| Titel: | Ueber Erzeugung und Verwendung comprimirter Luft als Betriebsmittel; von Ingenieur Hermann Freyn. |
| Autor: | Hermann Freyn |
| Fundstelle: | Band 224, Jahrgang 1877, Nr. , S. 353 |
| Download: | XML |
Ueber Erzeugung und Verwendung comprimirter Luft
als Betriebsmittel; von Ingenieur Hermann
Freyn.
Schluß von S. 243 dieses Bandes.
Freyn, über comprimirter Luft als Betriebsmittel.
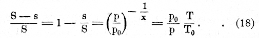
Nennen wir T0 (= t0 + 273) die absolute
Temperatur er Luft bei Compressionsbeginn und setzen sie vorläufig gleich der
absoluten Temperatur der Außenluft und auch gleich der absoluten Temperatur der
comprimirten Luft in der Luftleitung; T die absolute
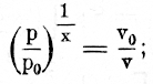
Temperatur der Luft im Compressor bei der beliebigen Spannung p (Atmosphären absolut), während p0 der Temperatur T0 entspricht und v0, und v die
gleichzeitigen specifischen Volume, ferner x = 1,41 das
VerhältnißAus typographischen Rücksichten ist hier x statt
des üblichen Zeichens x gesetzt worden.D. Red der Wärmecapacitäten der
atmosphärischen Luft bei constantem Druck und constantem Volum, so gilt die
Gleichung:
Textabbildung Bd. 224, S. 353
Wir nehmen nun an, die Saugventile eines Compressors vom Hübe
S hätten sich geschlossen, der Kolben stehe im
Anfang des Hubes, um im nächsten Augenblicke die Compression zu beginnen; der
Compressor enthalte atmosphärische Luft von der Spannung p0, der Temperatur t0 (abs. T0 = 273 + t0), dem specifischen Volum v0. Nun beschreibe der Compressorkolben
den Weg s und es trete dabei die Spannung der Luft p ein, wobei ihre Temperatur t (abs. T = 273 + t), ihr specifisches Volum v sei. Setzen wir
noch die Cylinderwandungen als wärmedicht voraus, so ist nach Gleichung (13) Textabbildung Bd. 224, S. 353 weil aber v0/v = Textabbildung Bd. 224, S. 353, so wird
Textabbildung Bd. 224, S. 354
Es ist also s der Weg, welchen der
Kolben beschreiben muß, damit die Spannung der Luft von p0 auf p
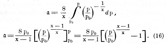
steige. Rückt nun der Kolben noch um ds vor, so ist dazu die Arbeitsgröße pds = da pro Querschnittseinheit nothwendig; aus
Gleichung (14) ist nun
Textabbildung Bd. 224, S. 354
also Textabbildung Bd. 224, S. 354
und die von s = 0 bis s = s, bezieh, von p = p0 bis p = p verbrauchte Compressionsarbeit:
Textabbildung Bd. 224, S. 354
Sobald die Luft die Spannung p erreicht hat, mögen sich
die Druckventile öffnen; dann beschreibt der Kolben den Rest des Hubes = S - s unter dem constanten
Gegendruck p unter einem Arbeitsaufwande:
Textabbildung Bd. 224, S. 354
Gleichung (14) eingeführt:
Textabbildung Bd. 224, S. 354
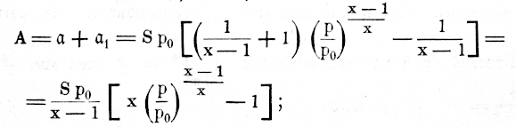
Es ist somit die totale, während des ganzen Hubes
aufgebrauchte Compressionsarbeit pro Querschnittseinheit:
Textabbildung Bd. 224, S. 354
daraus folgt die mittlere Spannung im Compressor:
Textabbildung Bd. 224, S. 354
Ferner ist mit Zuhilfenahme der Gleichungen (13) und (14) das
Compressionsverhältniß:
Textabbildung Bd. 224, S. 355
Durch Substitution von (13) in (17) wird
Textabbildung Bd. 224, S. 355
Die Arbeitsleistung der Volldruckarbeitsmaschine ist wieder a =(p - 1) f S,
der Arbeitsverbrauch des Compressors A = (pm - 1) F S, somit der Wirkungsgrad der ganzen Anlage Textabbildung Bd. 224, S. 355, und wenn wir annehmen, daß sich die comprimirte Luft bis auf die
Temperatur der angesaugten abgekühlt habe, so ist f/F =
1/p, also
Textabbildung Bd. 224, S. 355
Führen wir außerdem noch ein
Textabbildung Bd. 224, S. 355
worin also Pm die mittlere effective Luftspannung auf der Compressionsseite
bei Constanterhaltung der Temperatur während der Compression und pm dieselbe Größe bei
Erwärmung nach der Poisson'schen Gleichung bedeuten; erwägen wir nun daß die
Compressorquerschnitte für beide Annahmen und für gleiche Spannung und
Anfangstemperatur der Luft gleich groß sein werden, daß somit Pm und pm proportional sind Arbeitsaufwänden beider
Compressoren, so hat ξ = Pm/pm folgende Bedeutung: ξ ist nichts anders, als das Maß der
Herabsetzung des Wirkungsgrades einer Compressionsanlage, hervorgerufen durch die
während der Compression stattfindende Erwärmung der Luft und zugleich der
Wirkungsgrad einer Compressionsanlage mit Erwärmung der Luft, bezogen auf eine
Anlage ohne solche bei der Compression. Jene Effectivspannungen Pm und pm sowie die Werthe der
Gleichungen (18) bis (21) wurden für verschiedene Luftspannungen in nachstehender
Tabelle übersichtlich zusammengestellt, der Wirkungsgrad η außerdem auf den
Wirkungsgrad (η2) einer Compressionsanlage
mit p = 2at absolut bezogen (Zeile e) und dabei p0 = 1, t0 = 0 gesetzt.
Tabelle IV
Textabbildung Bd. 224, S. 356
p =; 1½; 2; 2½; 3;
3½; 4; 4½; 5; 5½; 6at absolut; pm =; a; Pm =; b; ξ =; c; η =; d; η/η2 =; e; 1 - s/S =; f; T/T0 =; g; t =; h
Zeile a und b dieser Tabelle zeigen,
daß die mittlere effective Compressionsspannung bei stattfindender Erwärmung immer
größer ist als bei Constanterhaltung der Temperatur, und Zeile c, daß dies in um so höherm
Maße der Fall ist, je höher die gewählte Spannung; außerdem machen dieselben Zahlen,
wie erwähnt, die Herabsetzung des mechanischen Wirkungsgrades einer
Compressionsanlage ersichtlich, wie sie durch die Temperaturerhöhung bei der
Compression hervorgerufen wird, und es beträgt der Mehraufwand an Arbeit z. B. bei
4at absolut schon
23 Proc. Es erklärt sich dies dadurch, daß die gewünschte Luftspannung bei
Temperaturerhöhung schon früher erreicht wird als ohne solcher, so daß der
Compressorkolben im ersten Falle einen größern Theil des Hubes unter dem
Maximalgegendruck zurücklegt als im zweiten (Zeile f); so betragen diese Kolbenwege bei 4at absolut 37,4
bezieh. blos 25 Proc. Daraus folgt aber keineswegs eine erhöhte Luftlieferung; denn
das angesaugte und somit gedrückte Luftgewicht bleibt bei gleicher Anfangstemperatur
dasselbe und sein Volum, bei gleicher Temperatur am Ende der Luftleitung, ebenfalls
dasselbe.
Zeile d gibt den
Wirkungsgrad der Compressionsanlagen ohne Wärmeentziehung bei der Compression an; er
ist stets wesentlich niedriger als dort, wo die Temperatur constant erhalten wird,
und um so geringer, je höher die gewählte Spannung. Schon bei 3at absoluter
Luftspannung geht nahe die Hälfte der Effectivleistung der Betriebsmaschine
verloren, bei 6at fast
⅔, bei 2at
etwas über ⅓.
Zeile e zeigt uns das
Verhältniß, in welchem die Wirkungsgrade von Compressionsanlagen bei verschiedenen
Spannungen der Luft zum Wirkungsgrade einer Anlage mit 2at stehen (beide ohne Wärmeabfuhr), und wir sehen, daß wir
fast 33 bezieh. 46 Proc. an Betriebskraft ersparen, wenn wir statt 4 bezieh. 6at Luftspannung blos
2at anwenden.
Zeile h, enthält jene
Temperaturen, welche die Luft bei der Compression annehmen müßte, wenn ihre
Anfangstemperatur t0 =
0, die Cylinderwandungen wärmedicht wären und auch sonst keine Abkühlung einträte;
weil aber die Lufttemperaturen bei Compressionsbeginn bedeutend über 0°
liegen, so würden die berechneten noch weit höher sein. Es ist nun nicht zu läugnen,
daß so hohe Temperaturen schon darum nicht erreicht werden, weil die Cylinderwände
eben die Wärme leiten; man will sie auch in der Praxis bei halbwegs geordnetem
Betriebe zum Vortheile der Dauerhaftigkeit der Maschine nicht erreichen und kühlt
darum Cylinder, häufig auch Kolben, mittels jenen um-, diesen
durchströmendem, oft auch noch die Luft (beim Ansaugen oder bei der Compression)
mittels einspritzenden Wassers und erreicht dadurch zugleich einen bessern
Wirkungsgrad der Anlage. Es wird aber dennoch die comprimirte Luft erheblich wärmer
sein als die Außenluft; bei mangelhafter oder fehlender Kühlung wird ihre Temperatur
sogar die Ziffern der Zeile h erreichen können — um so mehr, als die Vorgänge im
Compressor selbst auf eine Erwärmung der angesaugten Luft hinwirken, deren
Temperatur ja die der comprimirten wesentlich beeinflußt. Diese Erwärmung ist
erklärlich, wenn man erwägt, daß die Luft in denselben Raum angesaugt wird, welchen
die erwärmte, comprimirte Luft eben verlassen hat; Cylinderwandungen und Kolben,
sowie die metallenen Saugventile werden sich bei der Compression erwärmt haben, im
schädlichen Raume wird comprimirte Luft von höherer Temperatur zurückgeblieben sein
und die neu zutretende wird sich unter all diesen Einflüssen sofort erwärmen,
wodurch auch die Compressionstemperatur eine Erhöhung erfährt. Es darf daher
keineswegs überraschen, wenn Fälle in der Praxis vorkommen, wo die auf 4 bis 4at,5 absolut
comprimirte Luft Temperaturen bis 130°, das Druckventilgehäuse außen
70° Wärme zeigt. Es wird eben in dieser Richtung aus verschiedenen Ursachen
häufig gefehlt, so daß die Annahme x = 1,41 in manchen
Fällen der Praxis sehr nahe erreicht wird, und es auch gerechtfertigt erscheint, auf
die kolossalen Nachtheile solcher Mängel rechnungsmäßig hinzuweisen.
Die unmittelbare Folge der Temperaturerhöhung ist also eine Herabsetzung des mechanischen Wirkungsgrades der Compressionsanlage, die
um so empfindlicher wird, je höher die gewählte Spannung war. Es hat aber die
Erwärmung der angesaugten Luft noch einen weitern Uebelstand im Gefolge, der einer
Herabsetzung des aerodynamischen Effectes gleichkommt.
Würde nämlich die Temperatur der Luft bei Compressionsbeginn (Tc = 273 + tc), wie wir bisher annahmen, wirklich
gleich sein der Temperatur der angesaugten Luft vor den Saugventilen (Ta = 273 + ta), so wäre der
Compressor mit Luft von gleicher Dichte, wie sie die äußere besitzt, somit von
Maximaldichte gefüllt, und diese würde, comprimirt und auf ihrem Wege abgekühlt, in
der Luftleitung ein gewisses (Maximal-) Volum V
einnehmen, das nur von ihrer Spannung und Temperatur (nahe gleich der Lufttemperatur
um die Leitung herum) abhängt. Hat aber die Luft bei Compressionsbeginn eine höhere
Temperatur, somit geringere Dichte, so wird der Compressor ein geringeres
Luftgewicht enthalten, welches auf denselben Zustand in der Luftleitung wie vordem
reducirt, dort ein geringeres Volum V1 einnimmt, und es wird sein V1/V = Ta/Tc; weil nun für den
Betrieb der Arbeitsmaschine blos Volum und Spannung maßgebend sind, die Dichte der
Luft aber gleichgiltig ist, so bedingt jene Erwärmung der Luft beim Ansaugen durch
den Compressor eine Verminderung des zum Betriebe der Arbeitsmaschinen bestimmten
und benöthigten Luftvolums im Verhältniß der absoluten Temperaturen der Luft bei
Compressionsbeginn und jener des Raumes, aus welchem der Compressor ansaugt, setzt
somit den Wirkungsgrad der Anlage im selben Verhältniß herab.
Setzen wir letztere Temperatur als constant voraus, so wird jene Effectsherabsetzung
an sich nur abhängig sein von der erstern, und da diese durch eine gesteigerte
Kühlung auf ein von der Spannung unabhängiges Maß herabgesetzt werden kann, so ist
obige Herabsetzung des aerodynamischen Effectes im Allgemeinen von der Spannung
unabhängig und als eine Function der Kühlung anzusehen. Wenn wir nun annehmen, es
sei die Temperatur der angesaugten Luft vor ihrem Eintritt in den Compressor ta = 20° (Ta = 293) und die
Temperatur, die sie während des Ansaugens bis zum Schließen der Saugventile
angenommen hat, also unmittelbar bei Compressionsbeginn, und nur von der
eingeleiteten Kühlung abhängig:
tc
=
20
30
40
50
60
70
80
90
100°,
so wird
Ta/Tc = V1/V
=
1,0000,
0,9670,
0,9361
0,9071,
0,8800,
0,8542,
0,8300,
0,8071,
0,7855.
Nimmt man jedoch bei verschiedenen Compressionsgraden eine
gleiche mittlere Kühlung an, so wird die Temperatur der angesaugten Luft bei
Compressionsbeginn allerdings mit eine Function der Spannung werden, somit auch der
aerodynamische Effect des Compressors, und man wird sagen dürfen, daß dieser mit
steigender Spannung sinken werde, weil sich — jene gleichförmige Kühlung vorausgesetzt
— bei höherer Spannung wohl auch eine höhere Temperatur der angesaugten Luft
einstellen wird.
Welch eine ungünstige Wirkung eine mangelhaft angelegte oder nachlässig gehandhabte
Kühlung des Compressors, bezieh. der Luft sowohl beim Ansaugen, wie bei der
Compression ausübt, ist nach allem Vorangegangenen unzweifelhaft: das erste setzt
den aerodynamischen Effect des Compressors herab, das zweite den mechanischen
Effect, und zwar geschieht dies in um so höherm Maße, je höher die gewählte
Luftspannung ist.
Vorstehende Untersuchung führt aber noch zu einem weitern Resultat. Wir nahmen
nämlich an, daß sich die comprimirte Luft auf ihrem Wege zur Arbeitsmaschine auf die
Temperatur der die Luftleitung umgebenden Luft abkühle; dabei hat sie eine gewisse
Dichte, welche um so höher ist, je niedriger bei gleicher Spannung ihre Temperatur,
so daß das zur Verfügung stehende Luftvolum um so geringer ist, je niedriger die
Lufttemperatur, bezieh. je niedriger die Temperatur der die Rohrleitung umgebenden
Luft. Für die Arbeitsmaschinen ist aber blos Spannung und Volum der zugeführten
Arbeitsluft von Wesenheit, ihre Dichte ganz gleichgiltig; es muß also jede
Verdünnung derselben bei Constanthaltung der Spannung, somit also Volumsvermehrung,
direct als Gewinn erscheinen — als eine Arbeitsansammlung, die mit Rücksicht
auf ihre leichte Erreichbarkeit geradezu geschenkt ist. Man braucht eben blos die
comprimirte Luft auf ihrem Wege zu den Arbeitsmaschinen ausgiebig zu erwärmen,
wodurch man eine Volumsvermehrung derselben im Verhältniß der absoluten Temperaturen
nach und vor der Erwärmung gewinnt, somit eine Erhöhung des Wirkungsgrades der
Compressionsanlage. Er beträgt unter Voraussetzung einer Anfangstemperatur von
20° bei einer Erwärmung auf:
20
30
40
50
60
70
80
90
100°
das
1,0000
1,0341
1,0682
1,1024
1,1365
1,1706
1,2047
1,2398
1,2730
fache.
Daß eine solche Temperaturerhöhung der Arbeitsluft statthaft
sei, ist darin begründet, daß sie ja in der Arbeitsmaschine jedenfalls von ihrer
mitgebrachten Spannung aus bis auf atmosphärische Spannung expandirt, sei es wirksam
im Cylinder bei Expansionsmaschinen, sei es nutzlos aus dem Cylinder zur Mündung des
Auspussrohres bei Volldruckmaschinen; dabei kühlt sie sich — im Gegensatze
zur Compression — so wesentlich ab, daß mitgerissenes Wasser sofort gefriert,
wie ja auch bei bei den Versuchen Weisbach's über den
Ausfluß atmosphärischer Luft das auf das Ausströmungsrohr gebrachte Wasser zu Eis
erstarrte. Treibt man also die Erwärmung der comprimirten Luft vor ihrem Eintritt in
die
Arbeitsmaschinen so weit, daß die aus letzterer ausgestoßene Luft keine erheblich
höhere Temperatur hat als die ihres Aufstellungsortes, so ist damit die Grenze für
die Erwärmung gezogen. Erwägt man weiter, daß die Abkühlung bei der Expansion im
selben Verhältniß erfolgt wie die Erhitzung bei der Compression, so erscheint es als
praktisch möglich und durchführbar, die Arbeitsluft um etwa 60 bis 80° zu
erwärmen; gegenüber der Außentemperatur von etwa 20° ergibt dies eine
Volumsvermehrung um 20 bis 27 Proc. oder eine Luftersparniß von 17 bis 21 Proc.
Die Erwärmung der comprimirten Luft selbst ließe sich auf mannigfache Weise
durchführen; es sei nur darauf hingewiesen, daß man sie in der angegebenen Höhe
sowohl durch abziehenden Abstoßdampf, als auch dadurch bewerkstelligen könnte, daß
man die Luft durch ein in den zum Schornstein führenden Canälen der Kesselanlage
liegendes Rohrsystem führte. Die hier erwärmte Luft wäre dann mittels einer mit
schlechten Wärmeleitern wohl umhüllten Leitung den Arbeitsmaschinen zuzuführen;
— die Schwierigkeiten wären dabei keine größern als bei Dampfleitungen, die
etwa zu unterirdisch aufgestellten Dampfmaschinen führen. Wie sich nun weiter eine
ausgiebige Kühlung des Compressors empfiehlt, in demselben Maße wird bei der
Unthunlichkeit, den Arbeitscylindern direct Wärme zuzuführen, sich eine recht
vollkommene Umhüllung derselben mit schlechten Wärmeleitern empfehlen, um wenigstens
Wärmeabgabe durch dieselben zu verhindern.
Werfen wir noch einen Blick auf die Wirkungsweise der comprimirten Luft in den
Arbeitsmaschinen. Bei Volldruckmaschinen ist nichts weiter zu erwähnen, als daß
deren Leistungen nur abhängig sind von der Spannung und unabhängig von der
Temperatur und Dichte der comprimirten Luft; sie verbrauchen ein um so geringeres
Luftgewicht, je geringer deren Dichte. — Wie verhält es sich nun bei
Expansionsarbeitsmaschinen? Jhre Analogie mit den Compressoren gestattet uns den
Schluß, daß ihre Leistung bezieh. ihr Luftverbrauch nur dann mit dem
Arbeitsverbrauch und der Luftlieferung des Compressors übereinstimmen, wenn,
abgesehen von Verlusten, in erstern die Vorgänge sich umgekehrt gestalten wie in
letztern, d. h. wenn in beiden Füllungs- und Compressionsgrad, Spannung und
Temperaturen gleich sind; eine analytische Untersuchung wird uns für die
Arbeitsmaschinen dieselben Gleichungen (17) bis (19) ergeben, wie wir sie für die
Compression gefunden haben. Die Gleichung (18): Textabbildung Bd. 224, S. 360, worin jetzt die linke Seite den Expansionsgrad angibt, lehrt uns, daß wir
für eine gewählte
Spannung einen ganz bestimmten Füllungsgrad anwenden müssen, um auf die Endspannung
p0 = 1 zu kommen,
was ja im Interesse der Leistungsfähigkeit geschehen soll. Es ist dann p0/p und damit nach Gleichung (13): Textabbildung Bd. 224, S. 361 vollkommen gegeben, also auch der Füllungsgrad; er ist daher vollkommen
unabhängig von den Anfangstemperaturen der comprimirten Luft bei Expansionsbeginn an
sich; daraus folgt, daß für jede derselben das gleiche Füllungsverhältniß, also
dasselbe Volum comprimirter Luft nothwendig ist, um die gleiche Leistung der
Arbeitsmaschine zu erlangen. Dieses Luftvolum hat aber immer ein größeres Gewicht
als das gleiche im Compressor, weil die Anfangstemperatur im Arbeitscylinder immer
— ausgenommen die Arbeitsluft werde erwärmt — wesentlich niedriger,
ihre Dichte also höher sein wird als die entsprechenden Größen im Compressor; und
wenn wir voraussetzen, daß die Anfangstemperatur der expandirenden Luft gleich sei
der Temperatur der vom Compressor angesaugten Luft, so folgt aus Vorstehendem, daß
die Expansionsarbeitsmaschine in demselben Maße mehr Luft verbraucht, als der
Compressor in Folge der Temperaturerhöhung mehr Arbeit consumirt. Es wird auch hier
darauf ankommen, möglichst warme Luft, somit ein geringeres Luftgewicht der
Arbeitsmaschine zuzuführen. Weil es aber praktisch unausführbar ist, die ihr
zuströmende Luft auf die Temperatur zu bringen, welche sie bei der Compression
annimmt, so ist damit eine Herabsetzung des Wirkungsgrades der ganzen Anlage
verbunden und zwar um so mehr, je höher die gewählte Luftspannung war.
Ehe wir an die Erledigung der Frage nach den Luftverlusten gehen, sei noch des
Einflusses der Spannung der comprimirten Luft auf die Weite der Luftleitung gedacht;
es ergibt sich, daß geringere Luftspannungen weitere Rohrleitungen erfordern
— immer vorausgesetzt, daß die Arbeitsmaschinen stets eine constante
Arbeitsleistung liefern; es ist dann eben im selben Zeitraum ein größeres Luftvolum
zu befördern. Die Anlagskosten der Luftleitung werden sich also für niedere
Luftspannungen höher stellen.
Die Luftverluste nun entstehen im Compressor selbst, in der Luftleitung und den
Cylindern der Arbeitsmaschinen sowie deren Steuerungsschiebern; sie sind bei allen
drei Gliedern das Resultat von Undichtheiten, beim ersten und letzten aber außerdem
durch Construction und Wirkungsweise der Maschinen begründet. In erster Hinsicht ist
es unzweifelhaft, daß die Luftverluste mit steigender Spannung wachsen, mit steigender Temperatur
aber unter übrigens gleichen Umständen sinken, wenn man den Luftverlust auf den
Zustand der angesaugten Luft reducirt, wie dies die von Weisbach aufgestellten Formeln für den Ausfluß der Luft darthun. Ebenso
werden die Luftverluste wachsen mit steigendem Durchmesser der Compressions-
und Arbeitscylinder und jenem der Luftleitung; in Procenten der angesaugten
Luftvolume ausgedrückt, die Luftverluste jedoch immer kleiner für niedere Spannungen
als für hohe; denn in den Cylindern sind erstere, und in den Leitungen die
beförderten Luftvolume den Quadraten, die letztern einfach den Durchmessern
proportional, abgesehen davon, daß niedere Spannungen an sich bei sonst gleichen
Umständen geringere Luftverluste bedingen, während außerdem unter gleichen
Verhältnissen (gleichem Durchmesser, gleicher Luftgeschwindigkeit und gleicher
Temperatur) in der Luftleitung für niedere Spannung kleinere Druckverluste entstehen
als für höhere. Es ist bezüglich der Rohrleitung — besonders im Bergbau
— der Umstand nicht zu übersehen, daß Dichtungen bei höherer Spannung
schwerer dicht halten als bei geringerer und es immer eine mißliche Sache bei der
Luft ist, unter schwierigen und ungünstigen localen Verhältnissen blasende Flanschen
und sonstige Undichtheiten zu entdecken.
Die durch Construction und Wirkungsweise des Compressors und der Arbeitsmaschinen
bedingten Luftverluste ergeben sich einerseits aus der Unvermeidlichkeit schädlicher
Räume, anderseits aus der stattfindenden Erwärmung der angesaugten Luft vor Schluß
der Saugventile; diese letztere ungemein schädliche Einwirkung wurde bereits ins
Auge gefaßt und ist abhängig in erster Linie von der Handhabung der Kühlung und bei
constanter Kühlung von der Spannung; je höher letztere und damit die Temperaturen an
sich, je schlechter erstere, desto größer die stattfindenden Verluste. Auch die
Einwirkung der schädlichen Räume ist um so nachtheiliger, je größer die gewählte
Luftspannung, indem dadurch das effectiv angesaugte Luftquantum verringert wird. So
muß der Kolben eines Compressors mit 5 Proc. des Kolbenlaufes schädlichem Raume und
einer Luftspannung von 4at absolut 20 Proc. des Hubes zurücklegen, um unter den Saugventilen
atmosphärische Spannung hervorzubringen, während dies bei 2at absolut bereits bei 10 Proc. des
Hubes eintritt. In dieser Beziehung sind die sogen. nassen Compressoren gegen die
trockenen in einem gewissen Vortheil, da bei ihnen der schädliche Raum gleich Null
gemacht werden kann und soll; dagegen absorbirt bei ihnen das Wasser während der
Compression atmosphärische Luft, welche beim Ansaugen frei wird und in ähnlicher
Weise das effectiv angesaugte Luftvolum beeinflußt, wie das Vorhandensein
schädlicher Räume.
Das Gesagte gilt von den Compressoren; ähnliches läßt sich von den Arbeitsmaschinen
sagen. Hier übernimmt die stattfindende Abkühlung die Rolle, welche beim Compressor
die Erwärmung spielt, indem die zutretende Luft, abgekühlt, ein geringeres Volum
einnimmt, somit neuer Ersatz aus der Leitung kommen muß. Die schädlichen Räume
werden hier mit Betriebsluft gefüllt, welche dann nutzlos auspufft; man kann hier
jedoch zur Vermeidung dieses Verlustes Compression vor dem Kolben durch
entsprechende Schieberüberdeckungen einführen. Unzweifelhaft ist es jedoch, daß auch
hier hohe Spannungen nachtheiliger wirken als niedere, einerseits durch stärkere
Abkühlung, anderseits durch vermehrtes Luftgewicht im schädlichen Raume.
Um noch des Einflusses der Kolbengeschwindigkeit zu gedenken, welchen diese auf den
aerodynamischen Effect des Compressors und der Arbeitsmaschinen ausübt, daher auch
auf die Luftverluste, so ist nicht zu verkennen, daß sich die aus
Kolbenundichtheiten sich ergebenden Verluste mit wachsender Geschwindigkeit
verringern; es wird aber eine gewisse Grenze geben, über die hinauszugehen besonders
bei den Compressoren von Nachtheil wäre; denn mit wachsender Kolbengeschwindigkeit
wird die Depression unter den Saugventilen größer, um sie zur Eröffnung zu bringen,
somit das angesaugte Luftgewicht kleiner; es wird ferner ein länger dauerndes
Rückströmen der comprimirten Luft durch die sich schließenden Druckventile
eintreten, und die Erwärmung durch Kolbenreibung wird dann sehr lästig. Dazu kommt
noch, daß sich beim Compressor die Geschwindigkeit der durch Kolbenundichtheiten
austretenden Luft zur Kolbengeschwindigkeit summirt.
Faßt man nun die Resultate vorstehender Untersuchungen zusammen, so ergeben sich
einerseits die Bedingungen für den günstigen Betrieb einer bestehenden
Compressionsanlage, anderseits gewinnen wir Anhaltspunkte für die Oekonomie der
Anlage und des Betriebes bei einer zu errichtenden derartigen Anlage, sowie
Anhaltspunkte für die Wahl der Luftspannung. Mag nun die gewählte Spannung eine hohe
oder niedere sein, mögen die Arbeitsmaschinen mit oder ohne Expansion arbeiten, für
den günstigsten Betrieb ergeben sich immer folgende Bedingungen: Dem Compressor muß
möglichst kalte Luft zugeführt werden, damit ein Maximum an Luftgewicht angesaugt
werde. Die angesaugte Luft muß ebenso wie dann bei der Compression ausgiebig gekühlt
werden, somit auch der Compressionscylinder und, wenn thunlich, der Kolben; man
erreicht durch diese Maßregeln einen höhern mechanischen und aerodynamischen Effect,
nicht minder eine größere Dauerhaftigkeit der Maschinen. Der Arbeitsmaschine ist
möglichst warme Luft zuzuführen und deren Cylinder sind zur Vermeidung der Wärmeabgabe mit
schlechten Wärmeleitern zu umhüllen, eine wesentliche Luftersparniß ist die Folge
solcher Vorkehrungen; ebenso ist eine gleiche Umhüllung der Rohrleitung
empfehlenswerth und nothwendig, wenn die comprimirte Luft erwärmt worden ist.
Der Vergleich von Compressionsanlagen mit hoher und niederer Spannung ergab
folgendes: In betriebsökonomischer Beziehung stehen letztere bedeutend über
ersteren; sie zeigen einen höhern mechanischen und aerodynamischen Wirkungsgrad,
geringern Dampfverbrauch, geringere Luftverluste, geringere Abnutzung, größere
Dauerhaftigkeit als solche mit hohen Luftspannungen. In Beziehung auf die Oekonomie
der Anlage ist bei Anlagen, wo die Arbeitsmaschinen mit voller Füllung arbeiten,
hervorzuheben, daß die Arbeitsmaschinen durch die nothwendige Vergrößerung der
Cylinderdurchmesser bei geringen Spannungen etwas schwerer ausfallen als bei hohen,
daß sich diese Gewichtsvermehrung aber grade nur auf Cylinder und Kolben bezieht,
während alle andern Bestandtheile dasselbe Gewicht behalten. Zugleich ergeben sich
für die Compressionsmaschinen bei niederer Spannung etwas größere Compressoren,
dagegen kleinere Dampfcylinder, wegen wesentlich geringerer Maximaldrücke und
größerer Gleichförmigkeit in den Widerständen der Bewegung, leichtere Maschinen als
bei hohen Luftspannungen, dagegen schwerere Luftleitungen. Bei Anwendung von
Expansion in den Arbeitsmaschinen, und zwar desselben Expansionsgrades, als der
Compressionsgrad im Compressor beträgt, erhält man bei höchster Betriebsökonomie für
alle Luftspannungen (bei höhern Spannungen aber immer größere Luftverluste) schwere
Arbeitsmaschinen im Allgemeinen. Sie werden jedoch für niedere Spannungen leichter
sein als für höhere; für erstere erhält man ebenfalls größere Compressoren, und aus
denselben Gründen wie oben leichtere Schwungräder und Maschinen. Immer werden
Anlagen mit Expansionsarbeitsmaschinen möglichst kleinste Dampfmaschinen erhalten
können, und die Luftleitungen können enger sein als in allen andern Fällen.
Unverkennbar ist, daß für die niedern Luftspannungen in allen Fällen die größere
Betriebsökonomie spricht; in den Anlagskosten fallen blos die geringern Kosten der
Luftleitungen für höhere Spannungen ins Gewicht.
Außerdem wurde auf die Nützlichkeit und Möglichkeit der Erwärmung der comprimirten
Luft auf ihrem Wege zu den Arbeitsmaschinen hingewiesen; da aber Luft als
Betriebsmittel recht theuer ist und nichts unversucht bleiben sollte, deren Kosten
herabzumindern, so gibt vorstehende Untersuchung in dieser Richtung vielleicht eine
willkommene Anregung zu eingehenden Versuchen.