| Titel: | Untersuchungen über den Vergährungsgrad von Münchener Sommerbieren des Jahres 1867; von C. Prandtl, fürstlich Fürstenberg'schem Brauereiverwalter. |
| Autor: | C. Prandtl |
| Fundstelle: | Band 189, Jahrgang 1868, Nr. CV., S. 397 |
| Download: | XML |
CV.
Untersuchungen über den Vergährungsgrad von
Münchener Sommerbieren des Jahres 1867; von C. Prandtl, fürstlich Fürstenberg'schem Brauereiverwalter.
Mit eingeschalteter
kritischer Beleuchtung der indirecten Methoden zur Bestimmung des Alkoholgehaltes
der Biere, nach C. G. Reischauer.
Prandtl, über den Vergährungsgrad von Münchener Sommerbieren v. J.
und über die indirecten Methoden zur Bestimmung des Alkoholgehaltes der
Biere.
Unter allen Umständen richtet der denkende Brauer ein Hauptaugenmerk auf den
Vergährungsgrad des Bieres, welcher die Haltbarkeit und besonders auch den Geschmack
desselben bedingt.
Im letzten Winter hatte ich meistens mit der Widerwärtigkeit zu kämpfen, daß die
Biere schon im Bottich und dann auch im Fasse weiter vergohren als mir lieb war, und
da mußte ich nur immer bedauern, mir nicht wenigstens von den Münchener Bieren,
deren einige ich wohl
als ziemlich wenig vergohren kannte, eine genauen Kenntniß des durchschnittlichen
Vergährungsgrades verschafft zu haben.
Es fehlt zwar durchaus nicht an Untersuchungen von Münchener Bieren, woraus man deren
Vergährungsgrad berechnen könnte; aber ich fand allenthalben nur von verschiedenen
Jahren je einige Biere, welche ich nicht zusammenstellen konnte, theils weil sie
nach verschiedenen, mehr oder weniger verlässigen Methoden untersucht sind, theils
weil ich nicht den durchschnittlichen Vergährungsgrad des einen oder anderen Bieres
aus verschiedenen Zeiten, sondern umgekehrt von mehreren Bieren, die zwar in
ziemlich gleicher Weise gebraut, doch sehr verschieden in Geschmack und Beliebtheit
sind, aus ein und demselben Jahre haben wollte.
Eine Reihe solcher Jahresdurchschnitte mit einander zu vergleichen, das wäre freilich
eine viel interessantere Aufgabe.
Ich benutzte daher (im Sommer 1867) Zeit und Gelegenheit mir diese Einsicht zu
verschaffen, indem ich eine größere Anzahl Münchener Sommerbiere im Laboratorium
meines Freundes Herrn Dr. Reischauer (in München) untersuchte, dem ich gleich an dieser Stelle
meinen wärmsten Dank ausspreche für seine gastfreundliche Zuvorkommenheit, wie auch
für das große Interesse, welches derselbe jederzeit der Brauerei zuwendet.
Hätte ich aus dieser Arbeit nichts Anderes als eben die Ziffer des durchschnittlichen
Vergährungsgrades erfahren, so wäre ich damit zufrieden gewesen; aber es ergaben
sich sowohl aus der umfangreichen Zusammenstellung von Analysen und deren
Vergleichung, als auch durch den Verlauf und die Ausdehnung der Untersuchungen
einige Folgerungen, welche mir wichtig genug erscheinen, um sie, nebst dem Gange der
Untersuchung selbst, den praktischen wie theoretischen Fachgenossen
mitzutheilen.
Zur Beurtheilung des Werthes, welcher den Zahlen der unten eingeschalteten Tabelle
beizumessen ist, wird es nothwendig seyn den Gang der Untersuchung anzugeben,
welche, soweit sie die Bestimmung des Alkohols betrifft, mit demselben Material
jedesmal auf chemischem und auf saccharometrischem Wege ausgeführt und in letzterer
Beziehung wieder nach viererlei Auffassungen berechnet wurde, so daß wir für den
Alkohol fünferlei Werthe erhalten. Die Ausführung einer größeren Anzahl von
Untersuchungen schien außerdem eine günstige Gelegenheit für die praktische
Vergleichung der hauptsächlichsten Bestimmungsarten des Alkohols im Biere
darzubieten.
Die Menge des Extractes wurde nur auf saccharometrischem Wege ermittelt, wobei jedoch
statt des Aräometers das Pyknometer angewendet wurde, indem dasselbe für ähnliche
Zwecke entschieden den Vorzug vor dem Saccharometer verdient, weil damit eine bei
weitem größere Genauigkeit erzielt wird.Eine interessante Vergleichung der directen Extractbestimmung mit der
saccharometrischen und detaillirte Beschreibung der pyknometrischen
Manipulation ist inzwischen von E. Leyser im
Bayerischen Bierbrauer, 1867, Nr. 10 u. 11 mitgetheilt
worden.
An einem speciellen Beispiele durchgeführt, wird die Untersuchungsmethode am
deutlichsten werden.
Es wurden vom Spatenbier z. B. 75 Kubikcentimeter
abgewogen, diese, 76,161 Grm. betragend, in einer Retorte, nach Verbindung mit dem
Kühlapparate, mittelst Oelbad zu circa zwei Drittel
überdestillirt, nämlich so weit, daß das zugleich als Vorlage benutzte 50 K.
C.-Pyknometer nahe bis zur Marke gefüllt war, das Destillat bei 15,5°
C. (entsprechend der für die Deduction benutzten Fownes'schen Tabelle) durch Zufügung von Wasser genau auf 50 K. C. ergänzt und
gewogen. Aus dem gefundenen absoluten Gewichte, 49,573, ergab sich dann durch
Multiplication mit 0,02 (= 1/50)das specifische Gewicht des Destillates zu 0,99146
und daraus mit Hülfe der Fownes'schen Tabelle der Gehalt
an Alkohol im Destillat zu 5,00 Procent. Aus diesen Zahlen berechnet sich dann
leicht der Alkoholgehalt in 100 Theilen Bier zu:
Textabbildung Bd. 189, S. 398
Zur Bestimmung des Alkohols auf sogen. indirectem Wege, auf welche wir nachher
ausführlicher zurückkommen werden, ist es nothwendig die specifischen Gewichte oder
nach Balling die Saccharometeranzeigen des
(entkohlensäuerten) Bieres und der durch Eindampfen oder Destillation entgeisteten,
dann aber durch Zusatz von Wasser wieder auf das ursprüngliche Gewicht (hier 76,161
Grm.) gebrachten Extractlösung zu erheben. Sie wurden ebenso wie dasjenige des
Destillates mit dem Pyknometer bestimmt, jedoch bei einer Temperatur von 14°
R. (im Pyknometer welches bei 14° R. für 50 Grm. Wasser geaicht war), weil
Balling diese Temperatur bei Herstellung seiner
Tabelle über die Relation zwischen Procentgehalt und specifischem Gewicht bei
Würzeextract- und Zuckerlösungen und der Attenuationslehre überhaupt zu
Grunde gelegt hat.
In unserem Beispiele des Spatenbieres wogen die 50 K. C. des entgeisteten und auf das
anfängliche Gewicht wieder verdünnten Bieres 51,327 Grm. Das specifische Gewicht war
also 0,02 . 51,327 = 1,02654, woraus sich der Extractgehalt nach der Balling'schen Tabelle zu 6,61 Proc. ergibt.
Die Alkoholbestimmung auf indirectem Wege ist weniger einfach als die durch
Destillation, und damit zusammenhängend sind auch die Ableitungsarten des
Alkoholgehaltes aus den dabei als Grundlage dienenden specifischen Gewichten des
Bieres vor und nach dem Entgeisten, durch Einkochen und Wiederverdünnen auf das
frühere Gewicht, je nach den verschiedenen Autoren selbst wieder verschieden.
Da mir in gegenwärtiger Arbeit eine größere Anzahl, 21, von in derselben Weise
ausgeführten Bieranalysen vorlag, so glaubte ich diese Gelegenheit zugleich benutzen
zu sollen, um einen Vergleich der Ergebnisse dieser verschiedenen Auffassungen unter
einander und mit der directen Alkoholbestimmung durch Destillation anzustellen.
Im Einverständnisse mit Reischauer wiederhole ich die
Darlegung dieser Verhältnisse ganz so, wie sie derselbe im Practicum den sich dafür
Interessirenden als Anleitung gibt, und dessen Auffassung der Sache durch die im
Gegenwärtigen vorliegenden Analysen wesentliche Belege erhält.
Zur besseren Orientirung wollen wir zunächst kurz die verschiedenen Ableitungsweisen
des Alkoholgehaltes im Biere auf dem erwähnten indirecten Wege zusammenstellen.
Dieselben sind der Zahl nach vier, nämlich:
1) Balling gelangt von den in Saccharometerprocenten
erhobenen specifischen Gewichten zu dem Alkoholgehalt, indem er die
Attenuationsdifferenz, d. h. den Unterschied in den Saccharometeranzeigen des
entgeisteten und des nicht alterirten Bieres mit dem sogen. Alkoholfactor, einer mit
der ursprünglichen Concentration der Würze wechselnden Zahl, multiplicirt.
2) BolleyHandbuch der technisch-chemischen Untersuchungen, 2. Auflage S.
351. faßt die Deduction des Alkoholgehaltes aus den beiden
specifischen Gewichten in folgender Weise: Das specifische Gewicht des Bieres ist
vor dem Austreiben des Weingeistes in demselben Verhältniß geringer als nach dem
Kochen, in welchem das spec. Gewicht eines verdünnten Weingeistes, dessen Gehalt so
viel beträgt, als der des fraglichen Bieres, geringer ist als das des Wassers.
3) MayerAerztliches Intelligenzblatt, 1864, Nr. 15. gibt neuerdings
folgende schon von BolleyA. a. O. S. 352 als unzulässig kritisirte Anleitung: Aus der
Differenz der specifischen Gewichtszahlen des unveränderten und des weingeistfreien
Bieres ergibt sich die quantitative Zusammensetzung des ersteren, indem genau um den
Betrag dieser Differenz ein verdünnter Weingeist von gleichem
Alkoholgehalte mit dem Biere leichter seyn wird als Wasser.
4) Nach Reischauer ist der nach Balling's Anleitung erhaltene Werth noch durch das specifische Gewicht der
entgeisteten Flüssigkeit zu dividiren. Man hat also nach demselben, um den
Alkoholprocentgehalt des Bieres zu finden, zunächst den
Alkoholprocentgehalt aus der Tabelle für die Relation zwischen spec. Gewicht und
Gehalt der Mischungen aus Wasser und Alkohol zu entnehmen, welcher dem Ausdrucke:
„specifisches Gewicht des Bieres durch das spec. Gewicht der
Extractlösung dividirt,“ als spec. Gewicht in der Tabelle entspricht,
dann den erhaltenen Werth noch durch das specifische Gewicht des entgeisteten Bieres
zu dividiren. Wenn also s das spec. Gewicht des Bieres,
S das der entgeisteten Flüssigkeit, P die Alkoholprocente der Tabelle und A die Alkoholprocente des Bieres bezeichnen, so ist:
Textabbildung Bd. 189, S. 400
Zunächst nun die Zahlenangaben in der tabellarischen Zusammenstellung unserer
Resultate für den Alkoholgehalt nach Balling aus der
Attenuationsdifferenz anlangend, wird es gut seyn, um die verschiedenartige
Auffassung der Sache seitens Balling's und Reischauer's, nach dessen Rechnungsweise sich die Daten
in der Tabelle verzeichnet finden, zur Anschauung zu bringen, wenn wir die Balling'sche zuvor kurz, aber bis zu ihrem Endergebniß
für die Analyse, durchführen.
Balling hat bei der Entwickelung seiner Attenuationslehre
zur Bezeichnung der wesentlichsten Daten bestimmte Buchstaben eingeführt. Dieselben
sind:
m
=
Saccharometeranzeige des Bieres,
n
=
Saccharometeranzeige des entgeisteten Bieres,
p
=
Saccharometeranzeige der unvergohrenen Würze,
q
=
p - m/p - n =
Attenuationsquotient,
A
=
Alkoholprocente.
a, b und C bezeichnen
bei Balling Alkoholfactoren für resp. die scheinbare
Attenuation p - m, die
wirkliche Attenuation p - n
und endlich die Attenuationsdifferenz n - m, d. h. Zahlen mit denen man resp. die scheinbare und
wirkliche Attenuation oder die Attenuationsdifferenz zu multipliciren hat, um zu dem
Alkoholgehalte der vergohrenen Flüssigkeit zu gelangen: also A = (p - m) a = (p - n) b = (n - m) C. Diese letzte Form: A = (n - m) C interessirt uns hier speciell. In derselben
ist C unabhängig von n - m, dagegen abhängig von der ursprünglichen
Concentration der Würze p.Balling's Gährungschemie I. Bd. S. 199.
Es existirt nun zwischen p und n - mA. a. O. S. 205. die Relation
Textabbildung Bd. 189, S. 401
hier ist aber p immer noch
abhängig von dem uns gleichfalls unbekannten q.
Balling sucht nun zunächst dieses q durch ein Näherungsverfahren zu bestimmen, indem er ein beliebiges
abgeschätztes p, für dessen Größe man in den Zahlen des
Versuches beiläufig einige Anhaltspunkte hat, annimmt und die Gleichung nun für q auflöst, dann das gefundene q in dieselbe Gleichung einsetzt und für p
auflöst. Hätte man den willkürlichen Werth von p zu weit
von dem wahren entfernt genommen, so müßte man nun dieselbe Operation nochmals mit
dem so gefundenen mehr genäherten p wiederholen.
Für die bequemere Durchführung ähnlicher Rechnungen hat Balling seinem BucheA. a. O. S. 243. eine Tabelle (IX) der
Alkoholfactoren und Attenuationsquotienten für die Gährung reiner Zuckerlösungen
eine andere XIIA. a. O. Bd. II S. 238. für Bierwürzen
bis 30 Procent Saccharometeranzeige der ursprünglichen Flüssigkeit eingereiht.
Nehmen wir für ein specielles Zahlenbeispiel die auch von BallingA. a. O. S. 230. selbst hierfür verwendeten Beobachtungsdaten an.
Es sey:
n
=
3,978
die Saccharometeranzeige des entgeisteten Bieres,
m
=
0,250
die Saccharometeranzeige des unveränderten Bieres.
Es ist alsdann nach dem Obigen also der Alkoholgehalt:
A
=
(n - m) C
=
(3,978 - 0,250) C
=
3,728 . C
und man hat für C
denjenigen Werth zu wählen, welcher in der Tabelle IX
(Balling's) in derselben Horizontalen mit dem vor der
Hand noch unbekannten p (Procentgehalt der zugehörigen
Stammwürze) sich verzeichnet findet.
Dieses p findet man wie angegeben durch
Näherungsverfahren aus:
Textabbildung Bd. 189, S. 401
BallingA. a. O. S. 231. sagt bezüglich der Wahl des angenäherten p: Die große Attenuationsdifferenz 3,728 Proc.
Saccharometeranzeige weist schon darauf hin, daß der Werth von p ein größerer seyn müsse, weil z. B. Zuckerlösungen von
12 Procent Gehalt, wenn sie bis nahe 0 Procent
Saccharometeranzeige vergähren, eine Attenuationsdifferenz von nur = 2,000 zeigen.
Der Werth von p muß demnach hier viel größer seyn als 12
Proc. Solche und ähnliche Betrachtungen sind dabei nützlich, weil sie schneller zum
gesuchten Ziele führen.“
Dieses Schwanken in der Wahl des abgeschätzten p, welches
namentlich für denjenigen der sich nicht beständig mit derartigen Untersuchungen
befaßt, etwas Unbefriedigendes hat, suchte Reischauer mit
Erfolg durch eine andere Auffassung der Sache zu beseitigen.
Balling fährt fort: Wir nehmen deßhalb an, der Werth von
p müsse wenigstens 18 Proc. betragen haben; diesem
entspricht nach Tabelle IX ein
Attenuations-Quotient von = 1,233. Substituirt man diesen vorläufigen Werth
von q und jenen von n in die
oben stehende Gleichung für p, so ergibt sich daraus der
beiläufige Werth dafür:
Textabbildung Bd. 189, S. 402
= 19,982 Proc. oder nahezu 20 Proc.
Hiernach wird angezeigt, daß man den Werth von C
in Rechnung zu nehmen habe, welcher dem Werthe von p =
20 Proc. entspricht.
Nach Tabelle IX ist für p =
20 Proc. der Werth von C = 2,4106. Substituirt
man diesen richtigen Werth von C in die
Gleichung
A = (n -
m) C,
so erhält man den Alkoholgehalt dieser gegohrenen
Zuckerlösung:
A
=
3,728 . 2,4106
=
8,986 Procent....
So weit Balling. Hätte man, statt wie hier zu 18 Proc.,
den ursprünglichen Zuckergehalt etwa zu 12 Proc. angenommen, so würde sich die Sache
folgendermaßen gestaltet haben:
Für p = 12 wird q = 1,227
(nach der Tabelle IX) und diesen Werth nebst den
beobachteten für n und m
in
Textabbildung Bd. 189, S. 402
eingesetzt, kommt:
Textabbildung Bd. 189, S. 402
= 20,401
Der bereits mehr genäherte Werth für den Gehalt der Zuckerlösung (Stammwürze) ist
also 20,41, und legt man diesen nun abermals der Rechnung zu Grunde, so erhält man
für den Alkoholgehalt:
Nach der Tabelle
IX ist
C
für p =
20
2,4106
c
für p =
21
2,4135
Also
c
für p =
20.4
2,4118
und demnach
A
=
3,728 . 2,4118
=
8,9912.
Man sieht, daß selbst in diesem Falle, wo man die Würze um volle 8 Proc. Anfangs zu
gering nahm, der Fehler in der Alkoholbestimmung doch nur ein sehr geringer ist, da
8,991 und 8,986 kaum von einander abweichen.
Wollte man nun abermals diesen genäherten Werth für die Stammwürze 20,40 der
ganzanalogen Rechnung zu Grunde legen, so erhielte man:
für
p
=
20,40
wird
q
=
1,2354.
Und diesen neuen Werth von q wieder in die Gleichung
eingegesetzt, gibt:
Textabbildung Bd. 189, S. 403
= 19,815
Hierfür das zugehörige c aus der Tabelle genommen, ergibt
sich durch einfache Interpolation:
c = 2,4101.
Also der Alkoholgehalt:
A
=
(n - m) c
=
3,728 . 2,4101
=
8,9849 Procente, welcher Werth mit
dem auf Grund der Annahme des p zu
18 Proc. gefundenen 8,986 weit genauer zusammentrifft als man ihn, in Folge der
Beobachtungsfehler, überhaupt verbürgen kann, so daß man für praktische Zwecke der
Mühe überhoben ist diese schleppende Rechnung für das aus dem letztgefundenen
Extractgehalt abgeleitete q zu wiederholen.
BolleyHandbuch der technisch-chemischen Untersuchungen, 2. Auslage S.
354. nimmt für c zuerst einen
mittleren Werth 0,24 an, berechnet den Alkoholgehalt hierfür nach (n - m) c, verdoppelt nun diesen um zu dem approximirten Gehalt
der ursprünglichen Würze zu gelangen und führt die weitere Rechnung für dieses
bestimmte p durch.
Die Reischauer'sche Auffassung der Sache, nach welcher
berechnet sich die Alkoholprocente in unserer Tabelle in der mit „Balling“ überschriebenen Columne verzeichnet
finden, führt zwar zu einer quadratischen Gleichung, bietet aber dafür den Vortheil
einer glatt verlaufenden Rechnung und schließt jede Annahme von Näherungswerthen
aus.
Ableitung des Attenuationsquotienten aus
der Attenuationsdifferenz.
Das Gesetz, welches die Werthe für p und q derselben Horizontalreihe in der Balling'schen Tabelle IXIn Balling's Tab. XII.
(a. a. O. Bd. II. S. 238) ist für Bierwürzen q = 1,22 + P/1000, wofür sich die
Rechnung dann analog wie hier für Zuckerlösungen durchführt.
verbindet, ist sehr einfach, nämlich: Man findet das einem beliebigen p zugehörige q, indem man zu
der Constanten 1,215 den Werth p/1000 hinzuaddirt. Z.
B.
wäre p
=
20
so ist q
=
1,215 + 0,020
=
1,235
=
12
so ist q
=
1,215 + 0,012
=
1,227
=
30
so ist q
=
1,215 + 0,030
=
1,245
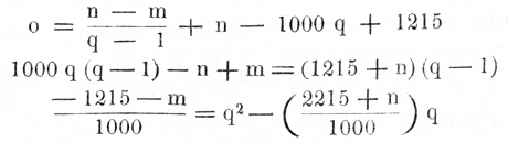
oder allgemein:
Textabbildung Bd. 189, S. 404
oder für p aufgelöst:
p = 1000 q - 1215.
Einen anderen Ausdruck für p, in welchem auch nur q und die im Versuch erhobenen Bekannten m und n als
Attenuationsdifferenz n - m
vorkommen, erhält man leicht aus der Definition des Attenuationsquotienten;
nämlich
Textabbildung Bd. 189, S. 404
denn dieses gibt für p aufgelöst
zunächst:
Textabbildung Bd. 189, S. 404
oder in anderer Form, indem man im Zähler + n und - n addirt,
Textabbildung Bd. 189, S. 404
und nun aus den Gliedern nq - n das n als Factor
herausnimmt:
Textabbildung Bd. 189, S. 404 oder;
Textabbildung Bd. 189, S. 404
in welcher letzteren Gestalt auch Balling die Relation zwischen p und q angibt.
Außerdem ist aber auch, wie wir zuvor sahen,
p = 1000 q - 1215
und die letzte Gleichung von der vorletzten subtrahirt,
gibt:
Textabbildung Bd. 189, S. 405
und aus dem Factor von q noch 2
herausgenommen:
Textabbildung Bd. 189, S. 405
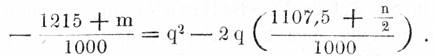
Man hat hier also eine quadratische Gleichung, welche für q nun weiter aufzulösen ist.
Addirt man auf beiden Seiten Textabbildung Bd. 189, S. 405 , so ist die rechte Seite der Gleichung zu einem vollkommenen Quadrate
ergänzt. Der Ausdruck wird alsdann
Textabbildung Bd. 189, S. 405
und auf beiden Seiten die Wurzel ausgezogen:
Textabbildung Bd. 189, S. 405
oder endlich
Textabbildung Bd. 189, S. 405
Setzt man nun in dieser allgemeinen Formel die in einem speciellen Falle beim
Versuche gefundenen Werthe für n und m ein, so wird man nach Ausführung der kleinen Rechnung
unmittelbar den der untersuchten Flüssigkeit angehörenden Attenuationsquotienten
erhalten, und mit diesem zugleich natürlich die Zuckerprocente der ursprünglichen
Würze von welcher diese gegohrene Flüssigkeit herstammt.
Wäre z. B. in einem besonderen Falle, um wieder die obigen Beobachtungswerthe zu
benutzen, die Procentanzeige der gegohrenen Flüssigkeit am Saccharometer m = 0,250 gewesen; diejenige der gekochten und wieder
auf ihr anfängliches Gewicht verdünnten Flüssigkeit n =
3,978 also n/2 = 1,989. Die allgemeine Formel nimmt
alsdann durch Substitution dieser Werthe folgende specielle Gestalt an:
Textabbildung Bd. 189, S. 406
oder q = 1,234852.
Sucht man nun diesen, entsprechend abgerundeten Werth von q = 1,235 in der Tabelle IX (Balling's) auf, so finden sich in derselben
Horizontalreihe auch die drei Alkoholfactoren wie der ursprüngliche Gehalt der Würze
p verzeichnet. Der letztere wäre z. B. in unserem
Falle = 20 Procent. Will man aus dem so gefundenen q nun
den Alkoholgehalt der gegohrenen Flüssigkeit ableiten, so braucht man nur die im
Versuch gefundene Attenuationsdifferenz n - m mit dem diesen speciellen q = 1,235 zugehörigen Werthe von c, also in
diesem Falle mit 2,4106 zu multipliciren; man hat also, da n - m = 3,978 - 0,250 = 3,728 ist, für den
Alkoholgehalt:
A = (n - m) c
=
3,728 . 2,4106
=
8,986 Proc., derselbe Werth, den wir
auch oben nach Balling's
Rechnungsweise fanden.
Ableitung des Gehaltes der Stammwürze aus
der Attenuationsdifferenz.
Ebenso kann man aber auch die beiden Gleichungen welche die Beziehung zwischen p und q ausdrücken
Textabbildung Bd. 189, S. 406 und
Textabbildung Bd. 189, S. 406
(resp.
Textabbildung Bd. 189, S. 406
für Bierwürzen)
direct für p auflösen. Diese
Formel wird uns alsdann einen directen Zusammenhang der Attenuationsdifferenz mit
der ursprünglichen Concentration der Würze (Stammwürze) ausdrücken, und uns zugleich
unabhängig von der Balling'schen Tabelle IX resp. XII machen, so daß
wir den Rückschluß von der Attenuation auf den Gehalt der Stammwürze auch ohne
diese, oder wenn dieselbe nicht zur Disposition ist, machen können. Zugleich muß
diese Formel, wenn die Balling'schen experimentellen
Bestimmungen richtig sind, eine präcisere Ableitung des einem bestimmten Alkoholgehalte zugehörigen
Würzegehaltes gestatten als die übliche durch Verdoppelung des Alkoholgehaltes.
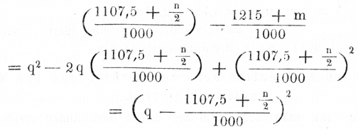
Die beiden oben angeführten Gleichungen sagen mit Worten: der Attenuationsquotient
oder der Ausdruck Textabbildung Bd. 189, S. 407 ist immer die durch 1000 dividirte, zuvor um die constante Zahl 1215
vermehrte ursprüngliche Würzeconcentration, oder:
Textabbildung Bd. 189, S. 407
Löst man diese quadratische Gleichung nun wieder auf, so kommt man zu dem Werth von
p, und seiner Beziehung zu den Procentangaben der
gegohrenen und der außerdem entgeisteten Flüssigkeit, in folgender Form.
Textabbildung Bd. 189, S. 407
Setzt man hier die speciellen Werthe des obigen Beispieles n = 3,978 und m = 0,250 ein,
so erhält man
Textabbildung Bd. 189, S. 407
= 19,812.
Man hat also aus den specifischen Gewichten der frischen und
der entgeisteten Flüssigkeit sogleich den Procentgehalt der Würze gefunden, ohne
vorher den Alkoholgehalt der gegohrenen Flüssigkeit abgeleitet zu
haben.
Will man auf Grund dieses gefundenen p den Alkoholgehalt
der Flüssigkeit mittelst der Attenuationsdifferenz angeben, so braucht man diese nur
mit dem unserem speciellen p zugehörigen aus der Tabelle
entnommenen Alkoholfactor c, also wieder wie oben mit
2,4106 (d. h. für p = 20 Proc.) zu multipliciren.
Daß der so entwickelte Werth für die Concentration der Stammwürze ziemlich bedeutend
mit dem angenäherten, in üblicher Weise durch Multiplication des Alkoholgehaltes mit
zwei bestimmten, differirt, mag noch der Vergleich zwischen den beiden bezüglichen
Zahlen veranschaulichen:
Textabbildung Bd. 189, S. 407
p durch Verdoppelung des
Alkoholgehaltes
17,972
plus dem
in der
gegohrenen Flüssigkeit noch vorhandenen
3,978
Zusammen
21,950
Wir werden später sehen, wie weit diese Bestimmungsarten des Alkohols auf Grund der
Balling'schen Attenuationsformeln mit der nun zu
betrachtenden Bestimmung aus den spec. Gewichten der gegohrenen und der entgeisteten
Flüssigkeit, wie auch mit der Destillationsmethode übereinstimmen und ihren
Principien nach übereinstimmen können.
Ableitung des Alkoholgehaltes aus den
specifischen Gewichten einmal der vergohrenen Flüssigkeit unmittelbar und dann
nach Entfernung des Alkohols durch Eindampfen und Wiederverdünnen aus das
ursprüngliche Gewicht.
Bei der zuvor abgehandelten saccharometrischen Bierprobe geschah die Ablesung des
specifischen Gewichtes des Bieres und der entgeisteten Flüssigkeit in
Zuckerprocenten; in unseren Belegversuchen wurde der größeren Genauigkeit wegen
allerdings zunächst das specifische Gewicht mit dem Pyknometer bestimmt, die
erhaltenen Zahlen dann aber für die Verwendung in der weiteren Rechnung mit Hülfe
der Balling'schen Tabelle zur Reduction der specifischen
Schweren auf SaccharometerprocenteA. a. O. S. 128. in letztere umgewandelt. Es liegt indeß auf der
Hand, daß man den Alkoholgehalt einer gegohrenen Flüssigkeit auch aus der Erhebung
der mehrfach genannten specifischen Gewichte direct muß ableiten können, da ja der
Einfluß eines bestimmten Alkoholgehaltes auf das specifische Gewicht einer
wässerig-geistigen Flüssigkeit bekannt ist, und welche Relation wir in
Tabellenform von mehreren Autoren besitzen.
Die für diese Aufgabe erforderliche Betrachtungsweise wird sich am leichtesten an
einem bestimmten Zahlenbeispiele vorführen lassen.
Nehmen wir hierfür, des bequemeren Vergleiches der Resultate wegen, dieselben Zahlen,
die auch BolleyA. a. O. S. 351. im ähnlichen Falle als Beispiel für die oben
mitgetheilte Anleitung benutzt, nämlich:
Specifisches Gewicht des Bieres
1,024
Specifisches Gewicht des Bieres entgeisteten Bieres
1,032.
Hat das Bier vor dem Kochen ein spec. Gewicht von 1,024, so heißt dieses so viel als:
ein Kubikcentimeter desselben wiegt 1,024 Gramme. Nach dem Eindampfen und
Wiederverdünnen auf dasselbe Gewicht (nämlich 1,024 Grm., wenn man sich einen
Kubikcentimeter concentrirt und wieder verdünnt vorstellt), resultirt nun eine
Flüssigkeit von 1,032 specifischem Gewichte, oder was dasselbe sagt: von diesen
1,024 Grm. wog jeder Kubikcentimeter 1,032 Grm. Die Raumeinnahme der von einem Kubikcentimeter
herstammenden, wieder verdünnten Flüssigkeit, welche 1,024 Grm. wog, war also, da
jede 1,032 Grm. den Raum von 1 K. C. ausfüllen:
Textabbildung Bd. 189, S. 409
K. C.
Es hatte also eine Contraction stattgefunden. Denken wir uns nun rückwärts in diese
entgeistete Flüssigkeit (1,024 Grm.) wieder einen Theil des Wassers durch ein ihm
gleiches Gewicht Alkohol ersetzt, so daß bei gleichbleibendem Gewichte der Raum
wieder einen K. C. beträgt, so wird dafür offenbar (abgesehen von einen etwaigen
activen Einfluß des Extractgehaltes) eine eben so große Menge Alkohol erforderlich
seyn, wie wenn man 0,99225 Kubikcentimeter oder Gramme
Wasser in gleicher Weise auf 1 K. C. bringen sollte. Dann würde aber ein Weingeist
von 0,99225 specifischem Gewichte entstehen, da ja alsdann 0,99225 Grm. den Raum von
1 Kubikcentimeter einnehmen würden und das Gewicht von einem Kubikcentimeter in
Grammen das specifische Gewicht ist.
Oder wenn man nicht von der Definition des specifischen Gewichtes ausgehen will, da
diese eigentlich eine Beobachtung bei (oder Reduction auf) + 4°C. verlangen
würde, und sich nur streng an die pyknometrische Operation selbst hält:
Es nehmen 1,024 Grm. Bier von 15,5° C. (Temperatur der von uns benutzten Fownes'schen Tabelle) den Raum von 1 Grm. Wasser bei
derselben Temperatur ein. Nach dem Entgeisten und Wiederverdünnen auf dasselbe
Gewicht füllen nunmehr 1,032 Grm. der Extractlösung denselben Raum. Von den 1,024
Grm. Bier resultirt also eine Extractlösung mit einer Raumeinnahme von:
Textabbildung Bd. 189, S. 409
des Volumens von einem Grm. Wasser bei 15,5° C.
Denkt man sich nun in diese Extractlösung (resp. Wasser) für Wasser ein gleiches
Gewicht Alkohol substituirt, bis wieder eine Raumeinnahme vom Volumen eines Grammes
Wasser bei 15,5° C. erreicht ist, so entsteht ein Weingeist, der eben das Volumen von 1 Grm. Wasser bei 15,5° C.
ausfüllt, dessen Gewicht aber noch immer 0,99225 Grm. beträgt, indem wir die
Contraction ja an 0,99225 des Volumens von 1 Grm. Wasser oder von 0,99225 Grm.
Wasser verfolgen; d. h. aber 0,99225 ist das specifische Gewicht dieses Weingeistes
bezogen auf Wasser von derselben Temperatur, wie es
die von uns benutzte Tabelle verlangt.
Man schließt also bei dieser Methode einfach von der Ausdehnung, welche die
Extractlösung durch den Ersatz eines Theiles ihres Wassergehaltes durch ein gleiches
Gewicht Alkohol erleidet, auf den Alkoholgehalt selbst.
In einem Kubikcentimeter oder 0,99225 Grm. dieses Weingeistes, dessen spec. Gewicht
(eben 0,99225) nach der Fownes'schen Tabelle 4,50
Gewichtsprocenten wasserfreien Alkohols entspricht, würden also enthalten seyn:
Textabbildung Bd. 189, S. 410
Dieselbe Menge Alkohol findet sich aber auch in einem Kubikcentimeter Bier vor dem
Entgeisten; will man die Alkoholmenge also in Procenten des Bieres ausdrücken, so
hat man endlich:
Textabbildung Bd. 189, S. 410 Procente.
Will man diesen Calcül zum leichteren Memoriren und bequemeren Gebrauche etwa in
allgemeinen Zeichen ausdrücken, und mag dabei bedeuten:
S = specifisches Gewicht der entgeisteten
Flüssigkeit,
s = specifisches Gewicht des Bieres,
P = Alkoholgewichtsprocente, welche dem Ausdrucke s/S (in unserem speciellen
Falle 1,024/1,032) als specifischem Gewicht entsprechen, so stellt sich die ganze
Rechnung offenbar in der Formel dar:
Textabbildung Bd. 189, S. 410
wie leicht der Vergleich mit unserem speciellen Beispiel
Textabbildung Bd. 189, S. 410
veranschaulicht, wenn man alle Proportionen in einen Ausdruck
vereinigt.
Dieses ist aber nach gehöriger Reduction einfach
Textabbildung Bd. 189, S. 410
Man hat hiernach also zunächst den Werth s/S zu berechnen, d. h. das specifische Gewicht des Bieres
durch dasjenige des entgeisteten Bieres zu dividiren und für die erhaltene Zahl als specifischem
Gewichte in der Tabelle den Werth für P, d. h. die
diesem neuen specifischen Gewichte zugehörigen Alkoholprocente aufzusuchen. (In
unserem speciellen Beispiele findet sich für dieses neue specifische Gewicht
1,024/1,032 = 0,99225 in der Fownes'schen Tabelle als
Alkoholprocente 4,50.) Dieser Werth P ist alsdann aber,
um zu den Alkoholprocenten des Bieres zu gelangen, noch durch S oder das specifische Gewicht des entgeisteten Bieres (in unserem
speciellen Beispiele 1,032) zu dividiren, wodurch für unser specielles Beispiel
gleichfalls wie oben 4,36 Proc. Alkohol im Biere erhalten worden.
Wir giengen in dieser Betrachtungsweise von dem Gewichte eines Kubikcentimeters aus,
d. h. wir verfolgten die Veränderung, welche ein Kubikcentimeter der entgeisteten
Flüssigkeit durch den Alkoholgehalt bei gleichbleibendem Gewichte hinsichtlich
seines Volumens erlitten hatte. Umgekehrt kann man indeß auch offenbar von der
Raumeinnahme eines Grammes der Extractlösung ausgehen und nach der angegebenen
Veränderung fragen, wodurch man schließlich zu derselben Formel wie zuvor gelangen
muß.
Wählen wir für ein specielles Beispiel wieder die früheren Zahlenwerthe, nämlich:
Specifisches Gewicht des Bieres
1,024
=
s
Specifisches Gewicht des entgeisteten Bieres
1,032
=
S.
Dieses sagt eigentlich nur:
1 Grm. Bier nimmt den Raum ein von 1/1,024 = 0,9766 K. C. resp. 0,9766 des Raumes von
1 Grm. Wasser bei 15,5° C. und 1 Grm. der Extractlösung nimmt den Raum ein
von 1/1,032 = 0,9689 K. C.
Ein Gramm Extractlösung 1/1,032 = 0,9689 K. C., muß also um in Bier übergeführt zu
werden, durch Austausch von Wasser gegen ein gleiches Gewicht Alkohol auf das
Volumen 1/1,024 = 0,9766 K. C. gebracht werden.
Hierfür wird dieselbe Menge Alkohol erforderlich seyn, als wenn man ebensoviel Wasser
— 0,9686 Gramme oder pyknometrische Kubikcentimeter für 15,5° C.
— auf dieses Volumen von 0,9766 K. C. m gleicher Weise bringen sollte.
Dieselben würden aber auch nach der Substitution von Wasser durch ein gleiches
Gewicht Alkohol 0,9689 Grm. wiegen.
Man würde also 0,9689 Grm. eines Weingeistes erhalten von einer solchen Stärke, daß
dieselben 0,9766 K. C. ausfüllen würden, oder mit anderen Worten von einem
specifischen Gewichte:
Textabbildung Bd. 189, S. 412
Diesem specifischem Gewichte entspricht nun wieder, nach Fownes' Tabelle, ein Weingeist von 4,50 Procenten. Das absolute Gewicht in
unseren 0,9689 Grm. solchen Weingeistes ist also:
Textabbildung Bd. 189, S. 412
Grm.
Dieselbe Menge Alkohol findet sich aber auch in einem Gramm Bier, welches ja eben
entstanden ist mittelst Ersatz von Wasser durch ein gleiches Gewicht Alkohol in
einer Extractlösung, die den Raum von 0,9689 K. C. einnahm, bis zu dem Punkte wo sie
0,9766 K. C. ausfüllt. In 100 Gewichtstheilen Bier sind demnach:
100 . 0,0436 = 4,36 Procente Alkohol enthalten.
Will man diesen Calcül wieder in den zuvor benutzten allgemeinen Zeichen ausdrücken,
so sieht man leicht, daß der Ausdruck der gegenwärtigen Rechnung:
0,9689 . 4,50 = 4,36 Procente Alkohol
offenbar wieder der obigen Formel entspricht, indem ja 0,9689
nichts Anderes als 1/1,032 = s/S ist, und der Werth 4,5 die dem Ausdruck 1,24/1,032 = 0,99225 = s/S als specifische Gewichte
zugehörigen Alkoholprocente bezeichnet, welche wir zuvor durch P andeuteten.
Man hat also auch hier wieder zunächst die zu s/S gehörigen Alkoholprocente in der Tabelle aufgeschlagen
und diesen Werth mit 1/Smultiplicirt, oder mit anderen
Worten: der Alkoholgehalt des Bieres ausgedrückt in Gewichtsprocenten, wird wieder
durch die Formel:
Textabbildung Bd. 189, S. 412
repräsentirt.
Vergleichen wir nun hiermit den nach der von Bolley in
seinem vortrefflichen Lehrbuche adoptirten Regel erhaltenen Werth. Dieselbe lautet wie oben
angegeben: das specifische Gewicht des Bieres ist vor dem Austreiben des Weingeistes
in demselben Verhältniß geringer als nach dem Kochen, in welchem das specifische
Gewicht eines verdünnten Weingeistes, dessen Gehalt so viel beträgt als der des
fraglichen Bieres, geringer ist als das des Wassers.
Für die obigen Zahlen führt die Auffassung zu der Proportion:
Specifisches Gewicht des Bieres
1,024
Specifisches Gewicht des Bieres nach dem Kochen
1,032
Specifisches Gewicht des verdünnten Weingeistes
x
Specifisches Gewicht des Wassers
1
1,032 : 1,024
=
1 : x
x
=
0,99225,
oder, wie Bolley sich ausdrückt:
Man erhält also eine zum Nachschlagen in der Tabelle brauchbare Ziffer, wenn man das
specifische Gewicht des ungekochten Bieres durch dasjenige des gekochten
dividirt.
Hiernach wäre der Alkoholgehalt des fraglichen Bieres unter Zugrundelegung der Fownes'schen Tabelle 4,50 Proc., während unsere
Betrachtungsweise denselben zu 4,36 Proc. ergibt. Die Abweichung ist also nicht ganz
unbedeutend, und muß die Bolley'sche Zahl immer noch, um
zu der unserigen zu gelangen, durch das specifische Gewicht des gekochten Bieres (in
unserem speciellen Falle 1,032) dividirt werden. Die von Bolley benutzte Tabelle A. a. O. S. 471. führt zu dem Werthe 4,32 Proc.
Bolley fährt nun weiter fort: In der saccharometrischen
Bierprobe werden die so eben erwähnten specifischen Gewichtsbestimmungen noch in
anderer Weise verwerthet. Benutzen wir gerade die oben angegebenen Zahlen.
Die Differenz derselben ist (1,032 - 1,024) = 0,008. Zieht man diese letztere Zahl
von 1,000, dem specifischen Gewichte des Wassers, ab, so erhält man 0,9920. Die
Tabelle über den dem specifischen Gewicht des Weingeistes entsprechenden
Alkoholgehalt gibt für das letztere specifische Gewicht einen Gehalt von 4,48 nach
(Fownes' Tabelle 4,625) an. Der Unterschied, welcher
mittelst obiger Proportion und mittelst der einfachen Differenzen gefunden wird,
4,32 und 4,48, ist also ziemlich groß und letztere Zahl ungenau.
Nahe eben so groß ist indeß, in diesem speciellen Falle, die Abweichung zwischen den
nach unserer Auffassung und der Bolley'schen gefundenen
Zahlen, nämlich 4,36 und 4,50 (nach Fownes' Tabelle).
Bolley fährt fort: Die Ungenauigkeit wird um so größer, je
größer der Alkoholgehalt des Bieres ist. Es sey z. B. das spec. Gewicht des
gekochten Bieres 1,037, dasjenige des ungekochten 1,024, also die Differenz 0,013
gefunden worden, so führt dieses nach den zwei Arten der Berechnung:
im ersten Falle (1,037 : 1,024 = 1000 : x) zu
der Zahl
0,9874
im zweiten Falle (1,037 - 1,024 = 0,013 und (1,000 - 0,013) zu der
Zahl
0,9870.
Die erste Zahl führt zu einem Alkoholgehalte von
7,51
Gewichtsprocenten
Die zweite führt zu einem Alkoholgehalte von
7,78
Gewichtsprocenten
Fügen wir diesen Zahlen nun noch diejenige hinzu, welche nach unserer
Betrachtungsweise für den Alkoholgehalt in diesem Falle gefunden würde, zu der wir
also gelangen, wenn wir die Bolley'sche noch durch das
specifische Gewicht des gekochten Bieres dividiren, so erhalten wir:
7,51 / 1,037 = 7,24 Procente Alkohol.
Diese Zahl liegt also abermals gerade um so viel tiefer, als die Bolley'sche selbst tiefer liegt als die aus der Differenz
der specifischen Gewichte durch Subtraction von Eins abgeleitete, von Mayer noch jüngst empfohlene.
Stellen wir nun diese drei verschiedenen Anschauungsweisen, zur besseren Uebersicht
nochmals ausgedrückt in den von uns oben angenommenen Zeichen, Zusammen, so erhalten
wir:
s
=
specifisches Gewicht des Bieres,
S
=
specifisches Gewicht des entgeisteten Bieres,
P
=
Alkoholprocente in der Tabelle,
A
=
Alkoholgehalt im Biere.
1) Bolley
A = P für s/S,
2) Mayer
A = P für (1-[S - s]),
3) Reischauer
A = Textabbildung Bd. 189, S. 414
und endlich die beiden Formeln für die Balling'sche Tabelle nach der Reischauer'schen
Auffassung:
4) Textabbildung Bd. 189, S. 414
und Textabbildung Bd. 189, S. 415
für welche Werthe p und q in der Tabelle IX
Balling'sA. a. O. S. 243. der Alkoholfactor c
für die Attenuationsdifferenz aufzuschlagen ist, und wo alsdann die beobachtete
Attenuationsdifferenz n - m
mit dem speciellen Werthe dieses Factors multiplicirt den Alkoholgehalt finden
läßt.
Um die Abweichungen der nach diesen vier verschiedenen Beobachtungsweisen erhaltenen
Resultate recht zu veranschaulichen, wollen wir nun noch eine Zusammenstellung
einschalten, in welcher sich die Ergebnisse für einen Alkoholgehalt nach der am
meisten gebrauchten Bolley'schen Rechnungsweise in ganzen
Zahlen, und zwar von resp. 1,5, 10 und 15 Procenten nebst den nach den anderen
Methoden erhaltenen Werthen verzeichnet finden.
Es wird hierfür bei gleichbleibendem S des obigen
Beispieles = 1,032 eine Ableitung von s, wie resp.
1,0300, 1,0231, 1,0156 und 1,0091 verlangt.
Für die Ableitung des Alkoholgehaltes nach Balling aus der
Attenuationsdifferenz muß man diese specifischen Gewichte nun zuerst in
Zuckerprocente umsetzen und hat alsdann für S = 1,032,
n = 7,950 Zuckerprocente und weiter für die übrigen
specifischen Gewichte resp. m = 7,463, 5,775, 3,900 und
2,275.
Hieraus ergibt sich alsdann, mit Hülfe der unter 4) angegebenen Formel, der
Alkoholprocentgehalt zu resp. 1,075, 4,836, 9,006 und 12,893.
Nach den anderen drei Rechnungsarten finden sich die Alkoholgehalte leicht
unmittelbar, und alle übersichtlich zusammengestellt, gelangen wir etwa zu folgendem
Schema:
Specifisches Gewicht des entgeisteten Bieres S
=
1,032
oder Procente Extract des entgeisteten Bieres n
=
7,950
Textabbildung Bd. 189, S. 415
Alkoholprocente nach; Extr. Proc;
des entgeisteten Bieres; Bolley; Mayer; Balling; Reischauer
Man ersieht leicht, daß die Abweichungen nicht unerheblich sind, und namentlich nach
Mayer's und Balling's
Ableitung für höhere
Alkoholgehalte Resultate erhalten werden, die nur den Anforderungen einer gewissen
Annäherung, nicht einer exacten Bestimmung Genüge leisten.
Nach dieser Einschaltung komme ich nun zum Vergleich der nach diesen verschiedenen
Auffassungen aus der Differenz der specifischen Gewichte des Bieres vor und nach dem
Entgeisten abgeleiteten Resultate mit den nach der Destillationsmethode
erhaltenen.
Aus dem Ergebnisse einer einzelnen Untersuchung auf den Werth der dabei angewandten
Methode zu schließen, würde auch dann, wenn man von der beobachteten Genauigkeit
noch so sehr überzeugt ist, wegen Unterschätzuug der das Resultat beeinflussenden
Nebenumstände für Ueberschätzung seiner selbst zeugen. Wenn aber die verschiedenen
Methoden an zwanzig Untersuchungen durchgeführt sind und aus den nach jeder Methode
erhaltenen Zahlen das arithmetische Mittel genommen wird, so kann man die auf diesem
Wege erhaltenen Durchschnittszahlen als sichere Anhaltspunkte für die Vergleichung
der angewendeten Bestimmungsarten hinsichtlich ihrer Zuverlässigkeit und für die
Feststellung ihres, derselben entsprechenden, relativen Werthes wohl gelten
lassen.
Nimmt man nun die directe Bestimmung des Alkohols (durch die Destillationsmethode)
als diejenige Methode, welche durch die wirkliche Scheidung des zu bestimmenden
Körpers von ihrer Richtigkeit am leichtesten überzeugt, zur Grundlage des
Vergleiches, so steht derselben, gemäß den gefundenen Durchschnittszahlen der
Tabelle,
3,55
für die directe Bestimmung,
3,61
für die indirecte Bestimmung nach
Balling,
3,66
für die indirecte Bestimmung nach
Mayer,
3,62
für die indirecte Bestimmung nach
Bolley,
3,53
für die indirecte Bestimmung nach
Reischauer,
von den indirecten Bestimmungen weiters am nächsten die von
Reischauer angegebene, etwas ferner die Balling'sche und Bolley'sche.
Den, für so schwachgeistige Flüssigkeiten wie hier in Rede stehen, schon
beträchtlichen Unterschied von mehr als ein Zehntel-Procent weist die Mayer'sche Berechnung auf, wobei jedoch noch nicht einmal
die von Mayer benutzte Tabelle für specifisches Gewicht
und Alkoholprocente des Weingeistes, sondern die mehrfach geprüfte von Fownes zur Anwendung kam. Nach ersterer würde sich sogar
ein mittlerer Alkoholgehalt von 3,76 Procenten, also ein Unterschied von 0,21 Proc.
berechnen, welcher Fehler die Methode für den Zweck einer genauen Bestimmung
untauglich macht. Aber sie ist auch so oberflächlich, wie sie von Mayer angegeben wurde, nicht einmal zur Vergleichung
verschiedener Biere oder desselben Bieres von verschiedenen Orten geeignet, da
derselbe gar keine Vorschrift über die bei der Entnahme des specifischen Gewichtes
einzuhaltende Temperatur gibt.
Um die Größe des Einflusses der Temperatur bei den Bestimmungen des spec. Gewichtes,
nach unserer Ausführungsweise, auf die Werthe für den Alkoholgehalt zu
veranschaulichen, wurden an dem Material einer Untersuchung die spec. Gewichte
jedesmal bei 10° R. und bei 16° R. bestimmt. Es wurden hierbei von
74,759 Grm. Bier erhalten:
bei 10° R.
bei 16° R.
s = spec. Gewicht des Bieres
1,01472
1,01370
50 Kub. Cent. Destillat wogen
49,507
49,449
Grm.
D. h. spec. Gewicht des Destillates
0,99014
0,98898
S = spec. Gewicht des entgeisteten
Bieres
1,02224
1.02090
Für die einzelnen Grade von 10–16° R. ergäbe sich daher unter der
Voraussetzung, daß die Unterschiede der spec. Gewichte innerhalb dieses kleinen
Temperaturintervalles im umgekehrten aber geraden Verhältnisse stehen zu den
Wärmegraden, der Alkoholgehalt wie folgt:
1) Nach der Destillationsmethode.
10° R.
49,507 .
5,79–––––––––––74,759
=
3,834 Proc.
11° R.
49,498 .
5,91–––––––––––74,759
=
3,913 Proc.
12° R.
49,488 .
6,03–––––––––––74,759
=
3,990 Proc.
13° R.
49,478 .
6,15–––––––––––74,759
=
4,070 Proc.
14° R.
49,469 .
6,27–––––––––––74,759
=
4,149 Proc.
15° R.
49,459 .
6,39–––––––––––74,759
=
4,227 Proc.
16° R.
49,449 .
6,51–––––––––––74,759
=
4,306 Proc.
2) Nach
Reischauer.
10° R. s/S
=
1,01472/1,02224
=
0,99264
P für
s/S––––––––S
=
4,138 Proc.
11° R. s/S
=
1,01455/1,02201
=
0,99270
P für
s/S––––––––S
=
4,100 Proc.
12° R. s/S
=
1,01438/1,02179
=
0,99275
P für
s/S––––––––S
=
4,071 Proc.
13° R. s/S
=
1,01421/1,02157
=
0,99279
P für
s/S––––––––S
=
4,071 Proc.
14° R. s/S
=
1,01404/1,02134
=
0,99285
P für
s/S––––––––S
=
4,043 Proc.
15° R. s/S
=
1,01387/1,02112
=
0,99290
P für
s/S––––––––S
=
3,976 Proc.
16° R. s/S
=
1,01370/1,02090
=
0,99295
P für
s/S–––––S
=
3,947 Proc.
Die Differenz für einen Grad Reaumur ergibt sich hiernach:
bei der directen Bestimmung zu
Textabbildung Bd. 189, S. 418
= 0,079 Proc.;
bei der indirecten Bestimmung nach Reischauer zu
Textabbildung Bd. 189, S. 418
= 0,032 Proc.
Der Fehler welchen die Temperaturverschiedenheit verursachen kann, ist hiernach unter
sonst gleichen Umständen bei der directen Alkoholbestimmung mittelst der
Destillationsmethode mehr als doppelt so groß als bei der indirecten nach Reischauer, und deßhalb letztere nicht bloß der Mayer'schen, Balling'schen und
Bolley'schen Ableitung, sondern unter diesem
Gesichtspunkte sogar der directen Bestimmung vorzuziehen.
Aus diesem bedeutenden Einflusse der Temperatur erklärt sich wohl auch das
schwankende Verhältniß der Einzelresultate in vorstehender Tabelle bezüglich der
directen und der indirecten Bestimmung des Alkoholgehaltes, so sehr auch auf die
genauere Einhaltung der vorgeschriebenen Temperatur bei den Versuchen geachtet
wurde.
Um sicher zu seyn, daß die Flüssigkeit im Pyknometer dieselbe Temperatur hatte wie
das umgebende Wasser, ließ ich das Pyknometer, welches ich mit der zuvor auf die
erforderliche Temperatur gebrachten Flüssigkeit beschickt hatte, so lange in jenem
verweilen bis durchaus keine Raumveränderung der Flüssigkeit mehr wahrzunehmen
war.
In beigegebener Tabelle S. 420 wurden die Reischauer'schen
Zahlen als Grundlage zur Berechnung des ursprünglichen Extractgehaltes der Würze
(100 Gewichtstheile Zucker entsprechen 48,391 Gewichtstheilen Alkohol, Balling) benutzt und dann aus letzterem, gleich Hundert
gesetzt, und dem wirklichen resp. scheinbaren Extractgehalte des Bieres der
wirkliche resp. scheinbare Vergährungsgrad desselben berechnet.
In unserem Beispiele stellt sich also der ursprüngliche Extractgehalt des Bieres auf
Textabbildung Bd. 189, S. 418 Gewichtstheile oder Textabbildung Bd. 189, S. 418 Proc. heraus. Der wirkliche Vergährungsgrad ist dann Textabbildung Bd. 189, S. 419 , der scheinbare Textabbildung Bd. 189, S. 419 .
Hiermit wäre nun der anfänglichen Auffassung nach meine Bieruntersuchung zu Ende
gewesen; während ich mich indeß mit der Sache beschäftigte, schien es mir wegen des
großen Einflusses welchen das Verhältniß des Zuckers zum Dextrin auf den
Vergährungsgrad ausüben muß, doch der Mühe werth auch die im Biere noch vorhandene
Menge Zucker zu ermitteln, wiewohl ich mir gestehen mußte, daß dadurch allein mein
Einblick weit weniger gefördert wurde, als wenn mir die genaue Kenntniß des
Zucker- und Dextringehaltes in der Würze wie im fertigen Biere zu Gebote
gestanden hätte. In den beiden letzten Rubriken der Tabelle (S. 420) findet sich
jedoch das aus dem Alkoholgehalte und noch vorhandenen Zucker abgeleitete Verhältniß
zwischen dem in der Würze vorhandenen und den unvergohren im Bier bleibenden Zucker,
bezogen auf hundert Theile Zuckers der Würze, verzeichnet; in letzterem ist aber der
Zucker des Bieres, welcher sich während der Vergährung noch aus Dextrin bildete, mit
inbegriffen.
Der Zucker wurde in der von ReischauerPolytechn. Journal, 1862, Bd. CLXV S.
451. angegebenen Weise mit Fehling'scher
Kupferlösung titrirt. Fünfzig Gramme obigen Bieres verdünnte ich mit Wasser auf 250
K. C. und setzte von dieser verdünnten Flüssigkeit mittelst einer Bürette zu 10 K.
C. Fehling'scher Lösung, welche 50 Milligrm. Zucker
entsprechen, unter Sieden so lange zu, bis eine abfiltrirte Probe (einige Tropfen)
der Kupferlösung durch Kochen mit reiner Traubenzuckerlösung keinen gelben
Niederschlag mehr ausschied. Es waren zur vollständigen Reduction der Kupferlösung
nöthig 18,2 K. C. des verdünnten Bieres und bei zwei Wiederholungen 17,9 K. C. und
18,1 K. C., also durchschnittlich 18,1 K. C. Diese entsprechen einem Zuckergehalt im
Biere von Textabbildung Bd. 189, S. 419 Proc. C12H12O12.
Angenommen nun, der im Biere befindliche Alkohol = 3,13 Proc., sey vollständig aus
schon in der Würze existirendem Zucker entstanden, also aus Textabbildung Bd. 189, S. 419 Zucker, so wäre von sämmtlichem ursprünglich vorhanden gewesenem Zucker
(1,48 + 6,47 = 7,85 Gewichtstheilen) 1,38 unvergohren geblieben, also von 100
Theilen 17,6.
Vom ganzen vorhanden gewesenen Extracte (6,61 + 6,47 = 13,08 Gewichtstheile) beträgt
der so aufgefaßte ursprüngliche Zucker (von 1,38 + 6,47 = 7,85) aber Textabbildung Bd. 189, S. 420 Proc., welche Werthe sich in der letzten Rubrik unserer Tabelle
verzeichnet finden.
In gleicher Weise wie an diesem Beispiele gezeigt wurde, untersuchte ich nun die
Biere von zehn Münchener Brauereien je zweimal; nur vom Hofbräuhause konnte ich
keine Zuckerbestimmung mehr ausführen, da zu der Zeit als ich die Untersuchung auch
auf den Zucker ausdehnte, diese Quelle bereits versiegt war.
Aus diesen zwanzig Untersuchungen zog ich den Durchschnitt, welcher ein Bild des
Münchener Sommerbieres von 1867 in Zahlen darstellt.
Eine nicht allgemein zugängliche Specialität des Münchener Bieres, von mit Recht
hochgerühmter Qualität, das Bier des Franciscanerklosters, welches den Urtypus des
Münchener Bieres darstellen dürfte, habe ich von den zusammengestellten käuflichen
Bieren ausgeschlossen und am Schluß der Tabelle aufgeführt.
Unterwerfen wir nun die in der Tabelle (S. 420) vorliegenden Zahlenreihen und den
daraus gezogenen Durchschnitt einer vergleichenden Untersuchung, so gelangen wir
etwa zu folgenden Ergebnissen:
1) Die Reischauer'sche indirecte Alkoholbestimmung ist
ihrer Zuverlässigkeit wegen nicht nur allen übrigen indirecten Bestimmungen des
Alkohols, sondern wegen der geringeren Fehlerquelle in Folge einer
Temperaturabweichung sogar der directen Alkoholbestimmung vorzuziehen, bei gleicher
Gewandtheit des Arbeitenden jedenfalls zur Controle derselben geeignet.
2) Der ursprüngliche Extractgehalt der einzelnen Biere, welcher unter sonst gleichen
Verhältnissen den eigentlichen Maaßstab für den Werth und Preis des Bieres abgeben
muß, weicht vom mittleren Extractgehalt 12,98, oder in runder Zahl 13 Procent, nach
aufwärts wie abwärts um 0,75 Procent ab, so daß zwischen dem stärksten Bier von
13,75 Procent und dem schwächsten von 12,21 Procent die beträchtliche Differenz von
1,54 Proc. besteht, beide sich also in dieser Hinsicht verhalten wie 9 : 8.
3) Der Vergährungsgrad der Münchener Lagerbiere ist im Allgemeinen ein sehr geringer;
der wirkliche Vergährungsgrad ist in keinem Falle auf 60 gestiegen, wohl aber in
zwei Fällen sogar unter 50 geblieben, d. h. es ist nicht einmal die Hälfte des
Extractes vergohren. Die scheinbare Vergährung, welche dem ausübenden Brauer näher
liegt
Analysen von Münchener Sommerbieren des
Jahres 1867.
Textabbildung Bd. 189, S. interleaf
Name der Brauerei.; Datum; Gewicht
des verwendeten Bieres.; Bier.; Spec. Gewicht; Sacch. Anz; durch Destillation
bestimmt; nach Balling; nach Mayer.; nach Bolley.; nach Reischauer.; Im fertigen
Bier:; Dextrin; Extract-Proc; Wasser-Proc; Extractgehalt der
Stammwürze; Vergährungsgrad,; Unvergohrener Zucker; Extract; Hofbräuhaus;
Spatenbrän; Löwenbrän; Singlspieler; Angustiner; G. Pschorr; Schleibinger;
Hacker; Zacherl; Leist; Durchschnitt; Franciscaner-Kloster
als die wirkliche, beträgt nur in wenigen Fällen mehr als 66
Procent oder zwei Drittel des ursprünglichen Extractgehaltes.
4) Zucker ist im fertigen Biere nur wenig mehr vorhanden, im Mittell, 1,08 Proc.
unter 6,20 Proc. ungegohrenen Extractes, bei Extremen von resp. 0,78 und 1,38 für
den Zucker und 6,61 und 5,42 für den Gesammtextractgehalt; der Zucker beträgt also
beinahe 1/6 bis 1/12 des ursprünglichen Gesammtextractes. Im günstigsten Falle
bildet der noch vorhandene Zucker mehr als den fünften (1,38 : 6,54), im
ungünstigsten Falle den siebenten Theil (0,78 : 5,42) des unvergohrenen
Extractes.
5) Die Menge des unvergohrenen Zuckers im Biere ist im Allgemeinen nicht nur an und
für sich, sondern auch im Verhältniß zum ganzen vergohrenen Extract und zum
berechneten ursprünglichen Zucker um so geringer, je weiter die Vergährung
vorangeschritten ist und umgekehrt.
Eine auffallende Ausnahme hiervon macht nur das Klosterbier, welches trotz seiner
bedeutenden Concentration und des geringsten in unserer Tabelle vorkommenden
Vergährungsgrades (49), mit seinem Zuckergehalte von einem Proc. des Bieres oder
12,4 Proc. des berechneten ursprünglichen Zuckers, sogar noch unter dem
Durchschnitte der käuflichen Biere steht.
6) Die ganze Menge des noch vorhandenen und des dem Alkohol entsprechenden Zuckers im
Verhältniß zum ursprünglichen Extract der Würze erscheint aber um so größer je höher
der Vergährungsgrad ist.
Das Klosterbier bestätigt diese Regel durch eine ganz besonders geringe
Verhältnißzahl.
Durch Zusammenhalten der in den beiden letzten Rubriken der Tabelle verzeichneten,
hier unter 5) und 6) in Worten ausgesprochenen Thatsachen ergibt sich weiters der
Schluß, daß:
7) das Verhältniß zwischen Zucker und Dextrin in der Würze nicht immer dasselbe ist,
wofür namentlich das Verhalten des Klosterbieres gegenüber den anderen von gleichem
oder ähnlichem Vergährungsgrade spricht; daß ferner:
8) der Vergährungsgrad zum Theil abhängt von dem Verhältniß des Zuckers zum Dextrin,
oder daß:
9) der größte Zuckergehalt der Würze für größere Vergährung des Bieres dadurch sich
herausstellte, daß der Alkohol nicht aus schon von Anfang an in der Würze
existirendem Zucker allein entstanden sey, sondern zum Theil auch aus Dextrin,
welches vielleicht als Zwischenstufe in Zucker übergegangen war und so der
Vergährung fähig wurde.
Welcher von diesen drei letzten Punkten der bedeutendste und maßgebendste sey, läßt
sich durch die vorliegende Arbeit nicht entscheiden; richtig sind sie wohl alle
drei. Entschieden festgestellt ist von Reischauer,Im polytechn. Journal Bd. CIXV S. 451 und
kürzlich von I. Gschwaendler im bayerischen
Bierbrauer, 1868, Nr. 7. daß ein nicht unbedeutender Theil des
Alkohols im Biere aus Dextrin entstanden ist — etwa ⅓ des
Gesammtalkohols, — sey es nun mittelbar, indem sich das Dextrin zuvor in
Zucker umsetzte, oder unmittelbar.
Wir haben bisher die Tabelle nur vom wissenschaftlichen Standpunkte aus betrachtet;
sie läßt sich aber auch aus einem anderen Gesichtspunkte, auf den sich der
Braumeister zunächst stellen muß, untersuchen, nämlich mit Rücksicht auf die
thatsächliche Anerkennung der Biere durch das Publicum, und dieß mit einem höchst
lehrreichen Erfolge.
Wenn man die Biere nach ihrem mittleren wirklichen Vergährungsgrade ordnet, so findet
man:
10) daß nach Münchener Geschmack, bei gleicher Concentration
und gleicher Reinheit des Geschmackes, jene Biere die beliebtesten waren, welche
am wenigsten vergohren waren;
11) daß von den stark vergohrenen Bieren jene bei Weitem vorgezogen wurden, welche am
stärksten eingebraut waren, und
12) daß im Allgemeinen die weniger vergohrenen Biere den
stärker vergohrenen stärkeren Bieren noch vorgezogen wurden.
Nur das Hofbräuhausbier widerspricht diesen drei Punkten und muß seine Beliebtheit
anderswo einen Grund haben. Das Klosterbier gibt dem ersten Satze wenigstens seine
unbedingte Approbation.
Diese letzteren Ergebnisse der Bieruntersuchungen sind gewiß für jeden Braumeister,
welcher Münchener Bier zu brauen hat, von größter Wichtigkeit und entschädigten mich
allein schon für die darauf verwandte Mühe und Geduld.
Um gutes Bier zu brauen, muß man vor Allem wissen, worin die Güte, welche sich im
Zuspruch abspiegelt, liegt; doppelt vortheilhaft ist es aber, wenn man die Güte des
Bieres durch Ersparniß an Material ereichen kann.
Freilich ist der Weg, ein wenig vergohrenes leichtes Bier herzustellen, viel
schwieriger als der, ein stark vergohrenes starkes Bier zu liefern; aber Thermometer
und Saccharometer fleißig angewendet, geben schon Auskunft über das Erreichte und
das noch Anzustrebende, und ob man sich noch auf dem richtigen Weg befindet oder Gefahr
läuft denselben zu verlieren.
Wenn nun schon eine einzige umfassendere Zusammenstellung von gleichartigen
Bieruntersuchungen so beachtenswerthe Resultate ergeben hat, so ist wohl der Wunsch
gerechtfertigt, daß derartige und noch erweiterte Untersuchungen von Jahr zu Jahr,
und zwar nicht nur in München, sondern auch in anderen namhaften Bierheimaten von
dazu Befähigten angestellt werden möchten, welche mit Kenntniß der praktischen
Bedürfnisse der Brauerei auch Interesse für die wissenschaftliche Entwickelung
derselben verbinden.