| Titel: | Theorie des Amsler'schen Planimeters; von Prof. Gustav Schmidt in Prag. |
| Autor: | Gustav Schmidt |
| Fundstelle: | Band 222, Jahrgang 1876, S. 584 |
| Download: | XML |
Theorie des Amsler'schen Planimeters; von Prof.
Gustav Schmidt in Prag.
Mit einer Abbildung.
Schmidt, Theorie des Amsler'schen Planimeters.
Im vorigen Bande S. 87 befindet sich eine Theorie des Amsler'schen Planimeters von
Professor Gustav Schmidt, welche nur für das
gleichschenklige Instrument paßt. Der Verfasser hat dieselbe mit ganz geringem
Mehraufwande von Calcul auf das ungleichschenklige Instrument ausgedehnt, und
entnehmen wir diese verallgemeinerte Theorie den Sitzungsberichten der kgl.
böhmischen Gesellschaft der Wissenschaften in Prag, 1875 S. 158 ff.
Sei in beigegebener Figur O der Fixpunkt des
Instrumentes,
XOY ein rechtwinkliges Coordinatensystem und
Mm = ein Element des Flächenumfanges,
OM = ρ der
Fahrstrahl, gegen OX geneigt um φ,
OA = R die
unveränderliche SchenkellängeSchenkelkänge,
AM = a die
verstellbare Schenkellänge,
AB = E die
unveränderliche Distanz der Rolle vom Radius r,
dann sind die Coordinaten des Punktes B:
x = R cos
β + E cos γ
y = R sin
β – E sin γ.
Textabbildung Bd. 222, S. 584
Wenn die Instrumentenspitze M nach m rückt, so bewege sich B nach b um ds, gegen OX geneigt um ψ. Dann
ist dx = d s cos ψ,
dy = d s sin ψ, und es wird die
Componente Bb' = d s cos
(ψ + γ)
schleifend, dagegen die Componente b'b = d s sin (ψ + γ) rollend zurück gelegt.
Ist dω der elementare Drehungswinkel, so
folgt:
rdω = ds (sin ψ cos γ + cos ψ sin γ) = dy
cos γ + dx sin γ.
Bestimmt man daher aus den obigen Gleichungen dx und dy, nämlich:
dx = – R sin β dβ – E sin γ
dγ
dy = R cos β dβ – E cos γ dγ,
multiplicirt diese mit sin γ,
cos γ, und addirt, so folgt:
rdω = R
cos (β + γ) dβ – Edγ = R cos α
dβ – Edγ.
Nun ist aus der Figur:
γ = α – β, β = φ – λ
also γ = α
– φ + λ, daher auch
a rdω = aR cos α d (φ – λ) – aEd (α + λ –
φ),
worin wegen ρ² = a² + R²
– 2 aR cos α der Factor aR cos α durch 1/2 (a² + R² – ρ²) ersetzt werden kann, also folgt:
a rdω = 1/2 (a² + R²) d (φ – λ) – 1/2 ρ²d (φ – λ) – aEd (α + λφ),
worin 1/2 ρ² dφ = df das von zwei
nächsten Fahrstrahlen eingeschlossene Flächenelement bedeutet.
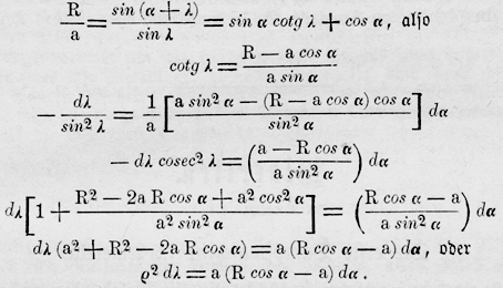
In dieser Differenzialgleichung läßt sich noch das Glied 1/2 ρ² dλ durch dx ausdrücken, denn es ist:
Textabbildung Bd. 222, S. 585
Folglich ist:
ar dω = 1/2 (a² + R²) (dφ – dλ) – df + a/2 (R cos α – a) dα – aE (dα + dλ – dφ).
Integrirt zwischen Grenzen 1 und 2, folgt:
ar (ω₂ – ω₁) =
1/2 (a² + R²)
(φ₂ – φ₁ – λ₂ +
λ₁) – F + aR/2 (sin
α₂ – sin α₁)
– a²/2 (α₂ – α₁)
– aE (α₂ – α₁)
– aE (λ₂ – λ₁) + aE (φ₂
– φ₁).
Wird der Umfang einmal ganz umfahren, so ist F die gesuchte Fläche. Liegt dabei Punkt O außerhalb der Fläche, so ist:
φ₂ = φ₁, α₂ = α₁, λ₂ = λ₁, also
ar (ω₂ – ω₁) =
– F
Liegt aber Punkt 0 innerhalb der zu bestimmenden Fläche, so
ist:
φ₂ = φ₁ + 2π,
α₂ = α₁, λ₂ = λ₁, also
ar (ω₂ – ω₁) =
1/2 (a² + R²)
2π – F +
aE . 2π.
Wird dω nicht bei der Bewegung des Punktes M nach rechts, sondern bei dessen Bewegung nach links
positiv genommen, daher ω₂ – ω₁ = – ω gesetzt, so folgt beziehungsweise:
arω = F
arω = F – π (a² + R² + 2aE).
In der bekannten Stampfer'schen Theorie dieses
Instrumentes ist R = c und
E = b – a gesetzt, also folgt mit Stampfer's Bezeichnung:
arω = F – π (a² + c² + 2ab –
2a²)
arω = F – π (c² + 2ab – a²),
übereinstimmend mit dessen Resultat.
Wird die Anzahl Umdrehungen der Rolle = n, also ω = 2πn
gesetzt, so folgt:
2π n a r = F – π (a² + R² + 2aE),
und bezeichnet A den Halbmesser
eines Kreises vom Inhalt
K = π
A² = π (a² + R² + 2aE), so daß
A = √(a² + R² + 2aE) ist, so folgt
2π n a r = F – K oder
F = K +
2π n a r.
Für den speciellen Fall, daß a = R und E nicht positiv sondern negativ ist,
erhält man die Gleichungen:
A = √(2R (R – E))F = K + 2π n
Rr
welche sich in der neulich schon erwähnten Broschüre von G. A.
Hirn: „Théorie analytique du planimètre Amsler“ S.
17 vorfinden.