| Titel: | Mechanismen zur gefahrlosen Drehung des Dampfmaschinen-Schwungrades von Hermann Fischer, Civilingenieur in Hannover. |
| Fundstelle: | Band 220, Jahrgang 1876, Nr. , S. 202 |
| Download: | XML |
Mechanismen zur gefahrlosen
Drehung des Dampfmaschinen-Schwungrades von Hermann
Fischer, Civilingenieur in Hannover.
Mit Abbildungen im Text und
auf Taf. IV [a/1].
Fischer, über gefahrlose Drehung des
Dampfmaschinen-Schwungrades.
In der fünfzehnten Hauptversammlung des Vereins deutscher
Ingenieure, welche im September 1874 in Hannover stattfandZeitschrift des Vereins deutscher Ingenieure, 1874 S.
677. wurde seitens des westphälischen
Bezirksvereins beantragt, folgende Principien bezüglich der
obligatorischen Anwendung von Schutzmitteln an Motoren und
Arbeitsmaschinen zu allgemeiner Annahme zu empfehlen:
„1) Jede Werkzeugmaschine und soweit möglich auch jeder
Motor ist an allen denjenigen Stellen, welche in irgend einer
Weise die Beschädigung eines Arbeiters herbeizuführen vermögen,
mit den geeigneten Sicherheitsvorrichtungen zu versehen. Diese
Vorrichtungen sind von der betreffenden Fabrik als integrirende
Theile der Maschine zu behandeln und demnach dem Besteller
mitzuliefern, gleich wie alle andern Theile, ohne welche die
Maschine ihren Zweck nicht erreichen würde.
Zu den Sicherheitsvorrichtungen sind auch diejenigen
Einrichtungen zu rechnen, welche ein möglichst rasches
Stillsetzen der Maschine gestatten.
2) Schon bei Anordnung der Maschine soll die Rücksicht auf die
Sicherheit der Arbeiter wie irgend ein anderes
Constructionsprincip nach Möglichkeit befolgt werden, damit
nicht (wie jetzt notorisch oft der Fall) die rücksichtslos
gewählte gegenseitige Lage der gefährlichen Bewegungstheile das
Unheil selbst heraufbeschwört.
3) Auch beim Unterrichte im Entwerfen von Maschinen ist Rücksicht
auf die angeführten Forderungen zum Princip zu erheben, wie wenn
es ein Constructionsprincip wäre, damit schon den Studirenden
durch ihre Uebungen die Nothwendigkeit der
Sicherheitsvorrichtungen so in Fleisch und Blut übergehe, wie
die Kenntniß irgend welcher andern Gesetze.“
Die Tendenz dieser Principien fand ungetheilten Beifall; es
fanden nur Meinungsverschiedenheiten statt hinsichtlich der
Formen, in welchen die Durchführung derselben am zweckmäßigsten
zu erzielen sei. Nur aus diesem Grunde wurde beliebt, einen
andern, allerdings weiter gehenden Antrag derselben Richtung
anzunehmen. Immerhin ist nicht zu verkennen, daß die genannten
„Thesen“ des westphälischen Bezirksvereins
wohlthätig gewirkt haben, auch unabhängig von dem damals zur
Annahme gelangten Antrage. Es ist in den letzten Jahren von
vielen Constructeuren mehr Rücksicht auf die Sicherheit der
Arbeiter gegen Beschädigungen durch Maschinen genommen, als
dieses früher der Fall war. Ich erwähne der größern Beachtung
der Umdrehungsrichtung von in einander greifenden Zahnrädern,
der Lage von Schmiervorrichtungen, der Anwendung gefahrloser
Riemenaufleger, der häufigern Anwendung von Verkleidungen oder
Schutzgittern bei Räder- und Riemenbetrieben.
Zu den gefährlichen Beschäftigungen ist zu rechnen, die Drehung
des Schwungrades von Dampfmaschinen behufs deren
Inbetriebsetzung. Je größere Anwendung eine ausgedehnte
Expansion des Dampfes gefunden, um so schwieriger ist es dem
Maschinisten geworden, die Dampfmaschine bei derjenigen
Kurbelstellung zum Stillstand zu bringen, welche eine
Inbetriebsetzung der Maschine ohne weitere Nachhilfe gestattet.
Es ist häufiger nöthig geworden, das Schwungrad mit der Hand zu
drehen, um die nöthige Kurbelstellung zu erzielen.
Da hierzu nicht selten ein größerer Kraftaufwand gehört, als die
momentan herbei zu rufenden Arbeiter ohne gar zu große
Anstrengung hervor zu bringen vermögen, so ist der Maschinist
häufig leichtsinnig genug, durch mäßiges Oeffnen des
Dampfzutrittsventils zu helfen. Auf ein ertönendes
„los“ haben sich die Leute schleunigst zu
entfernen, wollen sie nicht von der nun in Bewegung gekommenen
Maschine zu Boden geschleudert oder gar unter
dem Treibriemen oder zwischen dem Räderwerk zerquetscht werden.
Wie mancher Krüppel ist auf diesem Wege entstanden, wie manchem
gesunden Menschen das Leben genommen!
Bei größern Maschinen findet man, namentlich in neuerer Zeit,
sehr häufig mehr oder weniger zweckmäßige Mechanismen, mit deren
Hilfe der Maschinist allein im Stande ist, die erforderliche
Drehung hervor zu bringen; bei mittelgroßen Maschinen ist dies
leider selten der Fall.
In Folgendem will ich zwei Mechanismen beschreiben, welche die
mehr erwähnte Arbeit durch den Maschinisten allein in
gefahrloser Weise ermöglichen, und die auch nachträglich an
solchen Maschinen angebracht werden können, welche bisher ohne
eine derartige Einrichtung waren.
Die Construction Figur 1
und 2 dreht
das Schwungrad ruckweise. A ist das Schwungrad der Dampfmaschine;
es wird umfaßt von dem aus Flacheisen gebildeten Rahmen B, welcher mit zwei Klemmklinken a, a ausgerüstet ist. Wird der Rahmen
B in der Pfeilrichtung I (Fig. 2)
gegen das Schwungrad A bewegt, so
drücken die beiden Klinken a, a
gegen die Seitenflächen des Schwungrades und zwar um so mehr, je
mehr Widerstand sie finden. Ist die in der Pfeilrichtung I wirkende Kraft genügend, so wird das
Schwungrad in derselben Richtung gedreht werden.
Bewegt man dagegen den Rahmen B in
der Pfeilrichtung II, so werden die
Klinken a, a an den Seitenflächen
des Schwungrades gleiten, und zwar mit geringer Reibung, indem
jede größere Reibung ein Aufheben, also ein Lösen der Klinken
zur Folge haben wird.
Es ist daher nur eine oscillirende Bewegung des Rahmens B erforderlich, um die Drehung des
Schwungrades zu bewirken. Diese schwingende Bewegung wird
hervorgebracht durch die beiden, mit B festverbundenen Zapfen b, b,
die beiden Schubstangen c, c, die
Excenter d, welche auf der Welle e befestigt sind, und den gleichfalls
auf e festen Handhebel f. Die Welle e dreht sich in Lagern g,
welche auf dem gemeinschaftlichen Fundamentbalken D festgeschraubt sind. Dieser wird auf
dem Fußboden des Maschinenraumes oder in einer andern passenden
Lage befestigt. Durch Hin- und Herbewegen des Handhebels f wird in leicht zu überblickender Weise
der Rahmen B in die gewünschte
Oscillation versetzt und somit die Drehung des Schwungrades
hervorgebracht. Die Welle e kann
eine solche Lage und Länge erhalten, daß der Maschinist von
seinem Stande am Dampfventil aus die ganze Manipulation
vornehmen kann.
Wird zur Unterstützung des Vorganges von vornherein der Eintritt
des Dampfes in den Cylinder gestattet, so kann, bei der größten
Unachtsamkeit des Maschinisten kein Unfall eintreten, indem die
Klinken sich sofort lösen, sobald das Schwungrad die Tendenz
zeigt, sich in der ihm zukommenden Richtung selbstständig zu
drehen.
Während des Betriebes der Maschine wird der Rahmen B mit Zubehör zurückgeklappt, indem man
ihn in der punktirt angedeuteten Lage E, oder einer schrägern, gegen irgend eine Stütze
lehnt.
Der Mechanismus ist billig herzustellen und leicht anzubringen;
derselbe erfordert durchaus kein abgedrehtes Schwungrad, sondern
wirkt, da die Klinken in jedem Falle sich ihre passende Lage
suchen, auch an einem nicht abgedrehten Schwungrade, wenn dieses
nicht gar zu große Unebenheiten und Verschiedenheiten der
Kranzdicke zeigt.
Die absetzende Bewegungsform kann zu Unträglichkeiten führen,
wenn mit dem Schwungrade eine ausgedehnte Transmission gedreht
werden muß. In diesem Falle ist eine gleichförmige Drehung vorzuziehen. Die Figuren 3
und 4 und
nachstehender Holzschnitt zeigen einen Mechanismus, welcher in
dieser Richtung dem soeben behandelten vorzuziehen ist.
Textabbildung Bd. 220, S. 205
Zu beiden Seiten des Schwungradkranzes A befinden sich Frictionsrollen B, mit deren Achsen die Schneckenräder C fest verbunden sind, die durch
Schnecken D in entgegengesetzter
Richtung gedreht werden. Um die erforderliche Kraft P am Umfange des Schwungradkranzes
hervor zu bringen, müssen die Frictionsrollen B mit einem Drucke N gegen das Schwungrad gedrückt werden,
welcher sich berechnet zu:
f N ≥ ½ P,
Wenn f den betreffenden
Reibungscoefficienten bezeichnet, oder
1) N ≧ P/2f.
Da die Schneckenräder C denselben
Halbmesser haben wie die Frictionsräder, nämlich R, so muß am Umfange der Räder C durch die Schnecken D dieselbe Tangentialkraft ½ P hervorgebracht werden, welche am
Umfange von B verlangt wird. Die
hintern Lager H der Achsen von C und B
lassen zwar eine pendelartige Drehung derselben zu, entfernen
sich aber nicht von einander. Sie gewähren also in dieser
Hinsicht jeder Achse einen festen Stützpunkt. Wenn daher in der
im Holzschnitt angegebenen Weise die Schnecken D auf die Räder C einen Druck ½ P
ausüben, so wird jener geforderte Druck N ohne Weiteres hervorgebracht, sobald
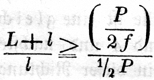
½ P(L + l)
= Nl
oder L
+ l/l = N/½P′
wofür wir, nach Einführung des Werthes von
N aus
Formel 1 erhalten:
Textabbildung Bd. 220, S. 206
oder
Textabbildung Bd. 220, S. 206
Wenn daher das richtige Verhältniß von L + l/l gewählt
worden ist, so ist die zum Drehen des Schwungrades erforderliche
Kraft ohne Einfluß auf das genügende Angreifen der
Frictionsrollen B. Wir haben es also auch hier mit Klemmklinken
zu thun, welche sich lediglich durch die andere Form von den
bisher bekannten unterscheiden.
Was die constructive Anordnung des Apparates (Fig. 3 und
4) betrifft, so sind in einem kräftigen eisernen Gestell
F, welches je nach Umständen
verschieden montirt sein kann (hier ist es auf einen Mauerklotz
K gesetzt gedacht), einerseits die
um ihre verticale Achse drehbaren Lager H angebracht und anderseits die Schneckenwelle D gelagert. Die Achsen J der Frictionsrollen B und Schneckenräder C sind so in H gelagert, daß sie nicht herausgezogen werden können.
Eine fernere Lagerung von J findet
nur insofern statt, als die Schneckenräder C auf den Schnecken D ruhen Die Kurbel E dient zum Drehen der Schnecken.
Sobald das Schwungrad A gedreht
werden soll, bewegt der Maschinist die Kurbel E in bestimmter Drehrichtung, wodurch
zunächst die Frictionsrollen dem Schwungradkranze genähert
werden. Während des Betriebes der Maschine befanden sich die
Achsen J nämlich nicht in der Lage
a b H, sondern in der Lage a1 b1 H (im Holzschnitt rechts), um eine
schädliche Reibung zwischen Schwungrad und Frictionsrollen zu
vermeiden.
Sobald die Rollen B mit dem
Schwungrad A in Berührung kommen,
werden sie die oben bezeichnete Wirkung ausüben. Sollte eine der
Rollen hiermit früher beginnen wollen als die andere, weil sie
— während des Betriebes der Maschine — weniger
weit von dem Schwungrad entfernt war als jene, so kann der
Maschinist mit Leichtigkeit, durch Einwärtsrollen des
betreffenden Schneckenrades die gewünschte Gleichförmigkeit
herstellen. Geschieht dieses nicht, so besorgt es der
Mechanismus selber, indem die zurückgebliebene Achse J so lange nach der Mitte zu geschoben
wird, bis ihre Frictionsrolle mit dem Schwungrad in Berührung
kommt. Geringe Unebenheiten des Schwungrades stören offenbar
auch diesen Mechanismus nicht; sollte indessen das Schwungrad
erheblich schwanken, so würde dem Gestell F zweckmäßiger Weise eine Verschiebung parallel der
Dampfmaschinenkurbelwelle zu gestatten sein, um die einseitigen
Drucke gegen den Schwungradkranz zu vermeiden.
Sobald das Schwungrad beginnt, sich selbstthätig zu drehen, so
wird es auch die mit ihm in Berührung stehenden Frictionsrollen
in Bewegung setzen. Da dieselben aber mit den Schneckenrädern
fest verbunden sind, so rollen diese in Folge der Drehung nach
außen, bewirken also eine Entfernung der Frictionsrollen von dem
Schwungradkranze, d. h. die Achsen J
werden aus der Lage a b H in die
Lage a1 b1 H (Holzschnitt rechts)
gebracht. Selbst wenn etwa in Folge starken Schwankens des
Schwungrades dasselbe noch einmal mit einer der Rollen in
Berührung kommen sollte, so wird auch nachträglich die Rolle um
das nöthige Maß zur Seite geschoben. Eine Beihilfe des
Maschinisten bedarf es hierbei nicht.
Die beschriebenen Mechanismen sind in Verbindung mit gewöhnlichen
Schwungrädern gezeichnet. Sie sind offenbar ebenso gut an
Schwungrädern zu verwenden, die gleichzeitig als Riemenscheibe
dienen; ihre Weite ist nur entsprechend zu vergrößern.
Bei verzahnten Schwungrädern sind bei der ersten Construction die
Querstücke so zu verbreitern bezieh, zu formen, daß dieselben
nicht in die Zahnlücken gerathen können, bei beiden
Constructionen die betreffenden Klemmklinken resp.
Frictionsrollen um die Zahnlänge nach dem Schwungradmittelpunkte
zu zu verlegen.
Was den Vergleich der beiden hier beschriebenen Constructionen
mit den bisher gebräuchlichen betrifft, so ist zunächst die
roheste Manier, mittels einer Brechstange (die entweder unter
einen Schwungradarm gedrückt, ihren andern Stützpunkt in
verschiedenen auf einander folgenden festen Löchern findet, oder
auf ein festes Auflager gestützt, mit ihrem kürzern
überstehenden Ende in Löcher faßt, welche im
Schwungradkranz angebracht sind) die Bewegung hervor zu bringen,
von jeder Concurrenz auszuschließen.
Man hat den Schwungradkranz mit Zähnen versehen, gegen welche
eine gewöhnliche Klinke wirkt. Offenbar ist dadurch dasselbe
erreicht, wie mit dem hier beschriebenen Mechanismus Nr. 1.
Unter Umständen dürfte aber die letztere Einrichtung der erstern
vorzuziehen sein; an vorhandenen Maschinen ist diese ältere
Einrichtung jedenfalls nicht zu verwenden.
Eine dritte Methode besteht darin, daß man mit dem verzahnten
Schwungrad ein kleines Trieb in Eingriff bringt, welches auf
irgend eine Weise in Umdrehung gesetzt wird. Man kann dieses so
einrichten, daß eine Selbstauslösung stattfindet, sobald das
Schwungrad durch den zur Wirkung kommenden Dampf allein bewegt
wird. Wenn dann zur gleichen Zeit das Trieb gleichförmig gedreht
wird, so ist es der von mir angegebenen Construction Nr. 2
ähnlich und gleichwerthig; wird es dagegen durch einen der
Bohrknarre ähnlichen Mechanismus in Bewegung gefetzt, so ist die
Anordnung weniger gut als meine Construction Nr. 2. Immer läßt
sich die hier angegebene ältere Methode nur bei Maschinen mit
verzahntem Schwungrade anwenden.
Tafeln
