstellung des neuen Beharrungszustandes auf ein Minimum herunterziehen kann. Ueberhaupt ist es meine feste Ueberzeugung, daß diese gewöhnlichen einfachen Centrifugalregulatoren, sobald man sie nur in rationeller Weise berechnet und constructiv durchführt, allen Anforderungen, welche die Praxis an sie stellt, genügen können, und wenn es mir durch diese Untersuchung gelungen ist, dieselben an vielen Orten wieder etwas mehr zu Ehren zu ziehen, dann ist mein Zweck vollständig erfüllt.