| Titel: | Ueber ein neues Manometer für Dampfdruck; von Professor C. V. Zenger in Prag. |
| Autor: | C. V. Zenger |
| Fundstelle: | Band 201, Jahrgang 1871, Nr. CXV., S. 473 |
| Download: | XML |
CXV.
Ueber ein neues Manometer für Dampfdruck; von
Professor C. V. Zenger in
Prag.
Mit Abbildungen auf Tab.
X.
Zenger, über sein neues Manometer.
Das offene Quecksilbermanometer sowohl, als auch das geschlossene Luftmanometer haben
sich bisher nicht bewährt; denn es traten bei ihrem Gebrauche solche Mängel zum
Vorschein, daß sie den jetzt allgemein in Gebrauch kommenden Federmanometern weichen
mußten, obwohl auch diese noch mit namhaften Fehlern belastet sind. Der
hervorragendste Fehler bei diesen ist unstreitig die Unmöglichkeit eines fixen
Constructionsprincipes, indem man die Elasticität der Feder niemals für
unveränderlich annehmen darf; im Gegentheil, die Veränderungen der Elasticität
verursachen bei denselben stabil fortschreitende, ja manchmal auch plötzliche
Veränderungen, welche besonders bei raschem Oeffnen oder Schließen des zum Manometer
führenden Hahnes durch den Stoß des gespannten Gases oder Dampfes entstehen.
Selbst bei Befestigung zweier Manometer an einem und demselben Kessel läßt sich nicht
mit absoluter Gewißheit sagen, welcher von beiden beschädigt ist, wenn sie
differirende Angaben zeigen; denn auch der Umstand, daß der Zeiger eines
beschädigten Manometers bei abgesperrtem Dampfzutritt nicht mehr auf Null zu stehen
kommt, ist kein maaßgebendes Zeichen einer Veränderung und ihrer Größe; auch können
die entstandenen Veränderungen einer und derselben Richtung seyn, so daß sie sich
gegenseitig decken.
Es steht somit vollkommen außer Zweifel, daß die elastische Feder zum Messen des
Druckes von Dämpfen und Gasen mit völliger Sicherheit nicht angewendet werden kann;
es blieb demnach nichts Anderes übrig, als zum streng richtigen Quecksilbermanometer
zurückzukehren, weil auch das Luftmanometer trotz seines im Mariotte'schen Gesetze begründeten Principes wegen der abnehmenden Größe
der Theile auf der Scala, wie auch wegen anderer Unzukömmlichkeiten fast gänzlich
beseitigt wurde.
Die Unveränderlichkeit der Elasticität eines in einer manometrischen Röhre
eingeschlossenen Gases im Vergleiche mit der Elasticität der Feder würde den Vorzug
vor den Federmanometern hinreichend sichern, und man strebte auch allseitig die
Mängel zu beseitigen, welche dem allgemeinen Gebrauche der Luftmanometer im Wege
standen, obwohl sie bei weitem empfindlicher und verläßlicher sind als
Federmanometer.
Delaveleye hat schon vor 25 Jahren den Vorschlag gemacht,
der manometrischen Röhre eine hyperbolische Gestalt zu geben, wodurch einem der
größten Nachtheile dieses Instrumentes, nämlich der sich verjüngenden Theilung
abgeholfen würde. Die Theile wären dann vollkommen gleich; allein die Anfertigung
eines bloß annähernd richtigen Hyperboloid's stößt auf unüberwindliche
Schwierigkeiten und außerdem bietet diese Form in Bezug auf die Befestigung der
Scala und der Theilung selbst bedeutende Anstände; fügt man noch die Mängel eines
dampfdichten Schlusses der manometrischen Kammer hierzu, so ist leicht einzusehen,
daß diese Idee noch nie eine Verwirklichung erreicht hat.
Auch die verkürzten, offenen Manometer, welche aus einem System von acht und mehr
verbundenen, zum Theil mit Wasser, zum Theil mit Quecksilber gefüllten Röhren
bestehen, sind wegen ihrer Mängel außer Gebrauch gekommen.
Mein neues cylindrisches Manometer mit einer Kugel am Ende des Rohres hat zum Zwecke,
den Anforderungen der Richtigkeit und Dauerhaftigkeit zu entsprechen und den früher
angeführten Uebelständen der gesperrten oder Luftmanometer zu begegnen. Der Druck
für die einzelnen Atmosphären wird auf der Scala durch gleich große Theilstriche,
deren Länge in beliebiger Größe bestimmt werden kann, angezeigt und der dampfdichte
Verschluß wird bei denselben durch ein eigens construirtes Doppelgefäß durch
Capillarität erzielt.
Dieses Instrument wurde in England,Der Verfasser hielt über sein Instrument in der Versammlung der British Association zu Edinburgh (August 1871)
einen Vortrag; die Anfertigung desselben hat er für England den HHrn. Elliott Brothers in
London (449, Strand) übertragen. Frankreich, Belgien, Holland,
Deutschland und Oesterreich patentirt, und beruht darauf daß, — das Volumen
in der Kammer der manometrischen Röhre als Einheit gesetzt, — die Rauminhalte
der übrigen Theile dieser Röhre bei vergrößertem Drucke, nach dem Mariotte'schen Gesetze, im verkehrten Verhältnisse zum
Drucke stehen müssen, sie müssen sich demnach wie 1 : ½ : ⅓ .... 1/n
verhalten, wenn der
Druck von 1 Atmosphäre auf 2, 3 .... n Atmosphären
steigt.
Die manometrische Röhre besteht daher aus so viel Röhrentheilen von verschiedenem
Querschnitte, als sie Atmosphären angeben soll, und endet oben in eine Kugel so, daß
alle Rauminhalte zum Drucke, bei welchem sie mit der Sperrflüssigkeit angefüllt
werden sollen, im umgekehrten Verhältnisse stehen.
Die einfachste Röhrenform ist die cylindrische und läßt sich auch am leichtesten
durchführen.
Kalibrirte cylindrische Röhrchen von bestimmtem Querschnitt, durch Schmelzen über
einer Lampe zu einer Röhre mit einander verbunden, bilden dann sammt der am Ende
befindlichen Kugel von gleichfalls bestimmtem Querschnitt die manometrische
Röhre.
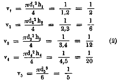
Die Gleichungen (1) bestimmen den Rauminhalt eines jeden Theiles der Röhre, getheilt
nach dem Mariotte'schen Gesetze, z. B. für ein Manometer
auf 4 Atmosphären:
Textabbildung Bd. 201, S. 475
Die Rauminhalte der Röhrentheile sind mit v1, v2, v3, v4 und der Inhalt der am Ende der Manometerröhre
angeblasenen Kugel ist mit v5 bezeichnet.
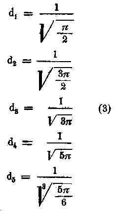
Aus den angeführten Gleichungen lassen sich leicht die Größe und der Durchmesser der
Röhrentheile, wie auch der Durchmesser der Kugel am Ende der Röhre berechnen, und
zwar wird:
Textabbildung Bd. 201, S. 475
In diesen Gleichungen bedeuten d1 bis d5 die Durchmesser, h1 bis h4 die Längen der cylindrischen Röhrchen; nimmt man
an, daß die Länge aller Stücke, mithin die Theilung für die einzelnen Atmosphären
gleich seyn soll, so
wird h1 = h2 = h3 = h4, und setzen wir diese
Länge gleich der Einheit, z. B. 1 Zoll, dann werden die Querschnitte:
Textabbildung Bd. 201, S. 476
Es ist einleuchtend, daß die Längen der Röhrentheile, d. h. der Theile für jede
Atmosphäre, ganz beliebig gewählt werden können, daß daher z. B. zur Messung eines
größeren Druckes die oberen Röhrentheile länger gemacht werden können als die
unteren für kleineren Druck.
Die allgemeine Regel zur Construction eines Manometers für n Atmosphären läßt sich demnach durch nachstehende Gleichungen
ausdrücken:
Textabbildung Bd. 201, S. 476
woraus nachstehende Rauminhalte (Volumina) der Röhrentheile
und der Kugel berechnet werden können:
Textabbildung Bd. 201, S. 476
Die Röhrentheile können auch eine andere als cylindrische Form besitzen, ohne daß die
eben angeführten Gleichungen ihre Gültigkeit verlieren. Die Gleichheit der
Scaleneintheilung sowie die Vergrößerung der Theile für höheren Druck erfordern bloß
eine bestimmte Aenderung des Röhrenquerschnittes, nicht aber eine Aenderung des
Rauminhaltes.
Bei nicht genau kalibrirten Röhrchen fallen zwar die Längen der Scalentheilstriche
etwas ungleich aus; diese Ungleichheit wird aber um so geringer, je größer der Druck
ist, welcher Umstand die Construction der Röhrchen sehr erleichtert, weil keine
scrupulöse Genauigkeit des Kalibers gefordert wird, wenn nur der Rauminhalt des
Röhrchens gehörig kalibrirt ist.
Sollte das Manometer für 12 oder mehr Atmosphären getheilt werden, so müßten entweder
die Längendimensionen der Röhrchen oder ihre Anzahl vermindert werden, sonst würde
das Röhrchen zu lang ausfallen. Gerathener erscheint das letztere Mittel. Das Ganze
wird nämlich so eingerichtet, daß zwei oder drei Atmosphären ein gemeinschaftliches
Röhrchen gleichen Querschnittes besitzen, statt zweier oder dreier Theile ungleichen
Querschnittes.
Bei der Eintheilung des Manometers auf 8 Atmosphären, wo die Röhre bloß aus 4
Röhrchentheilen und der Kugel bestehen sollte, würde man folgende Gleichungen
erhalten:
Textabbildung Bd. 201, S. 477
Ein anderer Uebelstand bei gesperrten Manometern besteht bekanntlich darin, daß
gespannte Gase oder Dämpfe leicht durch die Flüssigkeitssäule in die manometrische
Kammer eindringen, wodurch das Volum der in der Kammer eingeschlossenen Luft
geändert und die Anzeigen des Instrumentes unrichtig werden. Dieß geschieht meistens
beim Oeffnen oder Schließen des zur manometrischen Röhre führenden Hahnes, weil
durch rasches Zusammendrücken oder Ausdehnen des Gases die Flüssigkeitssäule, z. B.
Quecksilber, zerrissen wird und ein Theil der Flüssigkeit aus dem Röhrchen
heraustritt, wodurch ein Saugen entsteht und die Gase oder Dämpfe in die durch die
Flüssigkeitssäule geschlossene Kammer eindringen können.
Das neue Manometer besitzt aus diesem Grunde ein Doppelgefäß: in dem vorderen ist die
manometrische Röhre hermetisch eingesetzt; in dem rückwärtigen, welches mit dem
ersteren nur durch ein Capillarröhrchen zusammenhängt, befindet sich die Verbindung sröhre mit
dem Dampfkessel oder dem mit gespannten Gasen angefüllten Reservoir. Die
Flüssigkeit, z. B. Quecksilber, welche die manometrische Kammer in dem vorderen
Gefäße absperrt, kommt auf diese Weise mit den gespannten Dämpfen oder Gasen nie in
Berührung und der Druck verbreitet sich nur allmählich durch das Capillarröhrchen,
wobei eine desto größere Reibung eintritt, je enger das Röhrchen ist.
Aus dieser Ursache kann die Flüssigkeitssäule niemals in eine stürmische Bewegung
gerathen, es können demgemäß auch die Gase oder Dämpfe weder in das vordere Gefäß,
noch weniger also in die manometrische Röhre eindringen und die Flüssigkeitssäule
zerreißen.
Außerdem ist die manometrische Röhre behufs eines vollkommeneren Verschlusses unten
zugeschmolzen und nur auf einer Seite mit Capillaröffnungen versehen, durch welche
die Flüssigkeit in die Röhre gedrückt werden kann.
Fig. 14 und
15 der
beigegebenen Abbildungen zeigen zwei Längenschnitte in zwei auf einander senkrecht
stehenden Ebenen.
Fig. 14 stellt
die Ansicht des Schnittes von vorn dar; in dem vorderen eisernen Gefäße befindet
sich eine Schraube, in welche die manometrische Röhre eingekittet ist; das Gefäß ist
mit Quecksilber oder einer anderen geeigneten Flüssigkeit gefüllt. Die Röhre selbst
ist mit Stickstoff oder Kohlenwasserstoff angefüllt. Die drei an das hintere Gefäß
angegossenen Flantschen dienen zur Befestigung des ganzen Instrumentes mittelst
dreier Schrauben an eine Wand oder einen Ständer; das rückwärtige Gefäß communicirt
mit der manometrischen Röhre bloß mittelst zweier Capillaröffnungen. Das vordere
Gefäß besitzt einen vertieften Rand, in welchen eine oben geschlossene Glasglocke
mittelst Kautschukdichtung eingepaßt ist zum Schutz des Instrumentes vor Staub und
Beschädigungen.
Seitwärts ragen zwei eiserne Säulchen hervor; in diese wird die messingene,
versilberte Scala mit Hülfe zweier Niete hinter die Manometerröhre eingesetzt und
befestigt.
Oben führt durch eine Oeffnung der Glocke eine an der Scala befestigte Schraube,
durch deren Anziehen die Glocke mit dem Gefäß und der Scala sehr fest verbunden
wird.
Diese Vorrichtung bietet gleichzeitig Schutz für den Fall daß die Röhre gebrochen
würde; der Dampf und das Quecksilber werden dann in der Glocke aufgefangen, welche
hinreichend stark und so befestigt ist, daß sie dem Drucke genügenden Widerstand
leistet.
Die Seitenansicht Fig. 15 versinnlicht den rückwärtigen Verschluß des manometrischen Gefäßes und
die Verbindung mit dem Dampfkessel oder Gasreservoir.
Der horizontale Schnitt Fig. 15a zeigt diese Verbindung
noch deutlicher, so daß jede weitere Erklärung als überflüssig erscheint.
Das Kupferrohr ist schlangenartig gekrümmt, wodurch bei Dampfkesseln eine Ansammlung
von condensirtem Wasser erfolgt; das Instrument wird dadurch fortwährend kühl
erhalten und seine Dauerhaftigkeit erhöht. Durch eine holländische Schraubenmutter
und eine Kautschukdichtung erzielt man den hermetischen Verschluß und die Verbindung
mit dem Kessel oder Reservoir.
Das Anhalten einer gleichmäßigen Temperatur ist auch noch aus dem Grunde
vortheilhaft, weil auch das Gas in der Manometerröhre bei raschem Temperaturwechsel
seine Elasticität etwas ändert. Das Quecksilber wird in kurzer Zeit durch Oxydation
und stete Bewegung schwarz, darum füllt man die Röhre mit einem neutralen Gase, wie
Stickstoff, Kohlenwasserstoff u. f. w., und statt des Quecksilbers benutzt man sehr
vortheilhaft ein rothgefärbtes Oel von größerem specifischen Gewichte als Wasser.
Die Theilung selbst, obwohl man kalibrirte Röhren anwendet, wird immer im Vergleiche
mit dem offenen Quecksilbermanometer in der Werkstätte des Hrn. Louis Struve in Magdeburg vorgenommen, um etwaige durch
Unregelmäßigkeit der Röhrchen entstandene Fehler zu vermeiden. Ein derart
kalibrirtes, mit einer Bleimarke versehenes Instrument ist vollkommen verläßlich und
man kann mit demselben selbst bei einem Drucke von 8 Atmosphären den Druck von 1
Pfund auf einen preußischen Quadratzoll ablesen. Die Scaleneintheilung ist nämlich
zweifach: auf der einen Seite gibt sie den Druck in Atmosphären, auf der anderen den
Druck von je fünf Pfund auf einen preußischen Quadratzoll.
Die genannte Firma verfertigt auf analoge Weise auch Luftleere- und Windmesser
(Manometer für Gebläse), bei welchen jeder Wasserzoll durch einen Quecksilberzoll
oder in noch mehr vergrößertem Maaßstabe angegeben wird, so daß diese Instrumente in
Bezug auf Empfindlichkeit die mit Wasser gefüllten offenen Manometer
übertreffen.
Es erübrigt noch, die beim Messen des Druckes mittelst der Luftmanometer durch
Temperaturwechsel hervorgebrachten Veränderungen zu beleuchten. Ist das Volum des
Gases in der Manometerröhre bei der Temperatur t (bei
welcher das Gas in die Röhre eingeschlossen wurde) V0 und bei einer anderen beliebigen Temperatur Tv1, so wird:
V1 =
v (1 + αT)
v0 =
v (1 + αt)
(7)
wenn v das Volum derselben Mange
Gases bei der Normaltemperatur und α den Ausdehnungscoefficienten des Gases
bedeutet.
Die Differenz der Volumina wird:
v1
— v0 =
αv (T—t)
Die Temperaturdifferenz wird 30° C. nie übersteigen, deßhalb wird auch der
größte Unterschied:
v1
— v0 = 0,00367
× 30 v = 0,1101 v.
Beim Volumen eines eingeschlossenen Gases beträgt die größte Veränderung bloß etwa
1/10 Kubikzoll, wenn das Volum bei der Normaltemperatur gerade einen Kubikzoll
beträgt. Das unterste Röhrchen hat 2/3 des Rauminhaltes der ganzen Kammer, daher
wird die Senkung unter den Nullpunkt oder die Steigung über denselben 0,6 Linie
ausmachen, wenn auf das Manometer kein Druck einwirkt. Weil jedoch das Quecksilber
in der Röhre steigen muß, übt die gehobene Quecksilbersäule einen Gegendruck aus,
und die factische Veränderung wird deßhalb noch kleiner als oben angeführt wurde.
Dieser Fehler wird bei höherem Druck noch vermindert, weßhalb diese Instrumente
keine beträchtlicheren, durch Temperatur hervorgebrachten Veränderungen äußern;
durch eine sehr einfache Rechnung läßt sich die Correctur ermitteln, wenn mit aller
Sicherheit gemessen werden soll. Bei Dampfkesseln, sowie in vielen anderen Fällen
sind aber diese Veränderungen so unbedeutend, daß man sie füglich vernachlässigen
kann, während bei den gewöhnlichen Manometern mit Abnehmen der Länge der
Scalenstriche der Einfluß der Temperatur bei gesteigertem Druck wächst.
Die Form der Röhre und die gleichmäßige Theilung an und für sich genügen schon zu
einer solchen Herabminderung der durch Temperatur erzeugten Fehler, die man beim
Ablesen an der Theilung begeht, so daß sie bei einer Temperaturdifferenz bis
30° C. Hinlänglich genau sind.
Dasselbe gilt von den Windmessern und Vacuummetern; bei letzteren wird je nach
Erforderniß der Druck bloß auf ¼ oder nur 1/8 Atmosphäre angegeben.
Tafeln
