| Titel: | Hydraulischer Reactions-Freifallbohrer am Bohrschlauche mit continuirlichem Bohrschlammauftrieb; von Julius Noth in Dukla (Galizien). |
| Fundstelle: | Band 216, Jahrgang 1875, Nr. , S. 123 |
| Download: | XML |
Hydraulischer Reactions-Freifallbohrer am
Bohrschlauche mit continuirlichem Bohrschlammauftrieb; von Julius Noth in Dukla (Galizien).
Nach der österr. Zeitschrift für Berg- und
Hüttenwesen, 1874 S. 436 u. s. f.
Mit Abbildungen auf Taf.
II [c/4]
Noth's hydraulischer Reactions-Freifallbohrer.
Das Eindringen des Erdbohrers in größere Tiefen ist trotz mehrfacher Verbesserungen
auf dem Gebiete der Bohrtechnik immerhin noch ein sehr mühsames und durch
verschiedene Momente erschwertes. Diese das Erdbohren erschwerenden Umstände lassen
sich in Folgendem zusammenfassen. Zunächst verursachen häufiges, bei den bisher
üblichen Bohrmethoden nicht zu umgehendes Einlassen und Aushängen der
Bohrinstrumente erheblichen Zeitverlust. — Ferner erleidet die Arbeit mittels
stoßenden Bohrers einen bedeutenden Effectverlust; auch nützt sich das Werkzeug bei
Durchdringung des continuirlich gebildeten Bohrschlammes rasch ab. — Einen
weiteren Zeitverlust bringt die nothwendige Beseitigung des Bohrschlammes mit sich.
— Das langsamere Vordringen des Bohrers selbst bedingt Erweichung und
Beschädigung der Bohrlochswände, Verröhrung und schließlich Verengerung des
Bohrlochsdurchmessers, vermehrt überhaupt die Unfälle, deren Ueberwindung das
Erdbohren zu einer schwierigen, unsicheren und unberechenbaren Arbeit macht.
— Endlich äußert sich die Wirkung des Stoßes, den der stoßende oder fallende
Bohrer ausübt, nachtheilig auf die Bohrlochswände, an deren Erhaltung wesentlich
liegt, sobald es sich um Erbohrung größerer Tiefen handelt.
Die Vortheile des Seilbohrens gegenüber dem Bohren am Gestänge wurden bereits
allgemein anerkannt und so vielfach hervorgehoben, daß man mehr und mehr bemüht ist,
die Nachtheile, welche dieser Bohrmethode noch anhaften, durch geeignete
Verbesserungen ganz zu umgehen, oder doch weniger fühlbar zu machen. In diesem
Streben vereinigte man schließlich das Freifallbohren am Bandseile mit regelmäßigem
Umsetzen des Bohrers, konnte aber bisher, ohne nicht die Geschwindigkeit beim
Erdbohren selbst bedeutend herabzusetzen, den beim Drehen des Seiles und bei dem Umsetzen des
Bohrers entstandenen Effectverlust nicht vermeiden. Ebenso bedingt das regelmäßige
Abwerfen der Bohrstücke durch die meisten Freifallinstrumente am Seile die
Einhaltung einer gewissen Grenze der Geschwindigkeit, mit welcher gebohrt werden
darf, d. h. eine beschränkte, verminderte Anzahl von Spielen, mithin einen
Geschwindigkeitsverlust beim Bohren selbst. Beispielsweise wirft das wegen seiner
Einfachheit bekannte und durch feste Ausführung vorzügliche Freifallinstrument von
Fauck, das ganz ähnliche von Rumanowsky, das von Zobel u. A. sicher ab,
sobald die Anzahl der Spiele per Minute durchschnittlich die Zahl 20 nicht
übersteigt und wenn man mit Anwendung von Contrebalancen und Prellvorrichtungen
arbeitet.
Während sich diese verschiedenen Anwendungen des ursprünglich Kind'schen genialen Gedankens der Benützung des Wasserdruckes zum Abwerfen
des Bohrers wirklich in der Praxis Eingang verschafften, blieben alle die bisherigen
Vorschläge zur Verbesserung der Reinigungsmethode auf Versuche beschränkt, und nach
wie vor wendet man mit wenig Ausnahmen zur Beseitigung des Bohrschlammes aus einem
Bohrloche das Schlämmen mittels eines Schlammlöffels an.
Der Grund, warum die zahlreichen Verfahrungsweisen, das Bohrloch zu reinigen, sich
nicht allgemeineren Eingang zu verschaffen vermochten, liegt darin, daß dieselben
einestheils auf Anwendung complicirter Einrichtungen beruhten, daß sie anderentheils
in die alten Gebrechen der Gestängverwendung zurückverfielen, die wir gerade zu
umgehen anstreben. Einige Bohrtechniker umhüllten z. B. die unteren Bohrwerkzeuge
mit einem Mantel, in welchem sich der Bohrschlamm während des Bohrens selbst eine
gewisse Zeit hindurch ansammeln konnte (Frommann auf
Gerhardsgrube bei Saarbrücken u. A.). Andere bedienten sich, um während des Bohrens
gleichzeitig schlämmen zu können, der Schlammfänger oder Pumpen (Degenhardt, Karsten's Archiv
Bd. 7(1834) S. 185; Brandes, Bergwerksfreund Bd. 10
(1846) S. 491).
Man erhöhte zwar zuweilen durch solche Versuche das Auftreten der ohnehin zahlreichen
Unfälle beim Erdbohren, doch sind diese Neuerungen trotzdem nicht a
priori zu verwerfen, wenn sie nicht gerade auf einer
augenscheinlichen Zweckwidrigkeit oder mechanischen Unrichtigkeit fußen.
Oft führt ein richtiger Gedanke zu einer neuen Epoche in einem Zweige der Industrie
oder Wissenschaft, und wenn derselbe auch nicht durch seinen Schöpfer zur höchsten
verwendbaren Vollkommenheit gelangte, so gab er doch den Impuls zu neuem Streben
nach Vervollkommnung dieses besonderen Industriezweiges. So war der originelle
Gedanke
Fauvelle's, eine Röhrentour anzuwenden, durch welche
mittels Wasserdruck der Bohrschlamm während der Bohrarbeit zu Tage getrieben werden
könne, zu naheliegend und bot zu viele in die Augen springende Vortheile, als daß
derselbe nicht zu vielfachen Versuchen geführt hätte. Chanoit und Catelineau gründeten auf Fauvelle's System die bohrende Pumpe (v. Seckendorf im Bergwerksfreund, Bd. 22 (1860) S. 659; v.
Eicken, Zeitschrift für Berg-, Hütten-
und Salinenwesen, Bd. 13 S. 177). Bekannt ist der patentirte Erdbohrer von Laué (vergl. 1852 124
165).
Obgleich man dem System Fauvelle's gewichtige Mängel
vorgeworfen hat, namentlich Anwendung hohler Gestänge, Versackung des Bohrschlammes
in Bohrlöchern mit nicht steigenden Wässern oder in Wasser aufsaugenden Bohrlöchern,
so gründete sich doch neuerdings das Diamantbohren sowie das Röhrenbrunnenbohren auf
dasselbe Princip und verschafften sich letztere beide Verfahrungsarten in der Praxis
wirklich Eingang, wenn auch ihre Anwendung nur unter beschränkten Verhältnissen
angezeigt ist. Man bedient sich hierbei entweder eines hohlen Gestänges, an dessen
Tiefstem befestigt der Bohrer wirkt, sei dies nun stoßend, fallend oder drehend,
während ein auf das in den Röhren befindliche Wasser durch eine Druckpumpe
ausgeübter Druck den Auftrieb des Wassers und Bohrschlammes fortwährend bewirkt;
oder man übt einen Druck auf das im Bohrloche befindliche, die Leitungsröhre
umgebende Wasser aus, so daß der Wasser- und Schlammauftrieb durch die
Röhrentour hindurch nach Oben erfolgt.
Bedingungen zum Gelingen einer Bohrung nach dem einen oder dem anderen soeben im
Princip erörterten Verfahren sind weiches, vollkommen gleichartiges Gestein,
regelmäßig geschichtetes Gebirge, Abwesenheit von Seitendruck, geringer
Bohrlochsdurchmesser, Disposition über große Betriebsmittel. Bei eingetretenen
Unfällen, Verklemmungen, Brüchen möge man lieber die Bohrung aufgeben, als sich
geraume Zeit in fruchtlosen Rettungsversuchen ergehen.
Noch beschränkter ist die Anwendung des Diamantbohrverfahrens, welches eine Zeit lang
viel von sich reden machte, als unpraktisch oder zu wenig ausgebildet verworfen
wurde, in neuerer Zeit jedoch etwas verändert, wenn auch nur einseitig verbessert
als Beaumont's Diamantbohren wieder auftauchte und in
vielen hervorragenden technischen Blättern warm empfohlen wird. Eine genauere
Prüfung dieses Bohrverfahrens läßt jedoch jeden erfahrenen Bohrtechniker sofort die
Nachtheile desselben erkennen, obgleich das Princip der Wirkung des stoßenden
Bohrers mechanisch
richtig bei dieser Bohrmethode durch die einfachere rotirende Bewegung unter
constantem Drucke ersetzt worden ist.
Ich fühlte mich daher im Interesse der Wissenschaft und Praxis veranlaßt, eine
Abhandlung über die wirklich bisher durch dieses Diamantbohrverfahren erzielten
Resultate und insbesondere über die Nachtheile desselben zu verfassen, die in einem
hervorragenden technischen Blatte ihre Verbreitung binnen Kurzem finden wird.
In allerneuester Zeit tritt Fauck mit einem Fortschritte
zu Tage, nach welchem zwar das Einführen des Wassers in Röhren unter continuirlichem
Drucke beibehalten wird, jedoch benützt derselbe eine Fabian'sche Freifallscheere mit einem excentrischen Erweiterungsbohrer,
wie solche in den Oelregionen Amerikas und namentlich in Canada bei Bohrungen
angewendet werden. Die Verröhrung des Bohrloches wird mit dem Bohren zugleich eine
Zeit lang, ich sage nicht ungehindert, doch weniger gehindert, durch Seitendruck
nachgetrieben. Fauck führt das Wasser aus der
Leitungsröhre in einen die Bohrwerkzeuge umgebenden Mantel bis zum Bohrer, woselbst
das Wasser durch Oeffnungen ausstürzt.
Mit einem Bohrmeisel (Fig. 37), dessen untere
Schneide beispielsweise 150 Mm. lang ist, bohrt man ein Loch von 2×87 = 174
Mm. ab. Die meisten Bohrer überhaupt bohren excentrisch, wegen Ungenauigkeit der
Schmiedarbeit, welcher die Bohrer beim Schärfen unterliegen. Das Abgleiten des
Bohrers von steilen Wänden wird durch Stege a, b, c, d am unteren Rande des Mantels verhindert, zwischen denen andererseits das
Durchgleiten des Bohrers bis zum Tiefsten ermöglicht ist.
Ein praktisches Ergebniß dieses Verfahrens bis zu größerer Tiefe liegt dermalen nicht
vor; es ist jedoch nicht schwer, im Voraus zu erkennen, daß dieser excentrische
Erweiterungsbohrer, welcher blos durch Stoß wirkt, im gleichartigen milden Gesteine,
bei horizontaler oder schwach geneigter Schichtung rasch vordringen dürfte, wie er
eben in Amerika nur angewendet wird, sobald man Röhren zur Verwahrung der
Bohrlochswände oder zur Absperrung des Wassers vom Bohrlochsmittel nachtreiben will.
Im härteren Gesteine, und namentlich beim Auftreffen des Bohrers auf steil
gerichtete Wände, Linsen oder beim Zerbohren von in das Bohrloch einragenden
Geröllstücken, mag ein günstiger Erfolg trotz freien Herabfallens höchst zweifelhast
sein
Leider ist auch bei Fauck's neuem, sinnreichem Versuche
die Anwendung steifer Wassereinführungsröhren, mithin hohler Gestänge nicht
umgangen, somit die Gefahr der Unfälle beim Erdbohren vermehrt, die sich in der That
bei den bisher vorgenommenen Versuchen zeigten. Da außerdem die Anzahl der
Balancierspiele 15, höchstens 20 pro Minute betragen darf, damit der Krückelführer im Stande ist, das
Bohrstück abzuwerfen und wieder zu fangen, so ist die Bohrgeschwindigkeit eben auch
eine beschränkte, und dürfte das Verfahren, bevor es nicht von einzelnen
Unvollkommenheiten befreit worden ist, nur wenig Verbreitung finden.
Die Vortheile des Seilbohrens mit denen des ununterbrochenen Ausschlämmens durch
Wasserauftrieb zu vereinigen, stellte ich mir zur besonderen Aufgabe und wurde bei
Lösung derselben besonders durch werthvolle Winke von Seite des k. k. Bergrathes
Hrn. Egid Iarolimek in Wien unterstützt, so daß ich nicht
umhin kann, die Mitwirkung und Aneiferung desselben dankend anzuerkennen.
Ich wählte für das neue Erdbohrsystem den Ausdruck „ Reactions-Freifallbohren“, weil das Umsetzen des
Bohrers durch die Reactionswirkung des aus den Bohrwerkzeugen ausfließenden und vom
Bohrorte durch den freien Fall derselben verdrängten Wassers erfolgt.
Das Bohrseil ist bei dem Reactions-Erdbohren ersetzt durch einen Bohrschlauch, welcher aus einzelnen längeren, durch
Schlauchmuffe verbundenen, und kürzeren, durch Holländer aneinander gekuppelten
Hanfschläuchen besteht. Die Holländer der einzelnen Bohrschläuche sind mit
Verschraubungen versehen, deren Muffe sich ungehindert auf eine Seiltrommel von 316
Mm. großem Durchmesser bei Aufwickelung des Bohrschlauches auflegen. Um die
Muffvorsprünge bei der Aufwickelung des Bohrschläuches noch weniger fühlbar zu
machen, und damit der Schlauch bei seiner auf und nieder gehenden Bewegung in der
Mitte des Bohrloches spiele, sind über jeder Verschraubung Leitungen angebracht.
Diese sind von Guttapercha, ihre Form für weite Bohrlöcher ist ein voller
Doppelconus, für enge Bohrlöcher ein vierflügeliger, also ausgerippter Doppelconus,
welcher in beiden Fällen einen Durchgang für den Bohrschlauch in seiner Achse
besitzt. Das Wasser kann im Raume, welchen die Aussparungen zwischen der
Bohrlochswand übrig lassen, ungehindert empordringen. Bei Beschreibung der
Bohrwerkzeuge komme ich auf die Erklärung der, die Schlauchverbindungen
darstellenden, Abbildungen Fig. 26 und 27 zurück.
Die Länge der mit Gerbstoff imprägnirten, im Inneren mit Paragummi gedichteten und
geglätteten Hanfschläuche überschreitet zwar gewöhnlich nicht 100 Meter, jedoch
dürfte kein Grund vorliegen, weshalb man nicht Schläuche von unbeschränkter Länge
anzufertigen im Stande wäre und ihnen eine größere als die übliche Wandstärke von
3,8 Mm. ertheilen könnte.
Die Wandstärke ω und die Dichtung der einzelnen Bohrschläuche richtet
sich:
1) nach der zu tragenden Last — und diese nach den
Dimensionen des Bohrloches und der Schwere der bei Bohrung desselben anzuwendenden
Bohrinstrumente;
2) nach dem Drucke, den man dem Wasser ertheilen muß, damit
durch dessen Geschwindigkeit überhaupt das losgebohrte Bohrmehl aufgetrieben und aus
dem Mundloche des Bohrloches geschleudert werde.
Um die Wandstärke des Bohrschlauches zu bestimmen, muß man den Querschnitt desselben
berechnen, und um diesen zu ermitteln, ist es nöthig, sich über das passendste
Verhältniß zwischen Bohrschlauchsdurchmesser und Bohrlochsdurchmesser klar zu
werden.
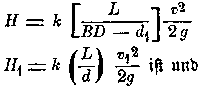
Berücksichtigt man bei Bestimmung dieses Verhältnisses lediglich das Minimum der
Reibungshöhen, so kommt man leicht zu dem Schlusse, daß ein Minimum derselben dann
erreicht wird, wenn der Widerstand (H1) des Wassers im Schlauche
gleich dem Widerstände (H)
des den Bohrschlauch umgebenden Wassers ist, nämlich des zwischen Bohrschlauch und
Bohrlochswand befindlichen Auftriebwassers. Bezeichnet man mit
B D den inneren
Bohrlochsdurchmesser und
L die Tiefe des Bohrloches,
d den inneren,
Schlauchdurchmesser
d1 den äußeren Schlauchdurchmesser,
v die Geschwindigkeit des aufgetriebenen Wassers,
v1 die Geschwindigkeit des
Injectionswassers,
so muß, damit durch den Bohrschlauch dieselbe Wassermenge
eingeführt werde, die zum Auftrieb gelangen soll:
(BD2 - d12) v = d2v1,
da aber
Textabbildung Bd. 216, S. 127
H = H1 sein soll,
so läßt sich d1 und v1
bestimmen.
Man würde jedoch in eine Ungereimtheit verfallen, wollte man blos das Minimum der
Reibungshöhen als maßgebenden Factor in Betracht ziehen und hierüber andere Momente
vernachlässigen. Noch sind zu berücksichtigen das Gewicht und der Preis des
Bohrschlauches.
Das Gewicht eines Bohrapparates zum Niederbringen eines Bohrloches von 316 Mm.
Durchmesser übersteigt nicht 224 Kilogrm., folglich im Wasser etwa 200 Kilogrm.
Stellt man sich den Hanfschlauch als ein zusammengerolltes Hanfbandseil vor und
setzt den Durchmesser des um die Litzen beschriebenen Kreises gleich 30 Mm., so
beträgt das Gewicht des laufenden Meters Seil 0,95 Kilogrm.; beispielsweise für 316
Meter Hanfschlauchlänge 300 Kilogrm., im Wasser jedoch nur 150 Kilogrm. Die Gesammtbelastung
des Hanfschlauches, selbst wenn er seiner ganzen Länge nach in Anspruch genommen
ist, beträgt demnach 350 Kilogrm. Für größere Tiefen wird das Bohrwerkzeug zwar um
50 Kilogrm. leichter, das Eigengewicht des Hanfschlauches jedoch bei einer Länge
desselben von 632 Meter um das Doppelte größer. Man erhält demnach eine
Gesammtbelastung von 450 Kilogrm. — eine Belastung, die nicht die Hälfte der
zulässigen Belastung erreicht, denn der Sicherheitsmodul eines Hanfseiles, dessen
Durchmesser 1 Decimeter nicht übersteigt, beträgt pro 1 Qu.-Cm. 160 Kilogrm.,
für Gespinnste mindestens 130 Kilogrm.
Hat man es nun mit einem Hanfschlauche von 7,13 Qu.-Cm. zu thun, so verträgt
derselbe über 900 Kilogrm. Belastung bei einer Wandstärke von 2,2 bis 3,8 Mm.
Einem Querschnitte von 7,13 Qu.-Cm. und der bei Rohhanfschläuchen gewöhnlichen
Wandstärke von 3,8 Mm. entspricht ein äußerer Schlauchdurchmesser von 72,4 und ein
innerer von 65,8 Mm., und hat man somit eine doppelte Sicherheit des Bohrschlauches
selbst bei der höchsten Belastung von 450 Kilogrm.
Was den Preis des Bohrschlauches anlangt, so gestaltet sich derselbe nicht viel höher
als der eines Bandseiles oder eines eisernen Gestänges. Es kosten je 94,8 Meter rohe
Hanfschläuche vom besten rheinländischen Material inclusive Verbindungsstücke 150
Gulden österr. Währ. Die nämliche Länge gummirter und mit Gerbstoff imprägnirter
Hanfschläuche kostet 390 Gulden.
Im Verlaufe der Bohrung, sobald eine größere Tiefe erreicht wird und sich der
Bohrlochsdurchmesser verjüngt hat, kann man übrigens auch die lichte Weite des
Bohrschlauchdurchmessers verringern, und schon bei 26 Mm. lichter Weite kosten je
94,8 Meter Länge rohe Hanfschläuche 90 Gulden, gummirte und mit Gerbstoff
imprägnirte Hanfschläuche 240 Gulden.
Der Auftrieb des Wassers braucht selbstverständlich um so geringer zu sein, je
kleiner die Gesteinskörner sind, die fortgeführt werden sollen; am geringsten, wenn
anstatt der Gesteinskörner Bohrschlamm beim Bohren entsteht, wie dies beim
Durchbohren von Schieferthonen, Thonschiefern, Gyps, Kreidearten u. a. ähnlichen
Gebirgsarten mehr oder weniger der Fall ist. Der durch das Bohren in thonigen
Gesteinsarten gebildete Bohrschlamm vermengt sich mit Wasser aufs Innigste und
bleibt in demselben längere Zeit suspendirt, so daß man in diesen Fällen
Schlammwasser, Wasser von größerem specifischen Gewicht auszutragen hat. Das Bohren
in härteren Gesteinsarten erzeugt gröbere Gesteinsstückchen, diese aber werden bei nicht
zureichendem Wasserauftrieb nur bis zu unbedeutender Höhe geführt, zurück unter das
Bohrstück fallen und von diesem zu feinem Sand zermalmt werden; daher die
Erscheinung, daß auch beim Bohren auf gewöhnliche Weise das Bohrmehl um so feiner
ist, je härter das Gestein, so daß das Bohren in hartem Sandstein Sand gleich dem
feinsten Streusand erzeugt.
Nimmt man nun beispielsweise den Durchmesser D von Gesteinskörnern = 1 Mm. an, die Dichte
derselben δ = 2,5, so erhält man nach der bekannten Rittinger'schen AufbereitungsformelRittinger's Aufbereitungskunde, S. 191. Diese
Formel gibt den Durchschnittswerth für solche
Gesteinskörner, welche der Siebclasse vom Lochungsdurchmesser D angehören, und
ist die Geschwindigkeit v innerhalb gewisser Grenzen auch von der Form der
Körner abhängig, weshalb dieselbe in der Praxis — auch abgesehen von
zufälligen Erweiterungen des Bohrlochquerschnittes etc. — größer zu
halten wäre, und würden wir rathen, eben auch bei milden, leicht
pulverisirbaren Gesteinen mit derselben nicht zu sparen, weil hier
vergleichsweise viel Schmand abfällt und sichere Reinhaltung des Bohrsumpfes
dem Vordringen des Bohrers jedenfalls sehr förderlich ist.E. I, wenn v die Fallgeschwindigkeit des
Kornes im Wasser ist:
Textabbildung Bd. 216, S. 129
für angenommenen Fall:
Textabbildung Bd. 216, S. 129
= 0,0945 Meter,
wofür der Einfachheit halber v = 0,1 gesetzt werden darf.
Bei 0,072 M. (d1) äußerem
Schlauchdurchmesser und 0,237 M. (BD) innerer lichter
Weite des Bohrloches müßte der Wasserzufluß (Wq) per
Secunde durch Einpumpen mehr als 0,004 Kubikmeter betragen, um Bohrmehl aus 1 Mm.
groben Sandkörnern auszutragen;
denn Wq = (BD2–d12) π/4 v
Textabbildung Bd. 216, S. 129
= 0,004 Kubikmeter.
Da ferner die gleiche Wassermenge durch den Bohrschlauch getrieben werden muß, welche
zwischen dem Bohrschlauche und der Verröhrung ausgetragen wird, so ist eine
Geschwindigkeit des Wasserstrahles im Bohrschlauche v1 = 1,175 Meter nöthig, denn es ist:
Textabbildung Bd. 216, S. 129
Hieraus läßt sich die Geschwindigkeitshöhe (GH) zur Ueberwindung der
Reibungswiderstände
α) im Bohrschlauch (G1H1),
β) an den Bohrlochswänden (G2H2),
γ) an der äußeren Peripherie des Bohrschlauches (G3H3)
berechnen, und ist
GH = G1H1 + G2H2 + G3H3.
Darcy [Recherches
experimentales (1857)] gibt für glatte Metallröhren, deren
Reibungscoëfficient demjenigen im Inneren gummirter Hanfschläuche entsprechen würde,
während für Rohhanfschläuche der Werth doppelt zu nehmen sein dürfte, die
Formel:
GH = (0,001014 +
0,0000267/D)L/D v2.
Führt man für den oben angeführten speciellen Fall die einzelnen Werthe ein, und zwar
für:
α
D = d = 0,066 MeterL = 316 M.v = v1 = 1,175 M.,
so solgt G1H1 =
9,407 M.
β
D = BD = 0,237 M.L = 316 M.v = v1 = 0,1 M.,
demnach G2H2 =
0,015 M.
γ
D = d1 = 0,072 M.L = 316 M.v =
v1 = 0,1 M.,
mithin G3H3 =
0,12 M.
GH =
9,407 + 0,015 + 0,12 = 9,54 M.
Rechnet man hierzu 15 Proc. auf verschiedene Reibungswiderstände an den Verbindungen
der Bleche, an den Führungen, an den Bohrwerkzeugen, Contraction des Wasserstrahles
u. s w., so resultirt als Druckhöhe 9,54 + 1,43 oder 11 Meter.
Die nöthige Kraft, um den Schlammauftrieb zu bewirken, ergibt sich für das angeführte
Beispiel P = 0,004 ×
1000 × 11 = 44 Kilogramm-Meter, und da endlich 76 M.-Kg. = 1
Pferdekraft, so hat man eine Kraftaufwand von 0,6 Pferdekraft nöthig, um den
continuirlichen Schlammauftrieb hervorzubringen.
Für die Tiefbohrungen selbst von 632 Meter und bis auf 0,158 Meter vermindertem
Bohrlochsdurchmesser unter übrigens gleichen Verhältnissen würde der Kraftaufwand
kein größerer sein; denn man erhält in diesem Falle v1 = 0,4546 M.; Wq = 0,00155 Kbm.; GH = 8 M.; 12 M. Druckhöhe
und 18 M.-Kg. oder 0,25 Pferdekraft Kraftaufwand. Für Bohrungen von
geringerer Tiefe und geringerem Bohrlochsdurchmesser würde die Kraft eines Arbeiters am Pumpenschwengel vollkommen genügen, um
den Bohrschlammauftrieb durch Einpumpen von Wasser beständig zu bewirken.
Versuche, von Chanoit und Catelineau angestellt und veröffentlicht, ergaben, daß ein Wasserstrom von
v = 0,1 Meter Geschwindigkeit feinen Sand, v = 0,2 M. groben Sand, v = 0,5 M. Geröll
von 20 Mm. Durchmesser und v = 1 M. alle Kiesel fortbewegte.
Es wäre wünschenswerth, wenn auch von anderer Seite Versuche in dieser Richtung
vorgenommen und deren Resultate gewissenhaft veröffentlicht werden möchten, damit
man diese Resultate mit denen vergleichen könnte, die sich durch Berechnung
ergeben.
Es geht ferner aus obigen Betrachtungen hervor, daß für sehr weite Bohrlöcher, etwa
für Schachtbohrungen, es angezeigt wäre, das den Bohrschlauch umgebende Wasser einem
constanten Drucke auszusetzen und den Bohrschlamm durch das Innere des
Bohrschlauches zum Auftrieb gelangen zu lassen. Hierüber fehlen mir jedoch die Erfahrungen, und ich
beschränke mich daher in Folgendem lediglich auf die Beschreibung der
Bohreinrichtung und Bohrinstrumente, welche man bereits mit Vortheil beim Pressen
des Injectionswassers durch den Bohrschlauch anwendet.
Der Bohrschlauch hat die Tendenz, sich platt aufzuwickeln, sowie derselbe auch vor
seiner Verwendung flach liegt. Es wäre daher gerathen, den Bohrschlauch über eine
Spule (Bobine) auf und über einander zu wickeln. Damit jedoch der Hebelarm, an
welchem die Last wirkt, sich möglichst gleich bleibe, mit anderen Worten, damit beim
Aufwickeln des Bohrschlauches kein erheblich größerer Durchmesser entstehe als der
ursprüngliche Durchmesser der Treibwelle, so läuft der Bohrschlauch nicht auf einem
Seilkorbe über einander, sondern neben sich über eine gewöhnliche Treibwelle. Diese
Treibwelle hat entweder außer ihrer drehenden Bewegung um die eigene Achse noch eine
vor- und rückwärtsgehende Verschiebung in der Richtung ihrer Längenachse zu
erleiden (wie die Bobine bei der mechanischen Spinnerei) oder die Aufwickelung des
Bohrschlauches wird, entsprechend der Umdrehung der Treibwelle, durch zwei
Leitröllchen, deren vorstehende Kranzränder den Schlauch führen, dadurch bewirkt,
daß diese Leitröllchen auf einer Schraubenspindel mit vorund rückwärtsgängiger
Bewegung oder auf zwei nach entgegengesetzter Richtung sich bewegenden
Schraubenspindeln hin und her gleiten. Wegen ihrer Einfachheit ist namentlich die
letzterwähnte Art der Einrichtung für alle Seilbohrungen empfehlenswerth und
dieselbe hat den besonderen Vortheil, daß die Kraft zum Bremsen keine so erhebliche
zu sein braucht, als wenn der Seiltrommeldurchmesser bei jeder Umdrehung um die
doppelte Seilstärke zunimmt und man schließlich außerordentliche Kraft anwenden muß,
um den Bohrapparat zu bewegen. Die bewegende Kraft, den Betriebsmotor, nützt man
jedoch beim Bohrbetriebe bekanntlich sehr unvollkommen aus, weil bei demselben zwar
das Bohren selbst mit Einschluß des Auslöffelns und Einlassens der Bohrwerkzeuge den
bei weitem größten Theil der Zeit in Anspruch nimmt, gleichwohl aber einen geringen
Theil derjenigen Kraft verbraucht, welche nöthig ist, um die Bohrwerkzeuge aus dem
Bohrloche heraus zu fördern.
Bei der Nebeneinanderwickelung des Bohrseiles, oder im gegebenen Falle des
Bohrschlauches, ist man selbst bei bedeutender Tiefe des Bohrloches im Stande, den
ganzen Bohrapparat, sei der Bohrer vor Ort, oder über Tage, leicht zu bewegen; Seil
oder Bohrschlauch wird sich außerdem langsamer abnützen, da ihm die Gelegenheit,
sich zu reiben, benommen ist.
Auch die Seilscheibe in der Höhe des Bohrthurmes sei auf der Achse drehbar und habe
einen im umgekehrten Verhältniß zur Höhe des Bohrthurmes stehenden Spielraum, welcher
der Seilscheibe gestattet, sich auf der Achse hin und her zu verschieben. Bei
Bohrthürmen über 16 Meter Höhe ist eine Verschiebung der Seilscheibe auf ihrer Achse
nicht mehr nöthig.
Die Kranzrinne der Seilscheibe ist nach J. Hirn's Angabe
trapezisch geformt und mit Guttapercha ausgefüttert.
Vom Mundloche des Bohrloches an wird der Bohrschlauch mittels eines Seilwirbels a (Fig. 25) durch ein
Bandseil b aufgeholt. Das Muttergewinde des Seilwirbels
entspricht dem Schraubengewinde d der Ansätze des
Bohrschlauches. Da der Wirbel die doppelte Aufgabe hat, eine bequem lösbare, aber
immerhin sichere Verbindung zwischen Treibseil und Bohrschlauch herzustellen,
gleichzeitig sich leicht zu drehen und bequem über die Seilscheibe zu gleiten, so
sind die Enden e des Wirbelringes, wie bei den zur
Verbindung der einzelnen kürzeren Schlauchstücke (Wechselstücke) dienenden
Holländern e (Fig. 26) derartig
gestaucht, daß sie außer der Drehung um die Verticalachse auch noch eine geringe
seitliche Bewegung um ihre Horizontalebene zulassen und vermöge dieser Eigenschaft
das Umlegen der Verschlüsse um Seilscheibe und Treibwelle gestatten. Der im Früheren
erwähnte Doppelconus f von Guttapercha ist in Fig. 26
dargestellt; derselbe wird am Auftrieb durch eine vorgebundene Schnur g verhindert. Der eigentliche Muff der Verschraubung h ist achtkantig und hat Rippen i1, i2 . . als Angriffspunkte für die Schlüssel. Die
Holländer e sind von Stahl oder von Messing, je nachdem
sie Bohrwerkzeuge von größerem oder kleinerem Gewichte zu tragen haben. Ergänzen
sich die Wechselstücke des Bohrschlauches zu 100 M., so verbindet man zwei solcher
Schläuche x, y durch einen
ungefähr 0,6 M. langen Muff z, welcher aus einem
Schlauchstück besteht, das zur lichten Weite die äußere Weite des Bohrschlauches hat
und mit diesem durch Schusterdraht verbunden ist (Fig. 27). Durch das bloße
Anschwellen des Bohrschlauches im Wasser pressen sich die Wände der Schläuche
äußerst fest an einander und bilden eine höchst solide Verbindung. Es bleibt dem
Ermessen des Bohrmeisters überlassen, die Wechselstücke bei dem jedesmaligen
Aufholen des Bohrschlauches abzuschrauben oder dieselben mit ihren
Verbindungsstücken über die Treibwelle laufen zu lassen. Empfehlenswerth ist
jedenfalls, die kürzeren Stücke, deren Länge zusammengenommen der Höhe des
Bohrthurmes gleich kommt, abzuschrauben.
Beim Bohren wird an demjenigen Ansatz des Bohrschlauches, welcher nicht erheblich
über die Tagebühne emporreicht oder unter derselben zurückbleibt, ein Spiralschlauch
eingeschraubt, dessen entgegengesetztes Ende entweder in eine doppeltwirkende Druckpumpe oder in
einen Wasserbehälter mündet, welcher über dem Balancier in der Weise angebracht ist,
daß sein Mittelpunkt in die Verlängerung der Schwingungsebene des Bohrbalancier
fällt. Unter den obersten Ansatz des Bohrschlauches, an welchen der Spiralschlauch
durch seinen Holländer angeschraubt wurde, greift eine gabelförmige Nachlaßschraube,
welche an dem senkrecht über dem Bohrloche schwingenden Balancierende durch zwei
Panzerketten gehalten wird. Damit die Schwankungen beim Bohren möglichst vermieden
werden und der Bohrschlauch möglichst ruhig in der Verticalachse des Bohrloches
schwinge, legt sich die Kette der Nachlaßschraube über ein der Hubhöhe des Balancier
entsprechend umfangreiches Kreissegment. Dieses Balancierbeschläge besteht aus zwei
durch Schrauben verbundenen Bandeisen, welche mit dem hölzernen Balancier durch
eiserne Arme verbunden sind
Am entgegengesetzten Ende des gleicharmigen Bohrbalancier wirkt entweder der Motor
durch Vermittelung einer Transmission in früher mehrfach beschriebener Weise, oder
direct durch den Kolben eines sogen. Bohrcylinders. Das Bohren mit einem
Bohrcylinder bietet unstreitig weit größere Sicherheit des Betriebes, indem jede
unbedeutende Klemmung sofortigen Stillstand der Bohrbewegung zur Folge hat. Ein Mann
ist im Stande, durch Niederdrücken der Nachlaßschraube den Bohrgang augenblicklich
und bei jeder beliebigen Kolbenstellung zu hemmen, die Gefahr eines Unfalles ist
hierdurch möglichst umgangen. Man ist im Stande, die Hübe äußerst rasch auf einander
folgen zu lassen, ohne daß beim Anheben der Last ein schädlicher Ruck erfolgt. Diese
Einrichtung ist nicht neu, sondern wurde, obgleich vereinzelt, doch namentlich bei
Tiefbohrungen von größerer Bedeutung schon längst angewendet.
Für sogen. Handbohrungen — Bohrungen, bei denen weder Dampfkraft noch
Wasserkraft zur Verfügung steht, wende man anstatt des gleicharmigen Bohrbalancier
einen ungleicharmigen Hebel an und gestalte den Wasserbehälter zum Cylinder einer
Druckpumpe um, deren Kolben, der Schwingung des Bohrschwengels gleichmäßig folgend,
das Wasser in den Bohrschlauch preßt, sobald der Niedergang des Bohrbalancier
erfolgt. Der Wassercylinder dient also nicht blos als Druckpumpe, sondern auch als
Contrebalance, und durch diese Anordnung wird die mechanisch richtigste Ausnutzung
der Bewegung, d. i. ein annähernd gleichförmiger Kraftaufwand beim Auf- und
Niedergang des Bohrbalancier erzielt. Im Uebrigen bleibt sich die Anordnung der
Einrichtung auch für Handbohrung gleich; ich glaube jedoch annehmen zu dürfen, daß
für jede Bohrung über 150 Meter Tiefe bei jetzigen Arbeitslöhnen die Anwendung von Dampfkraft eine
Ersparniß an Regiekosten hervorbringt, um so mehr, wenn Brennmaterial nicht
besonders kostspielig zu beschaffen ist, und wenn es sich um rasche Durchführung
einer Bohrung handelt. Die Wartung und Pflege der Dampfmaschine soll bei diesem
Bohrverfahren Sache des Bohrmeisters sein, da derselbe nicht einmal den Krückel zu
führen hat, sondern blos von Zeit zu Zeit den vom Mundloch ausgestoßenen Bohrschlamm
zu beobachten und Proben abzunehmen hat.
Das für die Tiefe des Bohrloches bestimmte Bohrschlauchende läuft in einen stählernen
Holländer a. (Fig. 28) aus, in dessen
äußeren Mantel b die eigentlichen Bohrwerkzeuge
geschraubt sind. Die Einschnitte c, c sind die Angriffspunkte für die Schlüssel. Der
Schlauch wird dreifach gegen den Holländer gepreßt, nämlich erstens durch eine
vierflüglige Führung D, durch einen Halter E und durch Schnüre F1F2. Die Führung D erhält
den Bohrschlauch und mit ihm zugleich den ganzen oberen Theil der Bohrapparate in
der Mitte der Bohrlochachse, und während seine Einschnitte oder Aussparungen
zwischen den Flügeln dem Wasser und Schlamm ungehinderte Bewegung gestatten,
erschweren die Flügel selbst eine Drehung des Bohrschlauchendes.
Obgleich Führungen von nicht zu unterschätzendem Einfluße, oft unentbehrlich zum
regelmäßigen Bohrbetriebe sind, so hatte man dennoch bisher keine
zweckentsprechenden Leitungsapparate. Ich halte daher die Beschreibung einer von mir
erfundenen und bereits vielfach auch von anderen Bohrtechnikern angewendeten
Leitungseinrichtung für am Platze und lasse, ohne die einzelnen Vortheile
hervorzuheben, die einfache Einrichtung (Fig. 29) für sich selbst
sprechen. Die vier guß- oder schmiedeisernen Flügel a. schließen das am Holländer befestigte Bohrschlauchende (oder hat man es
mit einer Schwerstange zu thun, diese Schwerstange) fest ein, sobald man die
Schraubenbolzen s hinreichend anzieht. Diese Schrauben
dienen gleichzeitig den Röllchen r als Achsen. Die
stählernen Röllchen können bei Abnahme des Bohrlochdurchmessers ausgewechselt und
durch kleinere ersetzt werden. Die Peripherie der Röllchen ist beim regelmäßigen
Bohrbetriebe convex; beim Ausglätten verdorbener Röhren ist die Peripherie der
Röllchen mit Zähnen versehen. Bei engen Bohrlöchern kann man die Flügel
ausschmieden, für weite Bohrungen der Führung ein dem Bedürfniß entsprechendes
Gewicht ertheilen und sie aus Gußeisen anfertigen lassen.
Der Halter E (Fig. 28) besteht aus zwei
Hälften eines Cylinders, an desssen Längsschnittflächen die Ränder h1, h2 so vorstehen, daß sie
durch mehrere Schrauben an einander und gleichzeitig die im Inneren gerippten
schwach gezahnten Cylinderhälften gegen die Schlauchoberfläche gepreßt werden. Um das über beide
Einrichtungsstücke D und E
vorstehende Ende des Holländers ist endlich eine Rebschnur F1
F2 gewunden.
Die Arbeitsstücke, welche nun durch die eigenthümliche Vermittelung des
Bohrschlauches mit der arbeitenden Kraft über Tage in inniger Verbindung stehen,
unterscheiden sich wesentlich von einander und lassen sich in zwei Arten theilen, je
nachdem: 1) stoßend und drehend zugleich, oder 2) nur drehend gebohrt
wird. Hiernach richtet sich auch die Einrichtung der Bohrhütte über Tage selbst.
Von der ersteren, als der seither gebräuchlichen, daher bekanntesten Bohrmethode mit
Benützuug des freien Falles beim Stoßen des Bohrers ausgehend, betrachte ich
zunächst die Bohreinrichtung über Tage. Diefelbe weicht von der üblichen
Bohrvorrichtung der bisherigen Anlagen dadurch ab, daß Prellaparate irgend welcher
Art, als der mechanischen Leistung einer Kraftäußerung schädliche Vorrichtungen,
ganz umgangen sind; ferner alle auf das Reinigen (Löffeln) des Bohrloches vom
Bohrschlamme bezughabenden, früher angewendeten Instrumente und Apparate in Wegfall
kommen.
Auch die Einrichtung der Arbeitsstücke vereinfacht sich wesentlich, denn die
einzelnen Theile bestehen nur aus: 1) einem Freifallinstrumente und 2) dem
Bohrstücke, zusammengestellt aus einer Schwerstange und Bohrmeiselschneiden, durch
welche man den bei bisher bekannten Freifallbohrmethoden kaum zu umgehenden
Bohrmeisel entbehrlich macht.
Die Construction der einzelnen Theile der in Fig. 30 bis 36
dargestellten Bohrwerkzeuge ergibt sich aus deren Functionen; was ihre Anfertigung
anlangt, so erwähne ich im Allgemeinen, daß man die Theile roh zusammenschweißt,
alsdann ausbohrt, oder Gasrohre zur Anfertigung von Bohrapparaten für gewisse
Bohrlochsdimensionen verwendet.
Das Feifallstück ist mit seinem obersten Theile, dem
Halse, an den untersten Theil des Holländers angeschraubt, mit seinem untersten
Theile dagegen an der Schwerstange befestigt, sei es durch Keilverschluß, sei es
durch Verschraubung. Als Freifallstück kann jeder geschlossene hohle Freifallapparat
dienen, ebensowohl der von Zobel, v. Sparre, Fauck, Greifenhagen u. A. Bei Anwendung des Fauck'schen Freifallinstrumentes z. B. müssen die das
Fangen bewirkenden Keile unterhalb des Fallschirmes durch den äußeren Mantel
hindurchgreifen. Bei dem Greifenhagen'schen Instrumente
bewirken bekanntlich Hebelchen an Zugstangen das Fallenlassen des Unterstückes vom
Freifallinstrumente; diese Hebelchen müssen im vorliegenden Falle, ebenfalls durch
den äußeren Mantel des Freifallapparates durchgreifend, das Unterstück am Ansätze
erfassen und fallen lassen, wobei wenig oder kein Wasser aus dem Inneren des hohlen Instrumentes
strömt; das aber etwa entweichende Wasser wirkt auf den Auftrieb des Fallschirmes
günstig ein.
Das Bohrstück (Fig. 30, Fig. 32 und 33) ist ein
hohles cylindrisch geschweißtes, schließlich ausgebohrtes Rohr von Bessemerstahl,
welches 1,3 bis 2 Meter lang ist, am oberen Ende einen Ansatz zum Fangen und zur
Aufnahme des Freifallstückes besitzt, mit welchem es auf eine beliebige Weise fest
verbunden ist. Der untere Theil des Bohrstückes, in Fig. 34 als Durchschnitt
γ - δ, in Fig. 35 als Schnitt nach
α—β dargestellt, ist erheblich gestaucht und hierdurch dermaßen
verstärkt, daß er durch die diametral angebrachten Oeffnungen zum Einschieben der
Kreuzbohrerschneiden G1,
G2 nicht gefährlich
geschwächt wird. Der conisch ausgefeilte Durchgang H1 am Bohrkopfe gestattet das Einschieben der
Bohrerschneide G1,
verhindert jedoch das Ausfallen derselben aus dem Bohrkopfe. Der rectangulär
ausgearbeitete Durchgang H2 läßt das Durchschieben der zweiten Bohrerschneide G2 und das Einschieben des Keiles K zu, sobald die Bohrerschneide G2 durch den Bohrkopf geschoben, über die
erste Bohrerschneide G1
herabgefallen ist und sich in ihren Einschnitt J1 festgesetzt hat (Fig. 31). Sind beide
Bohrerschneiden eingesetzt, der Keil durch den Bohrkopf hindurch gesteckt, so wird
die denselben concentrisch einschließende Blechhülse LL
übergeschoben, und nun ist eine Verrückung des Keiles sowie der Bohrerschneiden
nicht mehr möglich. Diese Blechhülse verdeckt an der Peripherie des Bohrkopfes
eingearbeitete Rinnen — die sogen. Reactionscanäle
M, durch die ein Theil des mit Bohrschlamm vermengten
Wassers, welches sich vor Ort, nämlich zwischen der Bohrlochsohle und dem
emporgehobenen Bohrkopfe befindet, zu entweichen gezwungen ist, da ihm zwischen
Bohrlochswand und Bohrkopf nur ein unbedeutender Spielraum gelassen ist.
Für große Bohrlochsdurchmesser enthalte diese Hülse LL
selbst die Reactionscanäle und sei an den Bohrkopf mehrmals angeschraubt, wie in
Fig. 32
durch die punktirten Linien angedeutet ist. Zwischen den Bohrerschneiden befinden
sich die vier Ausgußöffnungen R, welche den Austritt des
Wassers aus dem Inneren des Bohrstückes vermitteln.
Die Hauptschneide G1
besitzt zwei den Vollbohrer genügend ersetzende Breitbacken U1, U2, von denen der eine (U2) nur bis zur halben Höhe der
Bohrerschneide, d. i. bis zum Untersten des Bohrkopfes reicht, der andere (U1) bis zur vollen Höhe
der Bohrerschneide verläuft. Die Nebenschneide G2 besitzt kleinere Backen V1, V2, ist übrigens ebenso wie die Hauptschneide von
Gußstahl gearbeitet. Man achte sorgfältig darauf, daß die untersten Kanten der
Bohrerschneiden nach dem Ausschmieden und Härten eine horizontale Ebene bilden, und
daß dieselben vollkommen fest in einander sitzen. Man halte stets ein Paar Bohrerschneiden zur
Auswechslung bereit. Diese Vorsicht beschleunigt den Betrieb und ist nicht
kostspielig, da diese Bohrschneiden leicht von einem einzigen Schmied zu handhaben
sind, während das Verstählen und Härten größerer Bohrmeisel oft sämmtliche
Bohrarbeiter Stunden lang aufhält, diese Manipulation eine unglaubliche Menge Kohlen
verzehrt und oft schlecht ausgeführt wird. Das Gewicht von einem Paar
Bohrerschneiden beträgt für einen Bohrerdurchmesser von 0,237 Meter 30 Kilogrm., und
da jede Bohrerschneide für sich abgesondert beim Schmieden bearbeitet wird, so hat
der Schmied blos ein Arbeitsstück von 15 Kilogrm. zu handhaben.
Sollen von Zeit zu Zeit Gesteinskerne ausgebohrt werden, so gebe man der
Hauptschneide die zum Kernbohren erforderlichen bekannten Formen, behalte aber den
eigenthümlichen Keilverschluß bei.Für Bohrungen von sehr weitem Durchmesser, in gewissem Sinne Schachtbohrungen, gebe man den Bohrschneiden eine
größere Widerstandsfähigkeit durch Anbringung von Winkeleisen, welche man
gegenseitig und mit der Bohrstange durch starke Schraubenbolzen verbindet.
Man vermeide bei Anfertigung dieses Apparates alles unnöthige Gewicht, weil
bei diesem Bohrsystem stets schmandfreie Bohrlochsohle vorhanden, also kein
bedeutendes Gewicht des Bohrstückes nöthig ist, das frische Gestein
anzugreifen. Den Bohrapparat hänge man an zwei Seilen ein, die in ihrer
Mitte den Bohrschlauch haltend, mit diesem an den jeweiligen
Verbindungsstellen der Schläuche untereinander, durch Laschen verbunden, ein
einziges Hängeseil bilden. Ich darf nicht unerwähnt lassen, daß die
Anwendung eines solchen Apparates nur für Schächte von kleinen Dimensionen
und für Verhältnisse, welche durch gewisse Bedingnisse begünstigt sind,
angezeigt wäre; z. B. könnte man in Gesteinsarten, welche als
Hauptbestandtheile Schieferthon, sandige oder thonige Schiefer,
Mergelschiefer u. a. enthalten, deren Bohrmehl zu Bohrschmand wird und oft
Tage lang fein zertheilt im Wasser suspendirt bleibt, mit Vortheil kleinere
Förder-, auch Wasserschächte mit Hilfe dieses Bohrverfahrens abbohren
— vorausgesetzt, daß eine hinreichende Menge Wassers disponibel wäre,
damit durch die Vermischung des Bohrschlammes mit Wasser eine Mischung von
geringem specifischen Gewichte erzeugt werde, die einestheils durch
Auftrieb, anderentheils durch Auspumpen zu Tage gefördert werden müßte.Dieser Fall würde namentlich bei der Erdwachsgewinnung in den Bergölregionen
Galiziens in Frage kommen, wo mittels Schächten bedeutende Tiefen zu
erreichen sind und wo es sich wegen der schwierigen Wetterführung um das
Niederbringen möglichst vieler Schächte in nicht großer Entfernung von
einander handelt. Die Schächte werden nur in kleinen Dimensionen 1,0
× 1,0 M., höchstens 1,0 bis 1,3 Meter, meist in Schieferletten oder
Mergelthon mit schwachen Sandsteinschichten, der eocänen
(Karpathensandstein) und miocänen Formation angehörend, abgeteuft. Das
Hervorbrechen von schweren und leichten Kohlenwasserstoffgasen, welche das
Bergöl und Erdwachs zu begleiten Pflegen, und die wegen ihrer
Leichtentzündbarkeit und wegen ihres plötzlichen Auftretens, trotz großer
Vorsicht, die man bei Gewinnung jener nutzbaren Mineralien (Leuchtstoffe)
anwendet, oft Anlaß zu gefahrvollen Explosionen geben, erschweren den
Schachtbetrieb ungemein, so daß man sich mit dem Schachtabteufen meist auf
geringe Tiefen beschränkt, überhaupt einen sehr primitiven Raubbau auf
dieses kostbare Material betreibt. Es würde mich zu weit führen, hier
anzugeben, in welcher Weise ein regulärer Bergbau mit Hilfe dieses
Bohrverfahrens auf Bergöl- und Erdwachsgewinnung einzuleiten wäre,
behalte mir daher die ausführliche Behandlung dieses Stoffes für einen
besondern Aufsatz vor, sowie ich auch über die wirkliche Leistung des
Reactionsfreifallbohrers seiner Zeit berichten werde.
Der Vorgang beim Bohren selbst ist ein äußerst einfacher.
Nachdem man die Bohrschneiden in den Bohrkopf eingeschoben und die Verschlußhülse
übergeschoben hat, läßt man den Apparat am Bohrschlauche bis vor Ort nieder,
schraubt den Wirbel am Treibseil vom obersten Ansätze des Bohrschlauches ab, dagegen
den Muff des Holländers am Ende des Spiralschlauches an, setzt die Nachlaßschraube
mit dem Ansätze in Verbindung und öffnet den Hahn zum Einlassen des Wassers in den
Bohrschlauch. Sobald das Ende des Bohrbalancier in den Lothpunkt der Verticalachse
des Bohrloches gerückt worden ist, beginnt das Bohrspiel.
Das Fallenlassen oder Abwerfen des Freifallunterstückes
und Bohrstückes erfolgt beim Niedergange augenblicklich und trotz großer
Geschwindigkeit, mit welcher man bohrt, regelmäßig, also vollkommen sicher, aus dem
Grunde, weil im Moment des Niederganges der Wasserdruck der den Bohrschlauch
umgebenden, den Fallschirm zuvor niederhaltenden Wassersäule überwunden wird von dem
auf die im Bohrschlauche befindliche Wassersäule wirkenden Druck und durch das unter
dem Bohrstück befindliche, beim Niederfalle heftig gepreßte Wasser. Dieser Druck
pflanzt sich folgerichtig fort auf den unteren Theil des Freifallschirmes durch die
leitende Wassersäule und treibt diesen selbst empor. Gleichzeitig strömt Wasser aus
dem Inneren des fallenden Bohrstückes mit großer Heftigkeit aus, es erfolgt eine
Drehung des Bohrstückes vermöge der Reactionswirkung des ausfließenden
Wasserstrahles nach entgegengesetzter Richtung mit der Richtung der
Ausflußmündungen, bis das Bohrstück auf der Bohrlochsohle aufruht. In diesem
Augenblicke eilt der Bohrschlauch mit dem Obertheil des Bohrapparates um die
Fallhöhe nach, und da die Verbindung zwischen Bohrschlauch und Bohrinstrumenten
durch die Holländer gelöst ist, so theilte sich die Drehung dem Obertheil des
gesammten Bohrapparates während des Niederganges entweder gar nicht oder nur
unvollkommen mit, so daß das Bohrstück bei jedem Hübe regelmäßig an einer anderen
Stelle des Bohrortes abgeworfen wird.
Das Maß der Drehung läßt sich leicht durch die früher erwähnten Reactionscanäle nach
Bedürfniß regeln. Die Drehung kann man so weit treiben, daß das Bohrloch bei milden
Gebirgen hinreichend erweitert wird, um die Sicherheitsröhren constant nachtreiben
zu können. Beim Bohren in festerem Gestein, welches trotz seiner Festigkeit zu
Nachfall rasch geneigt ist, erweitere man das Bohrloch unterhalb der
Sicherheitsröhren mit excentrischen Bohrerschneiden derartig, daß die Verröhrung
regelmäßig mit dem Vorschreiten der Bohrung nachgetrieben werden kann. Natürlich
nimmt man in diesem Falle die Seite U2 (Fig. 32) der Hauptschneide zur
Verkürzung und läßt den an ihr bei gewohnlichem Bohren angebrachtem Breitbacken
weg.
Die Stoßwirkung des Bohrstückes durch eine gewöhnliche Rutschscheere ist bei dieser
Bohrmethode allerdings auch ohne freien Fall kräftig, weil das Bohrloch rein
gehalten ist; jedoch glaubte ich aus dem Grunde ein Freifallinstrument anwenden zu
müssen, damit der Bohrschlauch und besonders seine Verbindung mit den einzelnen
Theilen so wenig als möglich zu leiden habe.
Ueberraschend einfach würden sich Bohreinrichtung und Manipulation gestalten bei nur
drehender Bewegung der Arbeitsstücke unter constantem Druck.
Auch das Diamantbohrverfahren hat diesen mechanisch richtigen Weg eingeschlagen, ihn
für gleichartige Gesteinsarten mit unstreitig günstigem Erfolge verfolgt, doch ist
die rotirende Bewegung zwar die mechanisch einfachste Bewegungsart beim Bohren, hat
aber, ich möchte sagen, den bergmännischen Gesichtspunkt zu wenig berücksichtigt,
nämlich die Verschiedenartigkeit der Härte des zu durchbohrenden Gesteins und zu
Folge deren das ungleiche Krafterforderniß, das Gestein zu durchdringen. Es ist
diese Art der Bohrerbewegung wohl ausführbar, weil es in unserer Hand liegt, vermöge
der eigenthümlichen Vermittelung durch den Bohrschlauch, die arbeitende Kraft zu
steigern und wenig geschmälert auf das Arbeitsstück zu übertragen. Letzteres würde
sich zu einer archimedischen Schraube, der Bohrer zu einem Schraubenbohrer
gestalten, dessen Spindel das Bohrort angreifen würde. Ich hebe ausdrücklich hervor,
daß Versuche zuvörderst ergeben müssen, ob diese Bewegungsart in der Praxis mit
Vortheil anwendbar sein würde oder nicht. Ich werde jedoch nicht ermangeln, auch
hierüber Mittheilungen zu veröffentlichen, wenn die anzustellenden Versuche wirtlich
zu einem günstigen Resultate führen sollten.
Bevor ich zum Schlüsse die Vortheile zusammenstelle, welche das
Reactionsfreifallbohren auszeichnen, will ich einige Bedenken widerlegen, die man
gegen das Bohren mit continuirlichem Schlammauftrieb im Allgemeinen ausgesprochen
hat.
Dieses Bohrsystem erfordert Wasser; jedoch ebenso wie für unzählige Dampfmaschinen
das nöthige Speisewasser beschafft wird, so dürfte sich auch in den meisten Fällen
das zum Schlammauftrieb erforderliche Injectionswasser finden lassen. Bei diesem
Einwand berücksichtigt man in der Regel nicht die Formation einer Gegend, in welcher
gewöhnlich Bohrungen angelegt werden.
Der Verlust, welchen der Schlammauftrieb bei Handbohrungen durch Unterbrechung des
Wasserdruckes, mithin durch das Rückfallen der Schlammtheilchen erleidet, wird um
Vieles durch die Geschwindigkeit aufgewogen, mit welcher gebohrt wird in Folge der
Sicherheit des Abwerfens von Freifallstücken. Erfahrungsmäßig geräth durch lebhafte
Bewegung der Bohrinstrumente Wasser und Schlamm in heftige Wallung und innige
Vermischung, welche den Schlammauftrieb, wie früher nachgewiesen wurde, wesentlich
befördert.
Der Einwand, daß das Wasser und die Wasserströmung in manchen Fällen zerstörend auf
die Gebirgsarten der Bohrlochswände einwirke, dadurch Nachfall erzeuge und
Verröhrung nöthig mache, ist vollkommen richtig und beschränkt die Anwendung des
ebenfalls hydraulischen Diamantbohrverfahrens — berührt jedoch weniger das
Reactionsfreifallbohren. Bei letzterem ist die Anwendung eines großen
Bohrerdurchmessers zulässig, daher das Einziehen absätziger Röhrentouren weniger
nachtheilig auf den Verlauf der Bohrung. Es wird hiermit jedoch keineswegs
zugegeben, daß (selbst für salzige Gebirgsarten) die Trockenbohrung vorzuziehen sei,
da notorisch bekannt ist, daß die durch das Einziehen der Sicherheitsröhren
verursachten Kosten weit geringer sind als der Kapitalsverlust, welcher durch den
Schneckengang einer Trockenbohrung aufläuft.
Bei Wasser aufsaugenden Schichten eines Bohrloches hebt die für diesen Fall
angezeigte Verrohrung bald den dem Schlammauftrieb nachtheiligen Einfluß auf,
welcher indessen beim Reactionsfreifallbohren nicht bedeutend genug ist, zu
verhindern, daß der Bohrschlamm nicht wenigstens über die gesammten Bohrwerkzeuge
empor geschleudert werde, wo sich derselbe für diesen besonderen Ausnahmefall in
einem Schlammfänger absetzen kann, ohne die Bohrwerkzeuge durch Verschlammung zu
gefährden, wie es so leicht beim Diamantbohrverfahren oder bei anderen hydraulischen
Bohrarten vorkommt. Auch gestattet das Reactionsfreifallbohren am Bohrschlauch im
Gegensatze zu jenen Bohrverfahren für diesen Ausnahmefall das häufige Ausziehen der
Bohrwerkzeuge ohne erheblichen Zeitverlust, ja sogar das Löffeln, da man es eben
nicht mit Gestängen zu thun hat.
Wasser- und Gaseinströmungen, die beim Bohren in der Tiefe erschlossen werden,
erleichtern den Auftrieb des Bohrschlammes stets, anstatt ihn zu
beeinträchtigen.
Solche Fälle kommen häufig beim Bohren auf Bergöl vor, daher auch das
Reactionsfreifallbohren für Tiefbohrungen auf Bergöl von besonderer Wichtigkeit ist.
Unter anderen Beispielen führe ich an, daß in Targowiska bei einer Tiefe von 250 Meter über 4 Meter
Tiefe in sandigen Schiefern gebohrt ward, ohne daß ein Auslöffeln des Bohrloches
nöthig und möglich gewesen wäre, indem hervorgebrochene Gase den Bohrschlamm
beständig vom Ort bis zum Mundloche, sogar oft über dasselbe emportrieben.
Die wesentlichen Vortheile des Reactionsfreifallbohrens lassen sich in Folgendem
ausdrücken.
1) Der Auftrieb des Bohrschlammens findet bei Handbohrungen nahezu ununterbrochen,
bei Dampfbohrungen continuirlich statt und wird beschleunigt je nach der
Geschwindigkeit, die man den tiefsten Wassermolecülen ertheilt. Das Löffeln des
Bohrschlammes fällt ganz hinweg, desgleichen werden die mit dem Auslöffeln
verbundenen Vorrichtungen und die durch diese Arbeit hervorgerufenen häufigen
Unfälle vermieden. Selbst bei hartem Gesteine braucht nicht, wie dies beim
Diamantbohren oft nöthigt genug ist, das Bohrmehl ausgelöffelt zu werden.
2) Der bisher übliche Bohrmeisel ist ersetzt durch ein leicht anzufertigendes, bequem
zu handhabendes Bohrstück, welches trotz großer Dimensionen möglichst ungehindert
und rasch vordringen kann, da der Stoß vollständig ausgebeutet wird und nicht, wie
bei dem bisherigen Erdbohren, auf Durchdringung des Bohrschlammes ein bedeutender
Theil des mechanischen Nutzeffectes des niederfallenden Bohrers aufzuwenden ist.
3) Man sichert durch dieses Verfahren die Arbeit des Freifallinstrumentes vor
unregelmäßigem Abwerfen auch bei einer großen Anzahl von Spielen in der Minute, weil
es durch den Druck von unten gegen den Freifallschirm, also durch den lebhaften
Wasserauftrieb befördert wird.
4) Die Drehung des Bohrstückes erfolgt durch die Reaction des Wassers sehr
vollkommen, kann beliebig verändert und gesteigert, auch der Stoß und Druck des
ein- resp. ausströmenden Wassers zu allen möglichen Ventilabschlüssen und
Hebelvorrichtungen ausgenützt werden.
5) Das Bohrstück erweitert vermöge der Drehung das Bohrloch um so viel, daß die
Sicherheitsröhren nachgetrieben werden können, jedenfalls eine Röhrentour länger
ausfällt, als bei den bisher üblichen Bohrverfahren, einestheils wegen der größeren
Geschwindigkeit, mit welcher gebohrt wird, anderentheils wegen der genau
cylindrischen Form, welche das Bohrloch durch drehende Bewegung der Bohrerschneiden
einnimmt.
6) Während sich das Gestängbohren und vor allen Bohrverfahren das Diamantbohren durch
Schwere der Gestänge, durch außerordentliches Kraft- und Zeiterforderniß zum
Einlassen und Herausziehen der Bohrwerkzeuge wenig vortheilhaft auszeichnet, sind
dagegen die Bohrwerkzeuge bei dem Reactionsfreifallbohren bequem zu handhaben, sie werden rasch, gefahrlos,
übrigens selten gezogen. Der Effect- und Zeitverlust gegenüber allen bisher
bekannten Bohrmethoden ist bei diesem Verfahren auf ein Minimum reducirt.
7) Das Reactionsfreifallbohren ist trotz der Schnelligkeit, mit welcher gebohrt wird,
überraschend billig; beispielsweise sind die Kosten einer Bohrung nach diesem
Verfahren denen gegenüber, welche durch Anwendung des Diamantbohrverfahrens
erwachsen würden, um 50 Proc. niedriger.
Da mithin durch diesen Schritt nicht nur die Bohreinrichtung und Bohrmanipulation
sehr vereinfacht, sondern auch ermöglicht ist, in kurzer Zeit ohne erhebliche Kosten
selbst unter erschwerenden Umständen große Tiefen mit beliebigem Durchmesser
abbohren zu können, so darf ich mich wohl der Hoffnung hingeben, daß dieses neue
Bohrsystem sich bald Bahn brechen und, wenn auch in seinen Einzelheiten mehr und
mehr vervollkommnet, zur Hebung des Bohrwesens und damit zugleich des Bergwesens in
Etwas beitragen dürfte.Das Verfahren wurde dem Erfinder, Hrn. Ingenieur Jul. Noth, patentirt; die Ausführung der Werkzeuge dem
Maschinenfabrikanten Zieleniewski in Krakau
übertragen.
Tafeln
