| Titel: | Ueber die Wahl des Querschnittes von Blitzableitern; von Nippoldt. |
| Fundstelle: | Band 216, Jahrgang 1875, Nr. , S. 364 |
| Download: | XML |
Ueber die Wahl des Querschnittes von
Blitzableitern; von Nippoldt.
Nippoldt, über die Wahl des Querschnittes von
Blitzableitern.
Die Angaben von Kühn in „Karsten's Encyklopädie der Physik“ über das
Verhältniß der Querschnitte der Blitzleitungen aus verschiedenen Metallen basiren
auf nicht ganz zutreffenden Principien. Kühn geht nämlich
von dem Grundsatz aus, allen Blitzableitern, mögen sie sehr lang oder kurz sein, aus
diesem oder jenem Metall bestehen, die nämliche Leitungsfähigkeit zu geben. Als Norm gilt a. a. O. eine
Leitung von Rundeisen von 64 Pariser Fuß Länge und 5 resp. 6 Pariser Linien
Durchmesser. In dem Maße, als der specifische Widerstand eines anderen Metalles
größer oder kleiner ist als jener des Eisens oder einer Leitung länger als 64 Fuß,
muß, um die nämliche Leitungsfähigkeit zu erzielen, der Querschnitt der anderen
Leitung von dem der ersteren verschieden sein. Warum alle Leiter stets den nämlichen
elektrischen Widerstand von 0,01631 Siemens'schen
Einheiten haben sollen, wird in dem Werk nicht näher motivirt. Es scheint vielmehr
dem Zweck eines Blitzableiters besser zu entsprechen, wenn man die Anlage so
herstellt, daß das verwendete Metall den besten
Leitungsweg von allen in der Nähe befindlichen für Spannungselektricität besitzt.
Wird der gespannten Elektricität zu ihrem Ausgleich ein sehr langer dünner Draht
geboten, so beobachtet man oft, daß, statt dieser Leitung zu folgen, die
Elektricität von ihr abspringt und einen kürzeren Weg, etwa durch die Luft, nimmt,
trotzdem sie hier einen viel größeren Widerstand zu überwinden hat. Dies wird
bekanntlich bei Telegraphen-Blitzableitern benützt, indem man zwei
Metallkämme mit ihren Zinken einander gegenüber stellt, ohne daß diese in leitender
Verbindung mit einander stehen. Die Entladung der atmosphärischen Elektricität
erfolgt dann hauptsächlich durch den Luftraum zwischen den Kämmen und nur ein
kleiner Theil derselben durch die Windungen des Relais.
Ist es daher mit Schwierigkeiten verknüpft, die Führung eines Blitzableiters zum
feuchten Boden in möglichst senkrechter Richtung herzustellen, und ist man
genöthigt, lange horizontale Leitungen bis zu einem günstigeren Bodenterrain
anzulegen, so kann allerdings der Fall eintreten, daß durch die große Länge der
Leitung der Widerstand so vergrößert ist, daß ein Abspringen des Blitzes möglich
wird. In diesem Fall muß der Querschnitt des Drahtes vergrößert werden; ebenso wird
ein größerer Querschnitt nothwendig, wenn in dem zu schützenden Gebäude oder in der
Nähe desselben Metallmassen lagern, wie Eisenschienen und dergl. Diese Specialfälle
werden aber von der ersten Bedingung eingeschlossen, daß nämlich der Blitzableiter
der beste von allen in der Nähe befindlichen Leitern sein
soll, die einen Ausgleich der atmosphärischen Elektricität herbeizuführen im Stande
sind.
Von allen möglichen Fällen läßt sich aber der weitaus größte Theil als unter
gewöhnliche Verhältnisse fallend ausschalten, und für diese ergibt sich eine
vollkommene Unabhängigkeit des Querschnittes von der Länge der Leitung. Es sind dies
die Blitzableiter für solche Gebäude etc., bei denen einestheils keine größeren
Metallmassen lagern, und deren Bauterrain anderentheils nur wenig über dem
Grundwasser liegt.
Geht man von dem Erfahrungssatze aus, daß eine Leitung von Rundeisen von 6 Linien
Durchmesser für diese gewöhnlichen Fälle ausreicht, so ergibt sich das
Querschnittsverhältniß zu Leitungen aus anderem Metall aus folgenden
Betrachtungen.
Damit das Metall unverändert bleibe, muß man es vor allen Einflüssen, die es
schädigen könnten, schützen. Diese schädlichen Einflüsse können mechanischer oder
molecularer Natur sein. Sieht man von den ersteren ab, so bleiben als letztere
vornehmlich StructuränderungenMessing hat bekanntlich die mißliche Eigenschaft, wenn es längere Zeit der
Atmosphäre ausgesetzt ist, brüchig und mürbe zu werden, so daß es seine
ursprüngliche Festigkeit nicht behält., chemische und
Wärmewirkungen. Gegen die Molecularänderungen schützt man sich durch die Wahl eines
passenden Metalles, gegen die chemischen (wie Oxydation etc.) durch einen
nnveränderlichen Ueberzug (Anstrich, Ueberziehen des Leiters mit einer dünnen
Schicht eines edleren Metalles etc.). Gegen die Wärmeeinflüsse kann man sich
nur schützen durch einen ausreichendeu Querschnitt der Leitung. Die Hauptwirkungen
einer Blitzesentladung sind aber gerade die thermischen, und diese dürfen nie so
groß sein, daß der Draht Structuränderungen erfährt, noch sich so weit erwärmt, daß
die hohe Temperatur dem Leitungsdraht selbst oder seiner nächsten Umgebung schädlich
wird.
Es sind die Untersuchungen von P. Rieß, welche hier ihre
praktische Anwendung finden, nämlich die über die Wärmeerzeugung durch eine
elektrische Entladung in den einzelnen Theilen eines
Leiters.
Man gehe also von der Forderung aus, daß kein Theil des Blitzableiters sich soweit
erwärmen soll, daß dadurch in irgend einer Weise für ihn oder seine Nachbarschaft
Gefahr droht; oder man sage, die Temperaturerhöhung, durch einen Blitzschlag
erzeugt, darf ein gewisses Maß nicht überschreiten. Eine Eisenleitung von 6 Linien
Durchmesser erfülle diese Forderung; wie groß muß alsdann der Querschnitt eines
Blitzableiters sein, welcher aus einem anderen Metall gefertigt werden soll?
Das Maximum der Intensität der bis jetzt beobachteten Blitzschläge, für welches jene
Normalleitung ausreicht, sei J, so wird diese Intensität
weder verringert noch vermehrt, ob man auch einen Blitzableiter von größerer oder
geringerer Leitungsfähigkeit, anlegt; denn man bedenke, daß der elektrische Strom
außer durch das Metall des Leiters auch durch ein großes Stück Luft zu schlagen hat,
deren Leitungsfähigkeit gegen die des Blitzableiters verschwindend klein ist. Die
Wärmemenge, die durch eine elektrische Entladung in einem Theile des ganzen
Leitungsweges erzeugt wird, ist proportional dem Widerstande desselben. Die
Temperaturerhöhung, welche das Stück des Leiters erfährt, ist abhängig außer von der
entwickelten Wärmemenge von seiner specifischen Wärme, seiner Masse und seinem
Wärmeleitungsvermögen. Bei atmosphärischer Luft oder trockenem Erdreich ist die
Temperaturerhöhung trotz der großen Masse, welche erwärmt wird, so groß, daß in
ersterer Lichterscheinung, der Blitz, sichtbar wird, und in letzterem Schmelzungen
entstehen, die unter dem Namen Blitzröhren bekannt sind. Das geringe
Wärmeleitungsvermögen der Luft und des trockenen Erdreiches verhindert die
Ausbreitung der Wärme; die Wirkungen der letzteren concentriren sich auf einen
äußerst engen Weg. Das Metall des Blitzableiters wird indeß erwärmt, indem alle
Punkte eines Querschnittes des Drahtes die nämliche Temperatur gleichzeitig
annehmen.
Sollen zwei Blitzableiter aus verschiedenen Metallen dieselbe Temperaturerhöhung
erfahren, oder soll diese in den einzelnen Theilen einer Leitung, die aber aus
verschiedenen Metallen bestehen mag, nicht über das nämliche Maß gehen, so liefert
uns diese Bedingung die untere Grenze des Querschnittes der verschiedenen Metalle,
unter welche nicht gegangen werden darf.
Bezeichnet man mit
Δ
R
den elektrischen Widerstand eines Stückes der Leitung von der Länge ΔL,
I
das erfahrungsmäßige Maximum der Intensität einer Vlitzesentladung,
Δ
W
die durch I in ΔL erzeugte Wärmemenge, so ist
bekanntlich:
ΔW = C. J2.
ΔR,
wo C eine Constante ist, deren
Größe von der Wahl der Einheiten abhängt. Die Temperaturerhöhung ergibt sich
folgendermaßen.
Bezeichnet
Δ
M
die Masse des in ΔL enthaltenen Leitungsstückes,
q
den Querschnitt,
s
das specifische Gewicht,
w
die specifische Wärme,
r
den specifischen Widerstand der Leitung,
so ist die Temperaturerhöhung, welche die Masse ΔM erfährt,
Textabbildung Bd. 216, S. 367
Der Widerstand ΔR des Leitungsstückes ergibt sich zu
Textabbildung Bd. 216, S. 367
So lange also r, s und w dieselben Werthe
behalten, bleibt auch q constant, da die
Temperaturerhöhung T als Constante, als erlaubtes
Maximum anzusehen ist.
Für die Praxis reicht es vollkommen aus, wenn man annimmt, daß sich s und w nur gleichzeitig
ändern können; d. h. die geringen Unterschiede der Dichte und specifischen Wärme
desselben Materiales sind für den vorliegenden Zweck als verschwindend zu
betrachten, hingegen muß man die bessere und geringere Metallsorte hinsichtlich
ihres specifischen elektrischen Widerstandes wohl von einander unterscheiden. Für
einen Blitzableiter aus einem anderen Metall oder für ein Leitungsstück desselben
Blitzableiters von anderem Metall ergibt sich die Constante
Textabbildung Bd. 216, S. 367
wo r1, q1, s1 und w1 dieselbe Bedeutung
haben wie früher. Hieraus findet sich schließlich das Verhältniß der Querschnitte
für verschiedene Metalle
Textabbildung Bd. 216, S. 367
in vollständiger Unabhängigkeit von der Länge des
Leitungsstückes, und zwar proportional der Quadratwurzel
aus dem Verhältniß der specifischen Widerstände, während Kühn unter der Annahme, daß die ganze Leitung stets höchstens den
Widerstand von 0,01631 S. E. haben darf, einfache Proportionalität und Abhängigkeit
des Querschnittsverhältnisses von dem Längenverhältniß vorschreibt.
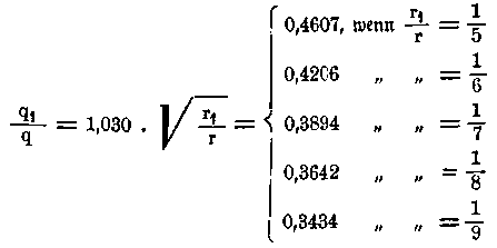
Setzt man für Eisen (Stabeisen von 6 par. Linien = 13,5mm Dicke)
s = 7,788; w = 0,1138; q = 36.π/4 Qu.-Linien = 144qmm und für Kupfer
s1 = 8,95; w1 = 0,0933; r1/r der Reihe nach 1/5 1/6
1/7 1/8 und 1/9, so ergibt sich
Textabbildung Bd. 216, S. 367
q1
= 66,35 60,56 56,07 52,45 oder 49,45qmm, je nachdem der specifische
Widerstand des Kupfers 1/5 bis 1/9 von dem des Eisens ist. Dieser größere
Querschnitt des Kupfers ändert auch die bei Kühn
angeführten Preisverhältnisse, und da der verzinkte Eisendraht für telegraphische
Zwecke jetzt massenhaft hergestellt wird, so stellt sich derselbe aus diesem Grund
schon um mindestens 25 Proc. billiger, als der dort angeführte Preis sagt. Rechnet
man das größere Querschnittsverhältniß von Kupfer zu Eisen hinzu, so wendet sich der
Vortheil ganz entschieden auf Seite des verzinkten Eisendrahtes, wenn man bedenkt,
daß man diesen Draht in Seilform herstellen kann und also neben der
Unveränderlichkeit noch den Vortheil hat, daß Compensationen, durch
Temperaturwechsel bei massiven Metallstangen nothwendig, hier fortfallen. (Poggendorff's Annalen der Physik, 1875 Bd. 154 S. 299.)