| Titel: | Ueber die Bewegung einer Glocke; von W. Veltmann, Realschullehrer in Düren. |
| Autor: | W. Veltmann |
| Fundstelle: | Band 220, Jahrgang 1876, Nr. , S. 481 |
| Download: | XML |
Ueber die Bewegung einer
Glocke; von W.
Veltmann, Realschullehrer in Düren.
Mit einer
Abbildung.
Veltmann, über die Bewegung einer
Glocke.
Als mit der neuen Glocke des Cölner Doms, Kaiserglocke genannt,
der erste Läuteversuch nach ihrer Ankunft in Cöln vorgenommen
wurde, zeigte sich die eigenthümliche Erscheinung, daß der
Klöppel relativ zur Glocke sich gar nicht bewegte, sondern stets
in der Mittellinie derselben verharrte. Sobald ich, etwa drei
Wochen nach jenem Versuche, von diesem Verhalten der Glocke
genauere Kenntniß erhielt, versuchte ich die Umstände, welche
dasselbe bedingen, theoretisch zu ermitteln. Mit den
Bewegungsgleichungen eines Systems, wie eine Glocke mit ihrem
Klöppel, ist nun zwar, da schon die Theorie des einfachen
Pendels auf ungefügige Integralausdrücke führt, nicht viel
anzufangen; indeß fand ich doch, daß die Beantwortung der
speciellen Frage, unter welchen Bedingungen obige Erscheinung
eintrete, so einfach wie möglich ist. Daß die gewonnenen
Resultate, die ich gleich an den geeigneten Stellen zur
Mittheilung brachte, nicht sofort in zweckentsprechender Weise
Berücksichtigung fanden, kann nicht befremden; eine rein
theoretische Behandlung einer solchen Sache stößt naturgemäß auf
einiges Mißtrauen.
Ich habe seitdem den weitern Verlauf der Angelegenheit, die
vielen vergeblichen Versuche, welche mit Abänderungen der
Aufhängungsweise von Glocke und Klöppel gemacht worden sind, die
Urtheile, welche darüber von Glockengießern und andern
Technikern in der Presse laut wurden u. s. w., aufmerksam
verfolgt und bin nicht wenig erstaunt gewesen, als ich mehr und
mehr die Wahrnehmung machte, daß hier ein ganz bedeutender und
interessanter Zweig der Technik vorliegt, der nach einer
wesentlichen Seite hin nicht blos der theoretischen Grundlage,
sondern auch jeder bestimmten und sichern, Willkür und Zufall
ausschließenden praktischen Regel gänzlich entbehrt. Um so mehr
wird es gerechtfertigt sein, wenn ich hier, statt etwa blos die
praktischen Resultate mitzutheilen, eine vollständige
Darstellung meiner theils mathematischen, theils experimentellen
Untersuchungen über den Gegenstand veröffentliche.
Textabbildung Bd. 220, S. 482
In nebenstehender Figur sei P der
Drehpunkt, PT die Mittellinie,
S der Schwerpunkt der Glocke
einschließlich der mit derselben zu einer starren Masse
verbundenen Theile und T ein
Punkt, in welchem vereinigt diese Masse dasselbe
Trägheitsmoment in Bezug auf den Drehpunkt P haben würde wie in der
Wirklichkeit. Den Abstand PS
bezeichnen wir mit s, PT mit t, den Winkel der Mittellinie PT mit der Verticalen PQ oder die Elongation der Glocke
mit φ. Die Masse der Glocke nennen wir m und gemäß der Newton'schen
Bezeichnung der Fluxionen die Winkelgeschwindigkeit
φ, die Winkelbeschleunigung φ Für den Klöppel
bezeichnen wir die entsprechenden Punkte, Linien und Größen
mit denselben Buchstaben und unterscheiden sie durch den
Index 1.
Den Abstand PP1 der beiden Drehpunkte nennen wir
a, die Accelaration der Schwere g, die Zeit τ. Die Linie PQ und eine im Punkte P darauf Senkrechte nach rechts nehmen
wir als positive Coordinatenhalbachsen. Für Punkte der Glocke
und des Klöppels seien resp. die Abscissen x und x1, die Ordinaten y und y1.
Die lebendige Kraft des Systems in irgend einem Zeitpunkte ist
eine Function der Lage des Systems und der Geschwindigkeiten in
diesem Zeitpunkte, also eine Function von φ, φ1, φ, φ1. Wir bezeichnen sie mit L.
Betrachten wir statt der wirklichen Bewegung des Systems eine
andere, bei welcher φ allein sich ändert, φ1 constant bleibt, so sei A d φ die Arbeit, welche die
äußern Kräfte verrichten, während φ um d φ wächst. Ebenso sei A1 d φ1 die von denselben Kräften verrichtete Arbeit, während
φ1 um d φ1 wächst, φ constant bleibt. Die
Bewegungsgleichungen (nach Lagrange)
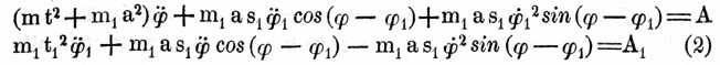
des vorliegenden Systems sind dann:
Textabbildung Bd. 220, S. 482
Die lebendige Kraft der Glocke ist ihr halbes Trägheitsmoment in
Bezug auf die Drehachse mal dem Quadrate der
Winkelgeschwindigkeit, also
= m t2/2 φ2
Diejenige des Klöppels besteht aus zwei
Theilen: Der eine ist sein halbes Trägheitsmoment in Bezug auf
eine zur Drehachse Parallele durch den Schwerpunkt mal dem
Quadrate der Winkelgeschwindigkeit, also
Textabbildung Bd. 220, S. 483
Der andere ist die lebendige Kraft, welche
die Masse des Klöppels haben würde, wenn sie im Schwerpunkte
desselben vereinigt wäre. Die Coordinaten x1 und y1 des
Schwerpunktes sind nun:
x1 = a
sin φ + s1 sin φ1
y1 = a
cos φ + s1 cos φ1.
Die Componenten der linearen Geschwindigkeit dieses Punktes sind daher
Textabbildung Bd. 220, S. 483
mithin das Quadrat der Geschwindigkeit
Textabbildung Bd. 220, S. 483
und der entsprechende Theil der lebendigen
Kraft
Textabbildung Bd. 220, S. 483
Die gesammte lebendige Kraft ist demnach
Textabbildung Bd. 220, S. 483
mithin
Textabbildung Bd. 220, S. 483
Die Gleichungen (1) werden also jetzt, wenn man vorstehende
Werthe einsetzt:
Textabbildung Bd. 220, S. 483
oder, wenn man die beiden
Differentiationen nach τ noch ausführt:
Textabbildung Bd. 220, S. 484
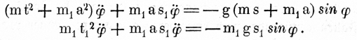
Betrachten wir nun die Bewegung des Systems im
Beharrungszustande; nehmen wir also an, daß die an demselben
thätigen Zugkräfte nur zur Ueberwindung der Reibung dienen. Wir
können dieselben dann, sowie letztere, außer Acht lassen. Wenn
wir außerdem die Reibung am Drehpunkte des Klöppels
vernachlässigen, so ist die Schwerkraft die allein wirkende
äußere Kraft.
Die Ordinate des Schwerpunktes der Glocke ist
y = s cos
φ (3)
die des Schwerpunktes des Klöppels
y1 = a cos φ + s1 cos
φ1 (4)
Wächst also φ um d φ, so legt der erstere in der
Richtung der Kraft einen Weg
dy/dφ dφ = - sin
φ d φ (nach
3),
der letztere einen solchen
dy1/dφ dφ = - a sin φ d φ (nach 4)
zurück. Die Kräfte sind m g und m1g, also die Arbeit
A d φ = -
g (ms + m1 a) sin φ d φ.
Nimmt φ 1 und d φ1 zu, während φ constant bleibt, so bewegt sich der
Schwerpunkt des Klöppels (die Glocke ruht) in der Richtung der
Kraft um die Größe
dy1/dφ1 dφ1 = - s1 sin φ1 d φ1 (nach
4)
und die verrichtete Arbeit ist
A1 d
φ1 = m1 g s1 sin φ1 d φ1.
Man hat also jetzt
A = - g (ms + m1 a) sin φ
A1 = - m1 g s1 sin φ1,
und die Gleichungen (2) werden
Textabbildung Bd. 220, S. 484
Wenn nun der Klöppel stets in der Mittellinie der Glocke bleiben
soll, so muß beständig φ = φ1 sein, und man hat also, um die
Bedingungen hierfür zu erhalten, in den Gleichungen
(5) überall φ statt φ1 zu setzen. Dieselben werden dann
Textabbildung Bd. 220, S. 485
Aus der ersten Gleichung folgt:
Textabbildung Bd. 220, S. 485
aus der zweiten
Textabbildung Bd. 220, S. 485
Diese beiden Gleichungen, deren jede eine
einfache Pendelbewegung darstellt, müssen übereinstimmen, d. h.
es müssen die Längen der entsprechenden mathematischen Pendel
gleich sein, also
Textabbildung Bd. 220, S. 485
Diese Gleichung ist die nothwendige und,
da für φ = φ1
unter Voraussetzung der Gleichungen (6) und (7) den Gleichungen
(2) stets genügt wird, auch hinreichende Bedingung dafür, daß
Glocke und Klöppel sich genau übereinstimmend bewegen.
Wenn man aus der Gleichung (8) a
entwickelt, so kann sie die Form
Textabbildung Bd. 220, S. 485
annehmen. Hier ist nun nach der
Pendeltheorie t2/s
die Länge eines mathematischen Pendels, welches mit der Glocke
allein gleiche Schwingungsdauer hat. Ebenso ist t12/S1 die Länge eines Pendels von
gleicher Schwingungsdauer mit dem für sich bei ruhender Glocke
schwingenden Klöppel. Nennt man erstere l, letztere 11, so kann man also vorige Gleichung
so schreiben:
Textabbildung Bd. 220, S. 485
In derselben kommen jetzt außer dem
Abstände der Drehpunkte und den Massen nur die beiden
Pendellängen und Schwerpunktsabstände vor, Größen von denen drei
sich durch Schwingungs- und Gleichgewichtsversuche leicht
bestimmen lassen; nur der Schwerpunktsabstand des Klöppels muß,
wenn man diesen nicht aus der Glocke herausnehmen will, durch
unmittelbare Berechnung gefunden werden.
Man kann jedoch der Gleichung eine für praktische Zwecke in den
meisten Fällen genügende, noch einfachere Form geben. Einer
praktischen Regel zufolge soll das Gewicht der Glocke ungefähr
das vierzigfache desjenigen des Klöppels betragen; der Bruch m1/m in Gleichung (9) wäre demnach ungefähr
= 1/40 zu setzen. Da nun zugleich l1 - s1/s ein ziemlich kleiner Bruch ist, so
kann man statt der Gleichung (9) annähernd folgende nehmen:
a = l - l1 (10)
Das fragliche Verhalten der Glocke findet also dann statt, wenn
annähernd der Abstand der Drehpunkte
gleich der um die Pendellänge des Klöppels verminderten
Pendellänge der Glocke ist.
Es tritt nun die für die Anwendung wichtige weitere Frage ein:
Nach welcher Richtung hin muß der Abstand a von dem Werthe in Gleichung (9) oder (10) abweichen,
damit der Klöppel tadellos fungire; muß er größer oder kleiner
sein oder darf beides stattfinden? Die Theorie würde diese Frage
nur schwierig beantworten können; dagegen läßt sich durch
Beobachtungen an Glocken und Versuche mit glockenähnlichen
Doppelpendeln dieselbe leicht entscheiden und volle Klarheit in
die Sache bringen. Die Theorie liefert nur den nöthigen Anhalts-
und Ausgangspunkt für die Beobachtung und das Experiment, so daß
man dabei nicht ins Blaue hinein zu operiren braucht.
An Versuchen mit Glocken gerade für den vorliegenden Zweck fehlt
es nicht gänzlich; denn die Kaiserglocke ist nicht etwa die
erste, bei welcher sich der derselben eigene Uebelstand gezeigt
hat. Auch hat man bei der Construction der Welle für diese
Glocke sehr wohl an die Möglichkeit einer solchen fatalen
Erscheinung gedacht und dieselbe zu verhüten gesucht. Die Regeln
aber (die Lage des Drehpunktes der Glocke betreffend), die man
hierbei angewendet hat, sind nicht die allgemein richtigen; sie
mochten wohl für die bei jenen Versuchen benützte Glocke (der
evangelischen Kirche in Wiesbaden) passen, aber deshalb noch
nicht für jede andere. Die Versuche hatten gar nicht allgemein
ergeben, auf was es hier hauptsächlich ankam, und konnten das
auch nicht, da ihnen hierzu die nöthige theoretische Grundlage
fehlte.
Ich habe die Größen in der Gleichung (10) außer der Kaiserglocke
auch für die übrigen größern Glocken des Cölner Doms, sowie für
diejenigen einiger andern Kirchen bestimmt. Ferner
ist auch bei mehreren der Abstand des Punktes, in welchem der
Klöppel an die Glocke schlägt, von dem Drehpunkte desselben
gemessen worden. Da ungefähr in gleicher Höhe mit dem
Anschlagpunkte der Mittelpunkt des
Stoßes im Klöppel liegt, so ergibt sich hierdurch die
gegenseitige Lage dieses Punktes und des Schwingungspunktes.
Damit der Stoß in der richtigen Weise, ohne Kippen des Klöppels
und Einbiegung in dem Gelenke desselben erfolge, sollten diese
beiden Punkte zusammenfallen. Die Beobachtung lehrt jedoch, daß
der Schwingungspunkt wohl ohne Ausnahme stets um eine
beträchtliche Größe über dem Anschlagepunkte liegt. Die blose
Schätzung nach dem sogen. praktischen Gefühle hat hier offenbar
irregeführt; man macht den untern Zapfen des Klöppels viel zu
klein, als daß er mit dem obern Theile beim Anschlagen im
momentanen Gleichgewichte sein könnte.
Die größte von den ältern Glocken des Doms hat früher dieselbe
üble Eigenschaft gehabt wie die Kaiserglocke, wenn auch nicht in
gleichem Grade; sie ist lange Zeit in der Weise benützt worden,
daß man blos den Klöppel in Bewegung setzte. Dem Fehler wurde
später dadurch abgeholfen, daß man, sei es durch eine dunkle
Ahnung von der wahren Ursache geleitet oder auch auf Grund ganz
falscher Anschauungen doch das Richtige treffend, den obern
Theil des Klöppels etwas leichter machte. Jedoch überträgt sich
auch jetzt die Bewegung der Glocke noch keineswegs in dem Grade
auf den Klöppel, wie sie sollte, und da der Schwingungspunkt
noch ungefähr 7cm über dem Anschlagepunkte liegt,
so könnte durch weiteres Tieferlegen desselben der Klöppel noch
in doppelter Hinsicht verbessert werden.
Um indeß die von mir an Glocken gemachten Beobachtungen richtig
beurtheilen zu können, wird es gut sein, vorher die Resultate
einiger Versuche mit einem Pendelapparate mitzutheilen, der vor
einer Glocke für diesen Zweck den Vorzug hat, daß an demselben
die die Bewegung bestimmenden Größen in mannigfaltiger Weise
verändert werden können. Der Apparat hat folgende Einrichtung:
Eine hölzerne Latte von 1m,5 Länge, an den Enden mit
Gewichten beschwert, stellt die Glocke vor, eine andere kleinere
den Klöppel. Drei Schraubklemmen sind so angebracht, daß der
Drehpunkt der Glocke an dieser und derjenige des Klöppels an
beiden verschoben werden kann, so daß also der Abstand der
Drehpunkte und die beiden Pendellängen innerhalb bestimmter
Grenzen beliebig verändert werden können.
In folgender Zusammenstellung der Resultate einer Versuchsreihe
ist unter der relativen Elongation der Winkel φ1, zu verstehen, welchen die Mittellinie
des Klöppels mit derjenigen der Glocke macht. Für jeden Abstand
ist das Maximum der Elongation angegeben und die Zahl der
Schwingungen, nach denen es erreicht wurde, für a = 33 jedoch auch die Elongation nach
einer geringern Anzahl Schwingungen.
Nummer des Versuches.
Abstand der Drehpunkte.
Zahl der Schwingungen.
Relative Elongation.
1
12cm
6
51°
2
13
6
49
3
15
6
48
4
20
7
42
5
25
7
30
6
30
7
5
7
31,5
0
8
32
8
1
9
32,5
10
14
10
33
20
16
11
33
48
92
12
34
20
113
13
35
18
116
14
37
14
122
15
39
12
123
16
40
10
130
17
50
8
134
Glocke und Klöppel wurden immer gemeinschaftlich um 45°
aus der Verticalen entfernt und dann sich selbst überlassen.
Zur Bestimmung desjenigen Abstandes der Drehpunkte, bei welchen
die relative Bewegung Null war, durfte nur die Gleichung (9),
nicht (10) benützt werden. Um nämlich große, mit denen von
größern Glocken vergleichbare Pendellängen zu erhalten, war s sehr klein genommen und durfte deshalb
in (9) nicht nebst den betreffenden andern Größen vernachlässigt
werden. Da überdies mit dem Abstände der Drehpunkte wegen der
Verschiebung der Schraubklemme, an welcher der Klöppel hing, der
Schwerpunktsabstand s sich nicht
unbeträchtlich änderte, so konnte der Abstand a auch aus (9) nicht unmittelbar
berechnet werden; er ergab sich durch mehrmalige Anwendung
dieser Gleichung nach der Regel falsi bei jedesmaliger Bestimmung der Pendellänge und der
Lage des Schwerpunktes. Als zu der relativen Elongation = 0
gehörige Werthe wurden auf solche Weise folgende gefunden:
l = 251,25
l1 = 202,77
s = 12,9
s1 = 2,5.
m1/m = 29/828
a = 31,4,
welcher Werth von a mit dem in Versuch Nr. 7 übereinstimmt.
Man sieht aus obiger Zusammenstellung, daß der Klöppel eine um so
größere relative Bewegung erhält, je mehr sich der Abstand a von dem Werthe in Nr. 7 entfernt.
Jedoch ist der Erfolg wesentlich verschieden, je nachdem die
Abweichung nach oben oder nach unten stattfindet. In letzterm
Falle, also für a < 31,5,
nimmt die relative Elongation nur langsam zu und bleibt stets
ziemlich klein. In ersterm Falle dagegen wird die relative
Bewegung schon sehr beträchtlich, wenn a nur um einige Centimeter zunimmt. Man kann den Abstand
so groß machen, daß der Klöppel sich überschlägt, eine volle
Umdrehung macht. Ein weiterer wesentlicher Unterschied ist der,
daß bei a < 31,5 der Klöppel
bei jeder Schwingung der Glocke voraneilt, bei a > 31,5 dagegen hinter derselben
zurückbleibt. Wie der Unterschied sich bei einer wirklichen
Glocke darstellt, sowie auch in welcher Schwingungsphase der
letztern das Anschlagen erfolgt, darüber noch folgende
Bemerkungen.
Wenn eine Glocke, für welche a
> l—l1 ist,
geläutet wird, so nimmt man immer wahr, daß der Klöppel ungefähr
in dem Augenblicke, wo die Glocke die größte Elongation hat, an
den alsdann höchsten Punkt des Schlagringes anschlägt. Daß dies
nothwendig so sein muß, ergibt sich unter der Voraussetzung, daß
ein regelmäßiges und gleichmäßiges Anschlagen stattfindet, durch
eine sehr einfache Ueberlegung. Sobald nämlich ein solcher
Beharrungszustand in der Bewegung der Glocke eingetreten ist, so
wiederholen sich die Schwingungen sowohl der Glocke als des
Klöppels stets in derselben Weise. Letzterer prallt also beim
Stoße gegen den Schlagring mit der nämlichen Geschwindigkeit ab,
mit welcher er an demselben anlangte. Nehmen wir nun zunächst
an, die Geschwindigkeit der Glocke sei im Augenblicke des Stoßes
= 0. Dann würde dieselbe vom Klöppel sowohl moleculare als
Massen-Bewegung aufnehmen, und deshalb der letztere mit einer
etwas geringern Geschwindigkeit reflectirt werden. Soll dieser
Verlust nicht stattfinden, vielmehr obiger Beharrungszustand
bestehen, so muß also im Augenblicke des Stoßes die Glocke dem
Klöppel mit einer kleinen Geschwindigkeit begegnen; sie muß eben
begonnen haben, wieder abwärts zu schwingen.
In dem entgegengesetzten Falle, wo a
< l — 1 ist, findet das Anschlagen
ebenfalls in einem Zeitpunkte statt, welcher dem der größten
Elongation sehr nahe liegt, und zwar aus denselben Gründen wie
oben. Der Punkt jedoch, worin der Klöppel die Glocke trifft, ist
nicht der höchste, sondern der tiefste Punkt des Schlagringes;
er schlägt im Vergleich zum vorigen Falle an der
entgegengesetzten Seite an.
Eine solche Weise zu läuten ist nun nicht gerade unzulässig; sie
findet statt bei einer von dem Pester Großzeugschmied Posdech zuerst angewendeten
Aufhängungsart für Glocken, bei welcher der Drehpunkt der
letztern ziemlich nahe über dem Schwerpunkte und derjenige des
Klöppels noch etwas höher liegt, so daß also a hier negativ ist.
Auch für diese Anordnung habe ich einige Versuche gemacht. Die
Bewegung des Klöppels ist dabei schwer zu verfolgen; sie nimmt
durch die stattfindenden Interferenzen periodisch ab und zu. Bei
einer wirklichen Glocke wird nun zwar diese Bewegung durch das
Anschlagen an dieselbe modificirt; ob aber nicht doch vielleicht
in Folge jener Interferenzen die Töne der Glocke in ihrer
Intensität etwas verschieden werden? — Eine solche
periodische Aenderung findet übrigens auch dann statt, wenn a positiv, aber sehr klein ist.
Nach allem diesem muß also, wenn die Glocke in gewöhnlicher Weise
geläutet werden soll, der Abstand a
größer sein, als er sich aus der Gleichung (9) oder (10) ergibt.
Die Beobachtung lehrt auch in der That, daß wenigstens bei allen
größern Glocken der Abstand der Drehpunkte größer ist als die
Differenz der Pendellängen. Man vergleiche nur die Angaben in
folgender Zusammenstellung, welche die Resultate von
Beobachtungen an der Kaiserglocke und mehreren andern Glocken
enthält.
Textabbildung Bd. 220, S. 490
Pendellänge;
Abstand; Quotient; der Glocke.; des Klöppels.; Differenz.;
der Drehpunkte.; des Drehpunktes vom Anschlagepunkt d.
Klöppels.; aus dem Gewichte der Glocke.; l; l1; l—l1;a;a/l— l1; Glocken des Kölner Doms.; I Kaiserglocke Nr. 1; Kaiserglocke
Nr. 2; II Pretiosa; III Speciosa; IV Hl. drei Könige; Glocken einer Dorfkirche.; V; VI;
VII; Glocke der Münsterkirche zu
Bonn
Die Pendellängen sind hier aus den Schwingungszahlen berechnet
worden. Die negativen Abstände des Schwingungspunktes des
Klöppels vom Anschlagpunkte bei der Kaiserglocke bedeuten, daß
der erstere unter letzterm lag, während gewöhnlich das
Umgekehrte der Fall ist.
Die Angaben über die KaiserglockeDem freundlichen Entgegenkommen des
Dombauvereins, sowie des Fabrikanten, welcher die Kaiserglocke
gegossen hat, verdanke ich es, daß ich im Stande bin, die in
dieser Abhandlung enthaltenen, die Domglocken betreffenden
Beobachtungsresultate mitzutheilen. — Sehr gern hätte ich
auch Angaben über die Glocke Maria
gloriosa des Doms zu Erfurt in obige Zusammenstellung
aufgenommen. Es hat mir jedoch ungeachtet mehrfacher
diesbezüglicher Bemühung nicht gelingen wollen, solche zu
erhalten. Der Nothbehelf, welchen man bei dieser Glocke
anwendet, um beim Läuten den Klöppel zum Anschlagen zu bringen,
zeigt recht auffallend, wie jämmerlich es mit der Kunst, Glocken
richtig aufzuhängen etc., bestellt ist. beziehen sich
auf zwei Versuche, welche im vorigen Jahre am 9. October (Nr. 1)
und 2. December (Nr. 2) stattfanden. Bei ersterm fiel der
Schwingungspunkt mit dem Anschlagepunkte, also auch mit dem
Mittelpunkte des Stoßes fast genau zusammen; er hatte also die
für eine centrale Stoßwirkung erforderliche Lage. Gleichwohl lag
er noch bei weitem nicht tief genug, damit ein regelmäßiges
Anschlagen des Klöppels erfolgte; letzterer bedürfte nach jedem
Schlage 5 bis 6 freier Schwingungen, um wieder die Glocke zu
erreichen. Den Grund hiervon erkennt man gleich. Der Abstand der
Drehpunkte war nur um 1/50 größer als die Differenz der
Pendellängen, während er bei Pretiosa und Speciosa das
anderthalbfache und bei der Glocke des Bonner Münsters gar mehr
als das Doppelte derselben beträgt. Es rührt dieses ungünstige
Verhältniß an der Kaiserglocke daher, daß deren Pendellänge, wie
aus der letzten Columne der Tabelle zu ersehen, verhältnißmäßig
viel größer ist als z. B. bei Pretiosa. Allerdings hat auch
Speciosa eine verhältnißmäßig große Pendellänge und dennoch ist
hier der Abstand a sogar noch
beträchtlicher als bei der größern Pretiosa. Hierbei muß jedoch
berücksichtigt werden, daß bei der Kaiserglocke und bei Speciosa
die Ursache der großen Pendellänge eine ganz verschiedene ist.
Bei der letztern besteht sie darin, daß deren Aufhängungspunkt
ziemlich hoch liegt, während dagegen die Kaiserglocke an einer
gekröpften Welle so aufgehängt ist,
daß ihre Drehachse ungefähr in gleicher Höhe mit der obern
Fläche der Glocke liegt. Die Hauptmasse der Welle, deren Gewicht
ungefähr 2/5 von dem der Glocke beträgt, befindet sich ziemlich
weit über der Drehachse. Hierdurch wird das statische Moment
verkleinert, das Trägheitsmoment vergrößert, und es mußte
deshalb eine große Pendellänge die nothwendige Folge sein.
Um die Glocke läutbar zu machen, hat man (noch vor dem Versuche
im October) zwischen Glocke und Welle ein Zwischenstück
angebracht und dadurch erstere um 210mm
gesenkt; ferner hat man den Drehpunkt des Klöppels bald höher,
bald tiefer gelegt. Der Erfolg war bei allen diesen Aenderungen
nur gering, ohne Zweifel deshalb, weil dabei immer zwei Größen,
der Abstand a und eine Pendellänge
zugleich sich änderten — die eine in vortheilhaftem, die
andere in nachtheiligem Sinne. So wurde z. B., wenn man den
Drehpunkt des Klöppels hinauf rückte, die Pendellänge desselben
größer, der Abstand a aber ungefähr
um eben so viel kleiner; wenn also vorher nahezu a = l
— l1, war, so war es auch
nachher noch so. Da jedoch eine kleine Besserung dabei erzielt
wurde, so hat man mit Versuchen in dieser Richtung fortgefahren,
bis man mit dem Drehpunkte des Klöppels bis dicht unter die
Wölbung der Glocke gekommen war.Es ist wohl selbstverständlich, daß
es nicht meine Absicht sein kann, aus diesem Verfahren dem
Urheber desselben einen Vorwurf zu machen. Niemand ist
verpflichtet, in seinem Gewerbe eine höhere Stufe einzunehmen
als alle seine Fachgenossen. Nicht der einzelne Fabrikant,
sondern die ganze Glockenmontirungskunst tappte hier im Dunkeln.
Nach den verschiedenen, manchmal höchst seltsamen Urtheilen,
welche in der Presse über das Verhalten der Kaiserglocke zu
lesen waren, sowie nach den zur Abhilfe gemachten Vorschlägen
muß ich annehmen, daß von dem wirklichen Zusammenhange weder
irgend ein Glockengießer, noch sonstiger Techniker, der sich mit
der Sache beschäftigt hat, eine Ahnung hatte. Jedem andern
Glockengießer hätte es eben so gehen können; wäre er glücklicher
gewesen, so hatte er dies nur dem ihm günstigern Zufalle, nicht
seiner größern Sachkenntniß zu verdanken.
Dann erst wurde der allein richtige Weg eingeschlagen, ohne
anderweitige Aenderungen die Pendellänge des Klöppels zu
vergrößern. Ich hatte zu dem Zwecke eine Einrichtung des
Klöppels vorgeschlagen, bei welcher die Pendellänge durch eine
angehängte und mittels Schrauben verschiebbare Gußplatte bis auf
303cm gebracht werden konnte. Der Schwingungspunkt lag
dann 26cm unterhalb des Anschlagepunktes — eine
Grenze, die schwerlich überschritten werden durfte, wenn keine
merklich schlingernde Bewegung des Klöppels eintreten sollte.
Unglücklicher Weise sah man sich jedoch durch wenig begründete
Rücksichten auf Festigkeits- und andere Verhältnisse veranlaßt,
von den vorgeschriebenen Maßen so bedeutend abzuweichen, daß der
Schwingungspunkt im Maximum nur um 10cm,5
unter dem Anschlagepunkte lag. Hierdurch war der ursprüngliche
Zweck der anzustellenden Versuche, entweder die Bedingungen zu
ermitteln, unter denen das Läuten vollständig gelang, oder den
Beweis zu liefern, daß es bei der damaligen Aufhängungsweise der
Glocke nicht gelingen konnte, vereitelt. Jedoch wurde wenigstens
das eine bestimmte Resultat erhalten, daß unter Bedingungen,
welche von denen des centralen Stoßes nicht sehr bedeutend
abweichen, das Läuten vollständig mißlingen würde. Der Erfolg
war nämlich selbst in dem Grenzfalle, wo der Schwingungspunkt um
10cm,5 (obige Zusammenstellung Nr. 2) tiefer lag als
der Anschlagepunkt, noch keineswegs befriedigend. Ein
regelmäßiges Anschlagen bei jeder Schwingung wurde zwar
erreicht; aber die Schläge waren nicht kräftig genug und die
Gleichmäßigkeit derselben zu sehr abhängig von zufälligen
Ungleichheiten in der Vertheilung der Zugkräfte.
Demnächst wurde wieder ein Klöppel von gewöhnlicher Form aus
Schmiedeisen angefertigt, jedoch annähernd nach dem Muster jenes
Versuchsklöppels bei dessen größter Pendellänge. Meinem Rathe,
die Pendellänge noch beträchtlich größer zu nehmen, wurde nicht
entsprochen, theils weil es an Raum fehlte, um den untern Theil
noch mehr verlängern zu können, theils weil man mit Rücksicht
auf die nöthige Festigkeit Bedenken trug, dem obern Theile eine
so geringe Dicke zu geben, wie ich vorschlug. Das hier nahe
liegende Auskunftsmittel, diesem obern Theil einen rechteckigen
Querschnitt zu geben, wo dann an der Masse gespart werden
konnte, ohne die Festigkeit zu beeinträchtigen, wurde deshalb
nicht angewendet, weil man dann diesen Theil nicht auf der
Drehbank bearbeiten konnte. So kam denn ein Klöppel zu Stande,
welcher in der Pendellänge von dem Versuchsklöppel nur wenig
abwich. Mit dem neuen Klöppel wurde am 11. Februar d. I. eine
Probe vorgenommen; dieselbe fiel so aus, wie wegen der
Uebereinstimmung der Umstände mit denjenigen am 2. December v.
I. zu erwarten stand. Ein regelmäßiges Anschlagen bei jeder
Schwingung der Glocke fand wieder statt, ebenso jedoch auch die
frühere Verschiedenheit desselben. An der einen Seite gab die
Glocke einen volleren Ton, als an der andern, und der
Unterschied war bei dem zweiten der beiden vorgenommenen
Versuche größer als bei dem ersten, was ohne Zweifel von einer
Verschiedenheit der wirkenden Zugkräfte herrührte.
Aber selbst wenn man hinsichtlich der Regelmäßigkeit der Bewegung
des Klöppels die Aufgabe als ziemlich gelöst hätte betrachten
wollen, so blieben doch noch sehr wesentliche Uebelstände übrig.
Zunächst entstand nämlich beim Anschlagen ein höchst
widerwärtiger klatschender Ton — ähnlich demjenigen, den
zwei an einander geschlagene Metallplatten geben. Derselbe
dauerte zwar nur einen Augenblick und war auch in größerer
Entfernung nicht hörbar; aber der eigentliche Ton der Glocke,
welcher gleich darauf eintrat, besaß durchaus nicht die nöthige
Intensität. Es trat dies besonders hervor, als einige Tage
später die Kaiserglocke mit den übrigen größern Glocken des Doms
zusammen geläutet wurde. Selbst wenn sie nur mit einer von
denselben, der größten, zusammentönte, wurde ihr Ton von dem der
letztern gänzlich verdeckt; nur den Klirrton beim Anschlagen des
Klöppels hörte man deutlich. Die Ursache des Klirrtons ist wohl
zum größten Theil die, daß der Klöppel mittels eines eisernen
Zwischenstückes aufgehängt ist. Daß man gewöhnlich den Klöppel
einer Glocke mittels eines ledernen Riemens aufhängt, geschieht
wohl nicht blos der Einfachheit wegen.
Die geringe Intensität des Tones aber kann nur darin ihren Grund
haben, daß der Klöppel noch nicht kräftig genug gegen die Glocke
stößt. In der That war dies auch unter Verhältnissen, bei
welchen erst eben ein regelmäßiges
Anschlagen erreicht wurde, gar nicht zu erwarten. Auch zeigt
obige Tabelle, daß bei der Kaiserglocke die die Bewegung
bestimmenden Größen, so wie sie bei den letzten Versuchen waren
(Nr. 2), noch lange nicht in entsprechender Proportion stehen,
wie bei der leicht läutbaren Speciosa oder auch nur der etwas
schwerfälligern Pretiosa.
Eine weitere Annäherung an das richtige Verhältniß kann nun nicht
wohl dadurch geschehen, daß man die Pendellänge des Klöppels
noch größer macht. Denn obgleich hier die Grenze, bei welcher
entschiedene Nachtheile sich einstellen, nicht, wie es meine
Absicht war, durch Versuche festgestellt ist, so läßt sich doch
mit ziemlicher Sicherheit annehmen, daß die zulässige Grenze
erreicht, wenn nicht schon überschritten ist. Zu dem oben
erwähnten Klirrton trägt möglicherweise auch der Umstand bei,
daß der Stoß des Klöppels gegen die Glocke von einem centralen
Stoße bedeutend abweicht. Dennoch kann eine weitere Verbesserung
auch jetzt noch erreicht werden, dadurch nämlich, daß man, statt
die Pendellänge des Klöppels zu vergrößern, diejenige der Glocke
verringert. Dies würde schon früher geschehen sein, wenn es
nicht so sehr umständlich wäre; da aber jetzt nichts anderes
übrig bleibt, so wird man sich dazu entschließen müssen.
Eigenthümliche Verhältnisse zeigen in obiger Zusammenstellung die
Glocken V, VI und VII. Bei VI
ist nämlich die Differenz der Pendellängen genau gleich dem
Abstände der Drehpunkte und bei V
und VII sogar beträchtlich größer.
Von diesen Glocken wurde mir aber auch gesagt, daß denselben
beim Läuten immer ein kräftiger Ruck gegeben werden müsse, um
den Klöppel zum Anschlagen zu bringen. Bei ruhig schwingender
Bewegung der Glocke würde dies in der That nicht möglich sein.
Es ist begreiflich, daß bei kleinern Glocken, auch wenn sie
solche Fehler haben, es doch immer möglich ist, durch ruckweise
Bewegung den Klöppel an die Glocke zu schleudern; kann man sie
nicht in ruhiger Weise läuten, so rüttelt man sie. Eine Glocke
von der Größe derjenigen des Cölner Doms dagegen läßt sich nicht
in dieser Weise behandeln. Wenn also, bei der Abwesenheit aller
bestimmten Regeln, der Zufall es einmal so fügt, daß eine solche
große Glocke in obiger Weise fehlerhaft wird, so kommt die reine
Praxis in Verlegenheit und weiß sich nicht zu helfen.
Für die praktische Anwendung lassen sich die Hauptresultate der
vorstehenden Erörterungen in folgende beiden Regeln
zusammenfassen:
1 Man hänge die Glocke so auf, daß ihre
Pendellänge möglichst klein wird. Selbst der kleinste Werth,
welchen sie erreichen kann, wird nie zu klein sein.
2 Man gebe dem Klöppel eine solche
Pendellänge, daß der Schwingungspunkt in gleicher Höhe mit dem
Anschlagepunkte liegt.
Hierdurch wird eine untadelhafte Stoßwirkung und zugleich die mit
dieser vereinbare größtmögliche Leichtigkeit des Läutens
erreicht.
Ein wirkliches Arbeiten nach diesen Regeln erfordert übrigens
einfache Formeln und Tafeln, welche in jedem besondern Falle die
Dimensionen der einzelnen Constructionstheile liefern. Solche
Formeln und Tafeln gedenke ich aufzustellen und später zu
publiciren.
Düren, Ende
Februar 1876.