| Titel: | Rittinger's einachsige Mantelkolbenpumpe. |
| Fundstelle: | Band 220, Jahrgang 1876, Nr. , S. 408 |
| Download: | XML |
Rittinger's einachsige
Mantelkolbenpumpe.
Mit Abbildungen auf Taf. VIII [d/1].
Rittinger's, einachsige
Mantelkolbenpumpe.
Nachstehend ist die Detailconstruction der v. Rittinger'schen
Pumpe beschrieben, wie sie vom Bergverwalter Max Kraft (Oesterreichische Zeitschrift
für Berg- und Hüttenwesen, 1875 S. 431) nach den
unmittelbaren Angaben v. Rittinger's
im J. 1871 für den Tunner-Schacht bei Leoben durchgeführt
wurde.
Wie aus Fig. 14
und 16 zu
ersehen, besteht die Pumpe in der Hauptsache aus dem größern
Mönchrohre d, aus dem kleinern
Mönchrohre s und aus dem über beide
geschobenen Mantel m; an das erstere
ist gleich der Sitz für das Druckventil, an das letztere, wie
aus Fig. 17
und 18
ersichtlich, sind vier Leisten angegossen. Diese Leisten sind
der Länge nach behufs Aufnahme der Befestigungsbolzen
durchlöchert, und diesen Durchbohrungen entsprechen ebenso viele
Löcher in dem gußeisernen Kranz, welcher den Ventilsitz mit dem
Mönchrohre d verbindet; zwischen den
Leisten des Mönchrohres s sind vier
Oeffnungen ausgespart, welche den Raum innerhalb dieses Rohres
mit dem Raume t im Mantel m verbinden.
Bei der Construction dieser Pumpe mußte die Montage sehr in
Berücksichtigung gezogen werden; dieselbe muß folgendermaßen
vorgenommen werden: Nachdem der Ventilkasten k fixirt und mit dem Mönchrohre d verbunden ist, müssen die vier
Befestigungsbolzen c eingelegt
werden; hierauf wird das Druckventil v durch das Mannloch von k auf
seinen Sitz gebracht und dann die Verbindung von s mit d
dadurch bewerkstelligt, daß man die Bolzen c durch die Löcher der vier Leisten am
Mönchrohre s durchsteckt und mit
Keilen fest anzieht. Um nun den Mantel m über die beiden Mönchrohre schieben zu können, darf s an seinem untern Ende weder eine
Flansche, noch sonst einen Vorsprung besitzen, und wurde daher
zur Verbindung von s mit dem
Saugventilkasten k1 die in Figur 14
dargestellte Construction gewählt. Es wird nämlich nach
vorläufiger Fixirung des über die beiden Mönchrohre geschobenen
Mantels m auf das untere Ende des
abgedrehten Mönchrohres s ein genau
ausgebohrter, mit einer Flansche versehener Muff f, welcher zugleich als Stopfbüchse
fungirt, aufgezogen, durch vier Schrauben befestigt und sodann
ebenfalls mittels Schrauben mit dem Saugventilkasten verbunden,
welcher zu diesem Zwecke an seiner Oberfläche einen Kranz mit
Ansätzen angegossen erhält. Das Zusammenpressen der Dichtung
geschieht durch Anziehen der Schrauben und Unterkeilen der
Auflagstatzen des Ventilkastens.
Reparaturen an den Ventilen können, wie gewöhnlich, durch die
Mannlöcher der betreffenden Kästen vorgenommen werden; behufs
einer Reparatur an den Verbindungsbolzen c muß der Mantel m bis zum
Muff f herabgeschoben werden,
weshalb auch der Abstand des Muffes von den betreffenden Bolzen
größer sein muß als die Länge des Mantels m. Um die untere Stopfbüchse des Mantels m vor Verschmundung zu bebewahren,
dürfte es vielleicht angezeigt sein, den in der Zeichnung
punktirten, scharf einspringenden Ring r an den Mantel anzugießen und denselben mit einem
Ablaßhahn zu versehen.
Bezeichnet:
D1
den innern Durchmesser des Mantels m,
D den äußern Durchmesser des größern
Mönchrohres d,
d den äußern Durchmesser des kleinern
Mönchrohres s, so ergibt sich der
wirksame Querschnitt des Mantelkolbens:
(D12
- d2) π/4 - (D12
- D2) π/4 = (D2 - d2) π/4.
Dieser Querschnitt ist daher von dem innern Durchmesser des
Mantels unabhängig, ganz wie bei den Plungerpumpen, wo der
wirksame Querschnitt ebenfalls blos vom äußern Durchmesser des
Plungers und nicht vom Innern des Cylinders abhängig ist. Diese
Mantelkolbenpumpe ist daher nichts anderes als eine
Plungerpumpe, deren Plunger mit ringförmigem Querschnitt fix und
deren Cylinder (Mantel) beweglich ist, wie denn jede Druckpumpe
hierdurch zu einer Hubpumpe wird.
Ist ferner:
m die Wassermenge pro Secunde,
C die Geschwindigkeit des Wassers in
den Steigröhren,
c die Geschwindigkeit des
Mantelkolbens,
d1
innerer Durchmesser der Saug- und Steigröhren, so ist, da wir es
mit einer einfachwirkenden Pumpe zu thun haben:
30 d12π/4 C = 60 m oder d12π/4 C = 2 m
Da der innere Durchmesser des kleinen Mönchrohres s, um denselben möglichst zu reduciren,
gleich dem Durchmesser der Steig- und Saugröhren genommen werden
kann, so erhält man dessen äußern Durchmesser durch
Hinzuschlagen der doppelten Wandstärke δ, welche mit dem
innern Durchmesser zunimmt und nach den gewöhnlichen Regeln,
entsprechend dem Drucke der Wassersäule, berechnet werden muß.
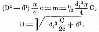
Zur Bestimmung des äußern Durchmessers des größern Mönchrohres
d hat man die Gleichung:
Textabbildung Bd. 220, S. 410
v. Rittinger construirte dieselbe
Pumpe auch als Druckpumpe einfach durch Umkehrung des ganzen
Systems, wie aus Figur 19
ersichtlich; das größere Mönchrohr d
kommt nach abwärts und das Saugventil in den Kasten k, das kleinere Mönchrohr s nach aufwärts und wird an dessen
oberstem Ende im Kasten k1 das Druckventil angebracht,
während das Ventil v im Mönchrohre
d wegfällt. Diese Anordnung dürfte
jedoch nicht sehr vortheilhaft sein, da bei derselben das
Druckventil bedeutend höher zu liegen kommt, wodurch sich die
Saughöhe vergrößert, und weil bei erhöhtem Druck der
Wasserverlust durch zwei Stopfbüchsen bedeutender wäre als bei
den mit einer Stopfbüchse arbeitenden Plungerpumpen.
Die einachsige Mantelkolbenpumpe läßt sich jedoch auch als
doppeltwirkende Pumpe construiren, wie Figur 20
zeigt, nur muß dann das oben befindliche Mönchrohr s der Druckpumpe einen größern
Durchmesser erhalten als das unten befindliche s1 der
Hubpumpe.
Die Wirkungsweise ist nun folgende: Beim Niedergehen der beiden
Mantelkolben und m und m1,
welche durch eine gemeinschaftliche Stopfbüchse verbunden sind,
saugt der untere durch das Saugventil v1 und durch die
Oeffnungen bei t1, während der obere das seinem
wirksamen Querschnitte entsprechende Wasserquantum nach aufwärts
durch die Oeffnungen t und durch das
Druckventil v drückt; beim Aufgange der beiden Mantelkolben ist die
Wirkung verkehrt, der obere Mantel saugt durch das
gemeinschaftliche als Saug- und Druckventil fungirende Ventil
v0,
während der untere Mantel gleichzeitig durch dasselbe Ventil die
Wässer hebt. Würden nun die wirksamen
Querschnitte der beiden Kolben gleich sein, so wäre die Pumpe
blos eine einfachwirkende, da das gesammte von dem untern Mantel
gehobene Wasserquantum vom obern Mantel angesaugt, und erst beim
nächsten Spiel von der Druckpumpe weiter gehoben würde; sind
jedoch die beiden Kolben so construirt, daß der untere mehr
hebt, als der obere ansaugen kann, d. h. hat der untere einen
größern wirksamen Querschnitt als der obere, so wird die Pumpe
doppeltwirkend.
Die Dimensionen können nun so gewählt werden, daß immer das
gleiche Quantum Wasser gehoben oder gedrückt wird, und dies wird
dann der Fall sein, wenn die Hubpumpe doppelt so viel Wasser zu
fassen im Stande ist als die Druckpumpe; es wird dann das von
der Hubpumpe angesaugte Wasserquantum beim Aufgange
der gekuppelten Mantelkolben zur Hälfte durch das Ventil v gehoben, während beim Niedergange
genau dieselbe Wassermenge von der Druckpumpe durch das Ventil
v befördert wird.
Bezeichnet:
D den äußern Durchmesser des
gemeinschaftlichen Mönchrohres l,
d den äußern Durchmesser des
Mönchrohres s,
d1
den äußern Durchmesser des Mönchrohres s1,
c die Geschwindigkeit der
Mantelkolben m und m1 pro
Secunde, so haben wir, wenn die Pumpe stets das gleiche Quantum
Wasser abgeben soll:
(D2
- d12) π/4 c = 2 (D2 - d2) π/4 c,
Textabbildung Bd. 220, S. 411
Der Wasserverlust durch die Stopfbüchsen ist hier, trotzdem drei
vorhanden sind, um nichts größer, da beim Niedergange etwas
Wasser aus dem obern Mantel in den untern gedrückt, dasselbe
Quantum jedoch beim Aufgange wieder denselben Weg zurück
befördert wird. Um dieses Wasserquantum zu vermindern, könnte
die mittlere gemeinschaftliche Stopfbüchse mit eingedrehten
Rinnen versehen werden.
Tafeln
