| Titel: | Zur Theorie der Turbinen; von de Pambour. |
| Fundstelle: | Band 190, Jahrgang 1868, Nr. XCIV., S. 359 |
| Download: | XML |
XCIV.
Zur Theorie der Turbinen; von de Pambour.
Nach den Comptes rendus, t. LXVII p. 292; aus dem
polytechnischen Centralblatt, 1868 S. 1307.
de Pambour, Theorie der Turbinen.
In der Abhandlung über die Theorie der Turbinen, welche ich im vorhergehenden Jahre
veröffentlichte (polytechn. Journal Bd. CLXXXII S, 264
und Bd. CLXXXIV S. 389), ist eine Formel entwickelt,
vermittelst welcher man den Wasserverbrauch einer Turbine bei beliebiger
Geschwindigkeit berechnen kann, wenn man ihre Dimensionen und die übrigen
Bedingungen ihrer Arbeitsverrichtung kennt.
Diese Formel beruht auf der Betrachtung, daß, wenn das Turbinenreservoir nicht
unveränderlich an seiner Achse befestigt wäre, es in Folge des Ausflusses des
Wassers und der Krümmung der Leitschaufeln eine Drehbewegung um diese Achse annehmen
würde; und wenn man diese Bewegung als gleichförmig annimmt, wie sie es bei der
Turbine in der That ist, so ist die Arbeitsquantität, welche von der die Drehung
veranlassenden Kraft, d. h. der Centrifugalkraft der Leitschaufeln, entwickelt
werden würde, gleich derjenigen Wirkung, welche die Summe der entgegengesetzt
gerichteten Widerstände ausübt. Andererseits kann man aber annehmen, daß die
Widerstände, welche unter Annahme eines beweglichen Reservoirs zu überwinden sind,
nicht wesentlich von denen abweichen, welche sich bei einem festen Reservoir
ergeben. Für den letzteren Fall sind die Widerstände folgende: Der Verlust an
lebendiger Kraft beim Eintritt in das Reservoir, der Widerstand der Canalwände und
der durch die Krümmung der Leitschaufeln entstehende Widerstand. Bei einem
beweglichen Reservoir würden die ersten beiden Widerstände dieselben seyn und der
dritte würde durch die Zapfenreibung, die hier sehr klein ist, ersetzt werden. Man
kann daher annähernd annehmen, daß die Summen der Widerstände in beiden Fällen
gleich sind; auch kann man nöthigenfalls die Arbeit der überwundenen Widerstände
durch die Arbeit der Centrifugalkraft ersetzen. Daher bleibt nur noch diese letztere
zu berechnen übrig.
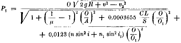
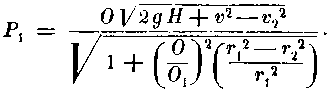
Sind H die effective Höhe
des Wassers im Reservoir, v die äußere und v2 die innere
Umfangsgeschwindigkeit der Turbine, O1 der contrahirte Querschnitt
des Reservoirs beim Eintritt in die Leitschaufeln, O die Summe der contrahirten Querschnitte beim
Austritt, r1 und r2 die äußeren und inneren Krümmungshalbmesser der Canäle, so
haben wir den Wasserverbrauch erhalten (polytechn. Journal Bd. CLXXXIV S.
390):
Textabbildung Bd. 190, S. 360
Diese Formel empfiehlt sich durch ihre Einfachheit. Da man aber im Allgemeinen mehr
Vertrauen zu einer Formel hat, die auf der unmittelbaren Bestimmung der der Bewegung
entgegengesetzten Widerstände beruht, so soll auch diese entwickelt werden.
Die Geschwindigkeit des aus dem Reservoir in die Turbine überströmenden Wassers
ergibt sich bekanntlich aus der effectiven Höhe des Wassers im Reservoir und der
Centrifugalkraft des Rades der Art, daß die Geschwindigkeit ohne Rücksicht auf
Widerstände durch die Formel U2=2gH + υ 2 - υ 22 oder P
U2 = 2 gHP + P (υ 2-υ 22) bestimmt wird.
Wenn man aber
1) nach Poncelet den Contractionscoefficient im Reservoir
mit μ, den oberen Querschnitt mit A und den contrahirten Querschnitt der
Austrittsöffnungen mit O
bezeichnet, so wird der Verlust an lebendiger Kraft beim Eintritt in das Reservoir
ausgedrückt durch:
Textabbildung Bd. 190, S. 360
2) Nennt man S die Summe der
Canalquerschnitte, L ihre
Länge, C den gesammten
benetzten Umfang, U1 die Geschwindigkeit des hindurchgehenden Wassers,
so ist nach den hierüber bekannten Versuchen der Arbeitsverlust durch den Widerstand
der Wände
Textabbildung Bd. 190, S. 360
3) Es sind zwei Kniee vorhanden. Das erste wird durch die Krümmung der Leitschaufeln
gebildet und das zweite durch den Anschluß der Leitschaufeln an den Austrittscanal,
wodurch die Schaufelcanäle in prismatische Durchgänge von gleich großem Querschnitt
übergeführt werden. Nennt man i und i1 die Ablenkungswinkel bei diesen beiden Knieen und
n und n1 die Zahl der Ablenkungen bei jedem Winkel, so ist nach d'Aubuisson der durch die Kniee entstehende
Arbeitsverlust:
0,0123 (nsin2
i + n1sin2
i1) P
U12.
Diese beiden letzten Werthe drücken, wenn der Factor P
heraus gelassen wird, Gefällverluste aus, welche, multiplicirt mit 2g, in die Gleichung der lebendigen Kräfte eingeführt
werden können. Wenn man
diese Einführung, selbstverständlich mit negativen Vorzeichen, bewirkt und
berücksichtigt, daß
Textabbildung Bd. 190, S. 361
ist, so erhält man für den Wasserverbrauch in der Secunde
folgende Gleichung:
Textabbildung Bd. 190, S. 361
Um die Resultate der vorstehenden Formel zu prüfen, hat sie der Verf. auf die bereits
erwähnten Versuche an der Mühlbacher Turbine angewendet. Gegeben sind für die
Rechnung: Halbmesser des Reservoirs oben 0,66 Met., woraus sich nach Abzug des
Mittelcylinders der Querschnitt A = 1,1561 Quadratmeter ergibt; Contractionscoefficient im
Reservoir nach Morin 0,6; innerer Halbmesser des
Ringschützen 0,580; contrahirter Querschnitt des Reservoirs beim Eintritt in die
Leitschaufeln 0,4644 Quadratmeter (die letzteren beiden Zahlen 0,580 sind in der
früheren Mittheilung 0,567 und 0,3526 angegeben, in dem Bericht an die Akademie aber
später corrigirt worden); contrahirte Querschnitte der Austrittsmündungen des
Reservoirs bei den sechs Versuchsreihen 0,06804; 0,11839; 0,18825; 0,24192; 0,24192;
0,28577 Quadratmeter. Zur Berechnung des Widerstandes der Wände haben wir Länge der
Canäle L=0,44 Meter;
benetzten Umfang an den 24 Canälen C = 24 . 0,6733; Summe der mittleren Canalquerschnitte S = 24 . 0,022. Der
Krümmungswiderstand wird durch folgende Angaben bestimmt: Erstes Knie:
Krümmungshalbmesser 0,3 Met.; Krümmungswinkel 107° Ablenkungswinkel i = 43°, 51′;
Zahl der Ablenkungen n = 1.
zweites Knie: Krümmungshalbmesser 0,15 Met.; Krümmungswinkel 156°;
Ablenkungswinkel 63°, 45′; Zahl der Ablenkungen 1.
Mit Hülfe dieser Werthe berechnet sich der Gefällverlust durch den Widerstand der
Wände zu 0,0049 und der Gefällverlust durch den Krümmungswiderstand 0,0158 Met.
Durch Einführung dieser Zahlen erhält man die folgende Tabelle. Die Rechnungswerthe
differiren von den Versuchswerthen und von den Rechnungswerthen nach der früheren
Formel um ungefähr 1 Procent. Die Gesammtsumme beträgt nämlich nach den Versuchen
131635, nach der neuen Formel 130864, nach der früheren Formel 131731.
Textabbildung Bd. 190, S. 362
Versuchsnummer.; Gefällhöhe.;
Geschwindigkeit v.; Geschwindigkeit v2.; Wasserquantum;
nach der Rechnung.; nach den Versuchen.; Versuchsnummer.; Gefällhöhe.;
Geschwindigkeit v.; Geschwindigkeit v2.; Wasserquantum;
nach der Rechnung; nach den Versuchen; Meter.; Meter.; Meter.; Liter.; Liter.;
Gesammtsumme