| Titel: | Experimentale Untersuchungen über Maschinen mit überhitztem Dampfe, ausgeführt durch den Ausschuß für Mechanik der Mülhauser Industrie-Gesellschaft in der Spinnerei der HHrn. Hausmann, Jordan, Hirn und Comp. zu Logelbach bei Colmar. |
| Fundstelle: | Band 186, Jahrgang 1867, Nr. LXXIII., S. 337 |
| Download: | XML |
LXXIII.
Experimentale Untersuchungen über Maschinen mit
überhitztem Dampfe, ausgeführt durch den Ausschuß für Mechanik der Mülhauser
Industrie-Gesellschaft in der Spinnerei der HHrn. Hausmann, Jordan, Hirn und Comp. zu Logelbach bei Colmar.
Nach dem Bulletin de la Société industrielle de
Mulhouse, t. XXXVII p. 149; April und Mai 1867.
Mit Abbildungen auf Tab.
VII.
Experimentale Untersuchungen über Maschinen mit überhitztem
Dampfe.
Die vortheilhaften Berichte, welche Hr. Hirn in der Lage war der Mülhauser Industrie-Gesellschaft
über seine mit überhitztem Dampfe betriebenen Maschinen vorzulegen (polytechn.
Journal Bd. CXLV S. 321) und die er im Jahre
1864 dahin zusammenfaßte, daß eine seiner Maschinen per
Pferdekraft und Stunde 1,14 Kilogr. Steinkohle von Ronchamp bei 12 Proc. Rückstand
verbrauche, und daß der Kessel dieser Maschine für jedes Kilogr. Kohle 7,4 Kilogr.
Wasser verdampfe, veranlaßten den Ausschuß für Mechanik der genannten Gesellschaft
dem Ansuchen des Hrn. Hirn
Folge zu geben und die von ihm erzielten Leistungen durch neue umfassende Versuche
zu bestätigen. Solche Versuche wurden denn auch im September 1864 in der Spinnerei
der HHrn. Hausmann, Jordan, Hirn und Comp. in
Logelbach durch den genannten Ausschuß unter Leitung des Hrn. G. Leloutre, aus dessen umfangreichem
Bericht wir nachstehenden Auszug geben, ausgeführt.
Das erwähnte Etablissement besitzt vier Motoren, zwei Turbinen und zwei
Dampfmaschinen, welche zusammen eine Zeitarbeit von circa 350 Pferdekräften zu leisten vermögen; jede der
beiden Dampfmaschinen hat ungefähr 100 Pferdekräfte und wird von einem eigenen, ganz
unabhängigen Kessel gespeist. Eine dieser Maschinen mit ihrem Kessel war Gegenstand
der Versuche.
I.
Die betreffende Maschine selbst ist eine alte Maschine mit Balancier, ursprünglich
mit zwei Cylindern von 0,416 und 0,747 Met. Durchmesser nach Woolf'schem System; diese beiden Cylinder wurden jedoch weggenommen und
durch einen doppeltwirkenden Cylinder von 0,605 Met. Durchmesser und 1,702 Met.
Hubhöhe ersetzt, welcher sich von den gewöhnlichen Cylindern dieser Art wesentlich
darin unterscheidet, daß er mit vier Schiebern
ausgestattet ist, von denen zwei zum Einlassen und zwei zum Ablassen des Dampfes
dienen. Durch diese Einrichtung, welcher Hr. Hirn eine große Wichtigkeit beilegt, wird
einerseits der schädliche Raum auf ein Minimum herabgebracht, und andererseits die
schädliche Abkühlung des bewegenden Dampfes verhindert, welche bei Cylindern mit
einem Schieber dadurch erfolgt, daß der eintretende heiße Dampf die äußere, der
abziehende kältere Dampf die innere Fläche des Schiebers bestreicht, und dieser
jenem einen Theil seiner Wärme entzieht. Diese Einrichtung dürfte deßhalb für
Maschinen, welche mit überhitztem Dampf von 220°C. mittlerer Temperatur
arbeiten, unentbehrlich seyn. Zur möglichsten Vermeidung einer äußeren Abkühlung des
Cylinders ist derselbe von einem Mantel aus Eichenholz von 0,05 Met. Dicke in einem
Abstand von 0,03 Met. von der Cylinderwand umgeben und der Zwischenraum dicht mit
Kälberhaaren ausgestopft.
Die Expansion ist eine veränderliche; während der Versuche wurde dieselbe jedoch
genau constant erhalten; sowohl directe Messungen nach Abnahme der Deckel der
Schieberkästen, als auch die von dem Watt'schen Indicator
gezeichneten Diagramme ergaben, daß die Absperrung des Dampfes sowohl bei
aufsteigendem als niedergehendem Kolben nach Zurücklegung von 15/64 = 0,2344 des
Kolbenhubes eintrat; diese Zahlen drücken also auch das Expansionsverhältniß
aus.
Die Luftpumpe der Maschine hat
0,537 Met. Durchmesser,
0,85 Met. Hubhöhe,
die Speisepumpe
„
„
„
0,076
„
„
0,378
„
„
Der Dampfkessel oder eigentlicher der Dampferzeugungs-Apparat besteht aus drei
Theilen: dem eigentlichen Dampfkessel mit drei Siederöhren, dem Ueberhitzungs
Apparat und dem Vorwärmer des Speisewassers. Der erste Theil hat die jetzt allgemein
übliche Form und Einrichtung; der cylindrische Kessel ist mit den halbkugelförmigen
Bodentheilen 9 Met. lang und hat 1,125 Met. äußeren Durchmesser; die drei
Siederöhren haben jede 10,7 Met. Länge und 0,40 Met. äußeren Durchmesser. –
Der Ueberhitzer besteht aus 16 cylindrischen Röhren aus
Gußeisen von 0,19 Met. äußerem und 0,155 Met. innerem Durchmesser und 2 Met. Länge,
welche durch halbkreisförmige Kniestücke fortlaufend verbunden und in vier
horizontalen Schichten neben- und übereinander gelagert sind. Der aus dem
Kessel kommende gesättigte Dampf tritt in die oberste Schichte ein und wird von der
untersten aus dem Dampfcylinder zugeführt. Die Anordnung dieser beiden Theile nebst
dem Feuerherde und den Heizcanälen erhellt aus den Figuren 12 und 13, welchen
nur die Bemerkung beizufügen ist, daß die vom Feuerherde kommende heiße Luft zuerst unter den
Siederöhren hinzieht, am Ende derselben in die tiefer liegende Kammer des Ueberhitzers hinabsteigt, dessen Röhrenschichten von
unten herauf bestreicht, und von da zu dem Kessel zurückgeht, den sie zuerst von
hinten nach vorn und dann von vorn nach hinten umspielt, worauf sie in die Kammer
des Vorwärmers hinabgeht und durch diese wieder aufwärts
in die Esse abzieht. Um die Heizung in allen Theilen reguliren zu können, stehen die
Heizcanäle des Kessels auch in directer Verbindung mit der Esse, und sind die
nöthigen Register angebracht, um die Kammern des Ueberhitzers und des Vorwärmers
gegen den Durchgang der heißen Luft ganz oder theilweise abzusperren.
Der Vorwärmer endlich besteht aus einem ähnlichen
Röhrensystem wie der Ueberhitzer; nur sind es hier 36
Röhren in neun horizontalen Schichten übereinander, welche durch 35 Kniestücke
verbunden sind, und mit diesen eine Heizfläche von 69 Quadratmetern darbieten. Die
Heizfläche des Kessels und der Siederöhren ist 56,8 Quadratmeter; die zur Erzeugung
des Dampfes dienende Fläche beträgt demnach 125,8 Quadratmeter, wovon sehr nahe 5/9
auf den Vorwärmer und 4/9 auf den Kessel, incl. Siederöhren, treffen; der
Ueberhitzer hat mit Einschluß der in seiner Kammer enthaltenen Theile der Zu-
und Ableitungsröhren des Dampfes eine Fläche von 27,8 Quadratmetern, sonach nahe die
Hälfte von der Heizfläche des Kessels, incl. Siederöhren. – Ein gerades
Röhrenstück des Ueberhitzers oder Vorwärmers wiegt 155, ein Kniestück 55 Kilogr.;
das Gewicht des Ueberhitzers beträgt daher circa 4000,
das des Vorwärmers circa 7600 Kilogr.
Zuletzt dürfte noch als bemerkenswerth die von Hrn. Hirn angewendete Verbindung der Röhren des
Ueberhitzers zur Herstellung eines dauerhaften dampfdichten Schlusses derselben
hervorzuheben seyn. In die Kreisfläche der Flanschen sind concentrisch zur
Röhrenöffnung Rinnen eingedreht, deren Querschnitt ein gleichschenkliges Dreieck von
6 Millimet. Höhe ist; in je zwei dieser sich gegenüberstehenden Rinnen einer Röhre
und eines Kniestückes ist ein Ring von rechteckigem Querschnitt aus weichem Eisen
eingelegt, so, daß dessen vier kreisförmige Kanten auf den vier conischen Flächen
der Rinnen aufliegen und beim Zusammenschrauben der Flantschen mittelst sechs
starker Schraubenbolzen stumpf gedrückt und dicht an die Rinnenflächen angepreßt
werden. Die Flantschen müssen dazu eine hinreichende Stärke erhalten und die Rinnen
möglichst nahe den inneren Rändern der Bolzenlöcher eingedreht werden, damit die
Bolzenköpfe und Schraubenmuttern noch über die Rinnen und den Ring hereingreifen und
ein Abbrechen der über den Ring vorspringenden Flantschensegmente verhütet wird. Es leuchtet ein,
daß eine solche kittfreie Verbindung sehr dauerhaft seyn muß.Unser Bericht verweist wegen der Vortheile der betreffenden Röhrenverbindung
auf ein früheres Gutachten im Juliheft 1863 des Bulletin über einen derartig construirten Vorwärmer im Etablissement von Dollfus-Mieg und Comp. in
Dornach. Dagegen ist aber einzuwenden, daß der mit Wasser gefüllte Vorwärmer
nur eine mäßige Temperatur annehmen kann, und daß bei der viel höheren
Temperatur der Ueberhitzungsröhren, besonders der der heißen Luft zunächst
ausgesetzten Schraubenbolzen, diese, welche auch auf den Zug angestrengt
sind, sich verhältnißmäßig mehr ausdehnen als der gepreßte Ring, und daß
deßhalb und mit Berücksichtigung der geringeren Ausdehnung der gußeisernen
Flantschen die Pressung des Ringes bei höheren Temperaturen nachlassen muß.
Deßhalb und der größeren Weichheit wegen dürften Ringe aus Kupfer, an beiden
Enden in die Rinnen passend zugeschärft, zweckmäßiger seyn. G. D.
II.
Was nun die Versuche selbst betrifft, und zunächst das allgemeine Verfahren, welches
denselben zu Grunde gelegt werden sollte, so ging das damit beauftragte
Comité für Mechanik von der Ansicht aus, daß die Bestimmung der mittleren
Arbeit einer Maschine durch einen Versuch mit dem Prony'schen Zaum während eines Tages oder auch nur einiger Stunden mit aller
wünschenswerthen Genauigkeit erreicht werden könne, daß es aber zur sicheren
Ermittelung des Verbrauches an Wasser und Kohle per
Pferdekraft und Stunde nothwendig sey, die Beobachtungen mehrere Tage hindurch
fortzusetzen, um alle dabei maßgebenden Einflüsse umfassen zu können, und entschied
sich in Folge dessen dafür, die betreffende Maschine mit ihrem Dampferzeuger sechs
Arbeitstage hindurch, während welcher ihre Arbeit zum Betrieb der Spinnerei
verwendet wurde, in möglichst constantem Zustande Zu erhalten, und alle während
dieser Zeit eintretenden, den Gang der Maschine beeinflussenden Umstände möglichst
sorgfältig aufzuzeichnen; am darauf folgenden Sonntag aber, nachdem die Transmission
ausgelöst, und die Maschine wieder in denselben Zustand wie während der Woche
versetzt worden, ihre Arbeit mittelst des Zaumes zu messen.
Die Arbeit einer Dampfmaschine mit Condensation hängt hauptsächlich von folgenden
vier Größen ab: 1) von dem Dampfdruck auf den Kolben, 2) vom Gegendruck im
Condensator, 3) von dem Expansionsverhältniß und 4) von der Zahl der Kolbenspiele
oder Schwungrad-Umläufe in der Zeiteinheit; die Erhaltung eines constanten
Zustandes einer solchen Maschine zur Erzielung und Beurtheilung einer constanten
Arbeit erfordert demnach, daß die genannten vier Größen während der betreffenden
Zeit unverändert bleiben.
Diese Bedingung läßt sich für die dritte der genannten Größen leicht und ganz genau
erfüllen, und bietet auch für die beiden ersten keine große Schwierigkeiten dar, da
es für die eine nur darauf ankommt, die Heizung gehörig zu reguliren und alle
Dampfhähne und Klappen vollständig offen zu lassen, für die andere, die Luftpumpe in
gutem Stande zu erhalten; die Einhaltung eines gleichen Ganges der Maschine aber,
welcher wesentlich von der Unveränderlichkeit der zu leistenden Arbeit abhängt und
schon bei Versuchen mit dem Prony'schen Zaum große
Aufmerksamkeit erfordert, schien bei der Anwendung der Maschine zum Betrieb einer
Spinnerei nicht zu beseitigende Schwierigkeiten darzubieten. Diese Schwierigkeiten
wurden indessen durch einen Vorschlag des Hrn. Hirn beseitigt, über dessen Annahme sich das
Comité nach längeren Besprechungen einigte, und der dahin gieng, sämmtliche
obengenannte vier Motoren der Spinnerei während der Versuchszeit zum Betrieb
derselben in Thätigkeit zu setzen, die Versuchsmaschine selbst dabei immer mit
vollständig geöffneten Dampfhähnen und Klappen und ihrer vollen Kraft arbeiten zu
lassen, und alle Geschwindigkeits-Aenderungen, welche sich durch die
veränderliche Arbeit in der Spinnerei ergeben würden, durch die veränderliche
Expansion der zweiten Dampfmaschine und die Regulirungs-Schützen der beiden
Turbinen auszugleichen. Die mit der pünktlichsten Sorgfalt überwachte Ausführung
dieses Vorschlages rechtfertigte vollständig dessen Annahme;Die in unserem Bericht angedeuteten, im Comité erörterten Gründe für
und gegen die Möglichkeit einer Beeinflussung der Arbeit der
Versuchsmaschine durch die Arbeit der anderen Motoren können hier füglich
übergangen werden, da besonders die ersteren mehr oder minder auf unklaren
Anschauungen beruhen. G. D. denn es ergibt sich aus den von Viertelstunde zu Viertelstunde gemachten
Aufzeichnungen der Umdrehungszahlen des Schwungrades, daß die mittlere
Umdrehungszahl per Minute eines Tages von dem
entsprechenden Mittel der ganzen Woche um weniger als 1/2 Proc. abweicht. (Mit
Ausnahme der ersten Morgenstunde besonders in den ersten Tagen der
Versuchs-Woche differiren selbst die Mittel für die einzelnen Stunden nicht
mehr als zwei Proc. von dem Mittel für die ganze Woche, und unter den mehr als 280
einzelnen Aufzeichnungen befinden sich nur 4 oder 5 nach einander sich ausgleichende
Abweichungen von ± 10 Proc.)
Wie die Umlaufszahlen wurden auch die übrigen Beobachtungen an den verschiedenen
Apparaten und Instrumenten, welche während der Woche zur Anwendung kamen, von
Viertelstunde zu Viertelstunde aufgezeichnet; wegen der kleinen Zahl der Beobachter
konnten aber diese Aufzeichnungen nicht in demselben Augenblick geschehen, und an
den beiden ersten Tagen
mußte sogar der Berichterstatter allein alle Versuche eintragen und überwachen.
Demungeachtet stimmen die Resultate sehr befriedigend überein und die kleinen
Abweichungen von 3 bis 4 Proc. sind in den meisten Fällen durch besondere Umstände
gerechtfertigt.
Für die einzelnen Beobachtungen wurden folgende Einrichtungen getroffen:
1) Zur Bestimmung der Umdrehungszahlen (Kolbenspiele) bediente man sich eines sehr
guten Zählers, welcher während der Woche unmittelbar durch eine Stange des Watt'schen Parallelogrammes in Bewegung gesetzt wurde.
Bei jedem Anlauf der Maschine in der Frühe und Nachmittags ließ man dieselbe erst
einige Hundert Umdrehungen leer machen, bis das Schwungrad die normale
Geschwindigkeit erlangt hatte, und dann wurde auf ein gegebenes Zeichen die
Transmission der Spinnerei eingelöst und die Dampfklappe vollständig geöffnet;
ebenso erfolgte beim Abstellen der Maschine auf ein gegebenes Zeichen gleichzeitig
die Auslösung der Transmission und die vollständige Schließung der Dampfklappe. Bei
dem Versuche mit dem Zaum am Sonntag wurde das Zählwerk durch ein kleines
Excentricum in Bewegung gesetzt, das auf derselben Welle wie die Trommel des Zaumes
befestigt war; die Umdrehungsgeschwindigkeit dieser Welle ist 11/6 von der des
Schwungrades.
2) Die Dampfspannung im Kessel wurde nicht durch Metallmanometer, sondern durch ein
offenes Quecksilbermanometer bestimmt; die durch einen Schwimmer angegebenen
Quecksilberhöhen wurden direct in Millimetern gemessen und daraus mit
Berücksichtigung des mittleren Barometerstandes an dem betreffenden Tage und der
über dem Quecksilber in der Verbindungsröhre mit dem Kessel stehenden, aus
condensirtem Dampf gebildeten Wassersäule die Dampfspannung n in Atmosphären nach der Formel:
n + (H +
h)/10,330 = 2h/0,760 +
na oder n = 19,900h/7,8508 –
H/10,330 + na
berechnet, worin na der Barometerstand in Atmosphären, h die Elevation oder Depression des Quecksilbers über
oder unter den Gleichgewichtsstand und H die durch
Nivellement bestimmte Höhe des höchsten Punktes der Verbindungsröhre mit dem Kessel
über dem Gleichgewichtsstande des Quecksilbers in Metern ausgedrückt
bezeichnet.Man ersieht aus obiger Formel, daß sowohl das Quecksilber als das Wasser im
Zustand der größten Dichte angenommen ist; die daraus entspringenden Fehler
betragen jeder fast 1/2 Proc. von n; sie heben
sich aber wegen entgegengesetzten Einflusses größtentheils auf. G. D.
H wurde = 1,948 gefunden, und damit folgt:
n = na + 2,5347 h
– 0,1885.
Außerdem veranlaßte die fortdauernde Verlängerung der Schnur, welche den Schwimmer
mit dem Zeiger verband, mehrfach Correctionen der Messungen; die Bestimmung der
Dampfspannung erforderte deßhalb die meiste Arbeit und sehr viele Berechnungen.
3) Der Gegendruck im Condensator wurde durch ein geschlossenes, luftleeres
Quecksilbermanometer gemessen, außerdem aber auch mittelst eines Watt'schen Indicators in Curven dargestellt, da man jenes
Manometer nicht für empfindlich genug hielt gegen rasch auf einanderfolgende
Veränderungen in der Spannung des Condensators. Dieser Gegendruck war übrigens
während der Versuche ziemlich constant, aber im Mittel auch ziemlich groß, was einer
ungenügenden Beschaffenheit des Kolbens der Luftpumpe zugeschrieben werden
mußte.
4) Um die Menge des verdampften Wassers zu bestimmen, wurde über dem Kessel ein
großes Faß aufgestellt, welches vollständig gefüllt nach zwei verschiedenen Wägungen
748 Kilogr. Wasser von 24°C. faßte, also einen Rauminhalt von 750 Litern
hatte; aus diesem konnte das Wasser durch einen Hahn in einen anderen Behälter
abgelassen werden, aus welchem es dann die Speisepumpe schöpfte, um es dem Kessel
zuzuführen. Das Faß selbst wurde übrigens nicht mit Condensationswasser, sondern aus
einem Wasserbehälter gefüllt, weil dieß auf die Leistung des Kessels keinen Einfluß
hat, wenn man, wie es bei allen bisherigen derartigen Untersuchungen von Seiten des
Comité für Mechanik geschehen ist, die verdampfte Wassermenge auf Gewicht und
0° Temperatur reducirt. Um diese Menge möglichst genau zu erhalten, wurde zu
der auf Gewicht und 0° reducirten eingepumpten Wassermenge auch noch
diejenige berechnet, welche dem Unterschiede der Wasserstände im Kessel am Morgen
und Abend eines Tages entspricht, und zwar mit Berücksichtigung der Wärmemenge,
welche das nicht verdampfte, aber bis zur Temperatur des Dampfes im Kessel erwärmte
Speisewasser verbrauchte. Weil aber das Wasser am Abend nach dem Abstellen der
Maschine lange Zeit in starker Bewegung bleibt, welche ein genaues Messen des
Wasserstandes nicht zuläßt, so wurde vorgezogen, die in der Frühe vor Anfang der
Heizung erhobenen Wasserstände jener Berechnung zu Grunde zu legen.
Diese Berechnungen, von denen der Bericht die den Montag betreffende als Beispiel
vorlegt, geben zu mehrfachen Bedenken Veranlassung; denn einmal ist ein wesentlicher
Umstand, die Temperatur des Wassers bei der Messung der Wasserstände in der Frühe
ganz übersehen, und es ist dafür doch kaum zulässig, daß das jener Höhendifferenz
entsprechende Wasservolumen vor dem Anzünden (avant
l'allumage) die mittlere Temperatur im Kessel während des entsprechenden
Tages gehabt habe, wie
es in dem erwähnten Beispiel zur Reduction auf Gewicht angenommen ist; dann aber
scheint diese Berechnung, aus welcher auch nicht hervorgeht, wie es in den Fällen
gehalten wurde, wo während eines Tages mehr Wasser verdampft als eingepumpt worden
war, gar nicht consequent durchgeführt worden zu seyn. Von Montag in der Frühe bis
Dienstag in der Frühe wird eine steigende Höhendifferenz = 85 Millimet. und das
berechnete entsprechende Volumen = 760 Liter angegeben; dieses Volumen von mehr
eingepumptem als verdampftem Wasser wird, der mittleren Dampfspannung von 4,46
Atmosphären entsprechend, zu 149°C. angenommen, auf 695 Kilogr. reducirt und
sofort weiter berechnet, daß durch die Wärme, welche diese 695 Kilogr. verbraucht
haben, um sich von der mittleren Temperatur 19,34° des Speisewassers bis zu
149° zu erwärmen, 140,5 Kilogr. Wasser von 0° hätten verdampft werden
können, daß also, da 17 × 750 = 12750 Liter von 19,34°, welche für die
Verdampfung gleich seyen 12427,6 Kilogr. Wasser von 0°, wirklich eingepumpt
worden, die Leistung des Kessels am Montag durch die Verdampfung von 12427,6
– 695 + 140,5 = 11873,1 Kilogr. Wasser von 0° ausgedrückt werde.
Stellen wir nun zur Vergleichung die Zahlen zusammen, wie sie in den dem Berichte
beigegebenen Tageslisten sämmtlicher Beobachtungen enthalten sind, so ergibt sich
folgende Uebersicht:
Tag.
Speisewasserin Kilogrammenvon
0°.
MittlereTemperatur desSpeisewasser.
Höhendifferenzdes Wasserstandes.
EntsprechendeWassermenge inKilogr. von
0°.
Leistung des Kesselsanverdampftem Wasser in
Kilogrammenvon 0°.
Millim.
Montag
12427,6
19°,34
+ 85
695,0
11873,1 = 12427,6 – 695,0 +140,5
Dienstag
11721,04
17,66
– 56
366,33
12091,0 = 11721,0 + 366,3 + 3,7
Mittwoch
12456,24
18,02
+ 48
318,0
12145,0= 12456,2 – 318,0 + 6,8
Donnerstag
11679,14
20,11
– 19
125,0
11,802,64 = 11679,14 + 125 – 1,5
Freitag
12187,38
20,21
+ 42
271,71
11919,90= 12187,38 – 271,71 + 4,23
Samstag
11901,88
20,00
– 52
338,77
12234,98 = 11901,88 + 338,77 – 5,67
Beachtet man dann, daß die Spannung, also auch die Temperatur im Kessel nahe constant
war während der ganzen Woche, und daß auch die Unterschiede in der Temperatur des
Speisewassers nicht groß sind, so wird der große Unterschied in den letzten Zahlen
der letzten Spalte für
den Montag, Mittwoch und Freitag, an denen weniger Wasser verdampft als zugeführt
wurde, während diese Zahlen nahezu den überschüssigen Wassermengen 695, 318 und 272
Kilogr. proportional seyn sollten, schwer zu begreifen, und noch schwerer der
Zeichenunterschied in den betreffenden Zahlen am Dienstag, Donnerstag und Samstag,
an welchen Tagen mehr Wasser verdampft als zugeführt wurde. Diese Zahlen sind
übrigens für alle anderen Tage außer dem Montag so geringfügig, daß sie gegenüber
der Unsicherheit in den Zahlen der vorletzten Spalte gar keine Berücksichtigung
verdienen.
5) Die Kohle, welche zur Heizung verwendet wurde, kommt von der Grube St. Joseph zu
Ronchamp; sie hinterließ im Mittel 13 1/2 Proc. Rückstände. Da der Etagenrost von
Langen, welcher den Feuerherd bildet (Fig. 12), eine
vollständige Verbrennung der Kohks nicht zuläßt, so wurden an jedem Abend die
übriggebliebenen Kohks nebst Asche und Schlacken aus dem Feuerherde genommen, Alles
gewogen und dann die Kohks ausgelesen; diese wurden am nächsten Tage vom Heizer mit
Steinkohle gemischt und gemäß der Angabe mehrerer Schriftsteller zu 80 Proc.
frischer Kohle berechnet.
6) Um die Temperaturen des Wassers beim Austritt aus dem Vorwärmer und des Dampfes
vor dem Eintritt in den Cylinder bestimmen zu können, wurden in die Leitungsröhren
kleine Kesselchen von Kupfer befestigt und mit Oel gefüllt, und in dieses die mit
Baumwolle umwickelten Thermometer eingesetzt. Die Temperatur des Rauches beim
Eintritt in den Vorwärmer wurde in der Art gefunden, daß man ein kleines Gefäß von
Eisen oder Kupfer mit Oel gefüllt in die Feuerzüge hangte, dasselbe beim
Herausnehmen mit einem schlechten Wärmeleiter umhüllte und vorsichtig ein
Thermometer eintauchte. Noch höhere Temperaturen, wie die des Rauches beim Eintritt
in den Ueberhitzer, bestimmte man nach der „Methode der
Mischungen“ mittelst eines Stückes Eisen von 2 bis 3 Kilogrm.,
welches eine halbe Stunde der heißen Luft ausgesetzt und dann in einer bekannten
Gewichtsmenge Wasser von gegebener Temperatur abgekühlt wurde; die
Temperatur-Erhöhung des Wassers gibt durch eine einfache Rechnung die
Temperatur des Eisenstückes vor dem Eintauchen, also auch die der heißen Luft, in
welcher das Eisen sich befunden hatte.Es darf wohl kaum näher erörtert werden, daß und warum alle diese
Bestimmungsmethoden die gesuchten Temperaturen etwas zu klein geben mußten.
G. D. Alle beobachteten Temperaturen wurden zuletzt auf die eines
Normal-Thermometers reducirt, mit welchem alle übrigen Instrumente waren
verglichen worden.
Die nachfolgenden beiden Tabellen geben eine Uebersicht über die Hauptergebnisse
aller dieser Beobachtungen durch Zusammenstellung der aus den Tageslisten
berechneten Mittelwerthe für jeden Tag der Woche.
Tabelle I.
Textabbildung Bd. 186, S. 346
Wochentage; Tägliche Dauer der
Arbeit; Tägliche Zahl der Umdrehungen des Schwungrades; arbeitend; leergehend;
Mittlere Umdrehungszahl per Minute; Mittlere
Dampfspannung im; Kessel; Condensator; Verbrannte Kohle; Rückstände; im Ganzen;
in Proc.; Kohle, auf 10 Procent Rückstand reducirt; Verdampftes Wasser im
Kilogr. von 0°; Leistung des Kessels an verd. Wasser per Kilogr. Kohle; Kohlen per Stunde; Verdampftes Wasser per Stunde;
Täglicher mittlerer Barometerstand; Atm.; Kilogr.; Millimet.; Montag; Dienstag;
Mittwoch; Donnerstag; Freitag; Samstag; Sonntag; Summen; Mittelwerthe
Bemerkung: Die mittlere Dampfspannung im Condensator für
den Montag ist in der dem Berichte beiliegenden
Tagesliste unrichtig zu 0,102 Atm. berechnet, statt der oben eingesetzten 0,1151
Atm., demnach ändert sich auch die Summe und der Mittelwerth dieser Spannungen wie
oben angegeben. G. D.
Tabelle II.
Textabbildung Bd. 186, S. 347
Wochentage; Mittlerer Wasserstand
über der Achse des Kessels; Temperatur des Rauches; beim Eintritt in den
Ueberhitzer; beim Austritt aus dem Ueberhitzer; Unterschied (proportional der
vom Speisewasser absorbirt Wärmemenge.); Mittlere Temperatur des überhitzten
Dampfes; Wärme, welche der Rauch an den cylindr. Körper des Kessels abgegeben;
Temperatur des Rauches; beim Eintritt in den Vorwärmer; beim Austritt aus dem
Vorwärmer; Unterschied (proportional der vom Speisewasser absorbirt.
Wärmemenge.); Temperatur des Speisewasser; beim Eintritt in den Vorwärmer; beim
Austritt aus dem Vorwärmer; Wärme, welche das Speisewasser im Vorwärmer
aufgenommen; Millimet.; Montag; Dienstag; Mittwoch; Donnerstag; Freitag;
Samstag; Summen; Mittelwerthe
III.
Bei den Versuchen mit dem Zaum, welche Sonntags den 18. September in Gegenwart und
unter Mitwirkung vieler Mitglieder des Comité für Mechanik und vieler
Ingenieure vorgenommen wurden, war die Trommel für den Zaum auf der ersten
Transmissionswelle befestigt, deren Umdrehungsgeschwindigkeit, wie schon oben
bemerkt wurde, 11/6 von der des Schwungrades ist. Diese Welle ist aus Gußeisen und
hat zwischen den Lagern eine Länge von 5 bis 6 Metern, und ihr Durchmesser scheint
ein Minimum zu seyn für die Uebertragung einer Arbeit von mehr als 100
Pferdekräften; ein länger dauernder Versuch dieser Art schien deßhalb gefährlich,
und man beschränkte denselben auf den Rath der sämmtlichen anwesenden Ingenieure auf
die Dauer einer halben Stunde, indem man die während der zweiten Viertelstunde
gemachten Beobachtungen, welche eine nahe gleichförmige Bewegung der Maschine
während dieser Zeit ergaben, als endgültige annahm.
Anstatt das absolute Gewicht des Zaumes und dessen Schwerpunkt zu bestimmen, um
daraus dessen Gewichtsmoment in Bezug auf die Achse der Welle zu berechnen, hat man
es vorgezogen, das Gewicht des Zaumes und der angehängten Waagschale unmittelbar auf
den äußersten Radius zu reduciren, indem man denselben auf einen horizontal
unterstützten runden Eisenstab auflegte, und in einer solchen Lage, worin der
Stützpunkt auf dem Stab und die geometrische Achse sich in einer verticalen Ebene
befanden, den vom Endpunkte des HebelsVon dem Punkt, wo die Waagschale angehängt war? G. D. ausgeübten Druck bestimmte; man fand so zuerst 79,125 Kilogrm., und nach dem
Versuche als der Apparat stark benetzt worden war, 79,750 Kilogr. für den Druck in
dem betreffenden Punkte. Der Radius des Zaumes (die Länge des Hebels von der Achse
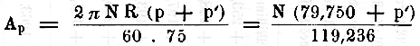
an gemessen?) betrug 6,006 Meter. Bezeichnet man diesen mit R, den vorher genannten Druck oder das auf den Endpunkt von R reducirte Gewicht des Zaumes und der Waagschale mit
p, das in der letzteren eingelegte Gewicht mit p', dann die Anzahl der Umläufe der Trommel per Minute mit N, so hat man
für die Zeitarbeit Ap in Pferdekräften die Formel:
Textabbildung Bd. 186, S. 348
Die Belastung p' der Waagschale war 180 Kilogr. von 11h 10' bis 11h
19' und 185 Kilogr. von 11h 19' bis 11h 24', dem Schluß des Versuches; während der
ersten Periode gab das Zählwerk 1755 – 1302 = 453 Umdrehungen der Trommel in
9 Minuten, woraus N = 50 1/3 folgt, in der zweiten 2014
– 1755 = 259 in 5 Minuten, also N = 51,8. Führt
man diese Werthe in die vorstehende Formel ein, so findet manMit den Werthen R = 6,006 und p = 79,75 in der allgemeinen Formel ergibt sich,
richtiger berechnet, die besondere: Ap = N
(79,750 + p')/ 119,247, und daraus folgen mit
den obigen Werthen von N und p' die Arbeitsgrößen Ap = 109,638 und Ap =
115,006, wenn es überhaupt angezeigt ist diese Größen auf drei Decimalen zu
berechnen, da ihnen der Bericht selbst nur eine Genauigkeit von 1/2 Proc.
beilegt. als
Zeitarbeit in der ersten Periode,
Zeitarbeit in der zweiten Periode
109,649 Pferdekräfte.
115,016 Pferdekräfte.
In der nachfolgenden Tabelle sind die endgültigen Versuche mit dem Zaum und deren
(corrigirte) Ergebnisse zusammengestellt.
Tabelle III.
Textabbildung Bd. 186, S. 350
Beobachtungszeit; Angabe des
Zählers; Differenzen; Umdrehungen des Schwungrades per Minute; Belastung der Waagschale; Ganze Belastung für den Hebel =
6,006 Met.; Druck im; Kessel; Condensator; Temperatur des Condensationswassers;
beim Eintritt; beim Austritt; Arbeit in Pferdekräften; Bemerkungen; Kilogr.;
Atm.; Hähne und Ventile vollständig offen von 11 Uhr 7 Min. an.; Erste Periode;
Mittelwerthe; Zweite Periode; Mittelwerthe für beide Perioden zusammen
IV.
Der Bericht geht nun auf die Bestimmung der mittleren Zeitarbeit der Maschine für die
einzelnen Tage der Versuchswoche über und hebt die Bedenken hervor, welche wegen der
unvermeidlichen Schwankungen der Dampfspannungen im Kessel, also auch im Cylinder,
einer einfachen Ableitung der Arbeit während der Woche aus der durch den Prony'schen Zaum bestimmten entgegenstünden, da man
einerseits die Abweichungen der Dampfspannung im Kessel und Condensator nicht in
Rechnung bringen könne, ohne das Gesetz für die Expansion des Dampfes im Cylinder zu
kennen, und weil andererseits Zweifel darüber bestehen könnten, ob die Summe der
Arbeiten in den einzelnen Viertelstunden, berechnet aus den beobachteten,
unvermeidlich veränderlichen Dampfspannungen und Umdrehungszahlen, gleich ist der
Arbeit für den ganzen Tag, berechnet aus den arithmetischen Mitteln jener
beobachteten Größen. In Bezug auf das letztere Bedenken glaubt der Berichterstatter
als Ergebniß von neueren Versuchen mit dem Prony'schen
Zaum an der Dampfmaschine der HHrn. Wehrlin, Hofer
und Comp., welche eine ganze Stunde hindurch dauerten und
bis zu 1/2 Proc. übereinstimmende Resultate gaben, den folgenden Erfahrungssatz als
unwidersprechlich aufstellen zu dürfen:
Die Dampfspannung in dem Cylinder einer Dampfmaschine und die
Zahl der Kolbenspiele kann sich innerhalb sehr (?) weiter Grenzen ändern, ohne
daß die Arbeit derselben von derjenigen abweicht, die sich ergeben hätte, wenn
die Dampfspannung und Kolbenspielzahl constant und gleich dem arithmetischen
Mittel der veränderlichen Werthe dieser Großen gewesen wäre.
Eine demnächst erfolgende Veröffentlichung jener Versuche werde diesen Satz bis zur
letzten Evidenz feststellen.
Um nun das Gesetz für die Aenderung der Spannung im Cylinder während der Expansion
des Dampfes zu ermitteln, fährt der Bericht fort, standen zwei Reihen von
Beobachtungen zu Gebote: 1) die Diagramme durch den Watt'schen Indicator, und 2) die Versuche mit dem Prony'schen Zaum (!).
Die mit sehr empfindlichen Instrumenten von J. Hodgkinson
und Comp. in Huddersfield in den letzten Tagen der Woche
und am Sonntag erhaltenen Diagramme des Dampfdruckes im Cylinder, und zwar sowohl
über als unter dem Kolben, zeigen eine sehr große Uebereinstimmung; man konnte diese
Instrumente bis zu 20 Kolbenspielen hintereinander in Thätigkeit lassen, ohne daß der Stift
einen Zug von mehr als 1/4 bis 1/3 Millimeter Breite erzeugte. Die Gerade, welche
dem atmosphärischen Druck entspricht und in ihrer ganzen Länge die Größe des
Kolbenhubes vorstellt, wurde als Abscissenachse in 16 gleiche Theile getheiltEs wäre doch entsprechender und für die spätere Flächenberechnung richtiger
gewesen, bei der Absperrung, wo das Gesetz der Curve sich ändert, eine
Ordinate zu errichten, und jeden der beiden entsprechenden Theile der
Abscissenachse für sich in gleiche Theile zu theilen., in den Theilungspunkten wurden Ordinaten errichtet, diese mit größter
Sorgfalt bis auf Zehntel-Millimeter gemessen und die erhaltenen Maaße in
Kilogram. auf den Quadratcentimeter ausgedrückt. Diese Diagramme und zwar
insbesondere die vier am Sonntag während des Versuches mit dem Zaum, um 11h 10', 11h 12',
11h 15' und 11h 18 1/2' aufgezeichneten, zeigen übereinstimmend, daß in dem Cylinder der
Hirn'schen Maschine die Expansion des Dampfes sehr
nahe dem Mariotte'schen Gesetze folgtGegen das Ende des Berichtes werden neue Versuche, im Laufe dieses Jahres an
demselben Cylinder der Hirn'schen Maschine
angestellt, erwähnt, denen zufolge bei einem kleineren Expansionsverhältniß
= 1/8 die Expansion des Dampfes nicht mehr dem Mariotte'schen Gesetze folge, sondern näher durch die Formel p/p₀ =
(v₀/v)/0,9 ausgedrückt
werde., daß man also während der Expansion für die Dampfspannung die Formel
hat:
p = p₀v₀/v = p₀ fl/x
und für die Arbeit dieser Dampfspannung per Flächeneinheit:
Textabbildung Bd. 186, S. 352
worin p₀ den Druck vor der
Absperrung des Dampfes, l die Länge des Kolbenhubes, x den Weg des Kolbens und f
das Expansionsverhältniß bezeichnet. Für die Arbeit des vollen Dampfes hat man:
A₁ = p₀v₀ = p₀ fl,
für die Arbeit des Gegendruckes, wenn pc die mittlere Spannung des Dampfes vor
dem Kolben ist,
A₃ = pc
l,
und folglich für die ganze Arbeit des Dampfdruckes auf die
Flächeneinheit und für einen Kolbenhub:
Textabbildung Bd. 186, S. 352
Bezeichnet dann d den Kolbendurchmesser, N die Zahl der Umdrehungen des Schwungrades oder der
doppelten Kolbenspiele per Minute und P den atmosphärischen Druck in Kilogr., werden die Spannungen p₀ und pc Kilogr. durch a₀ und ac Atmosphären ausgedrückt, und führt man endlich statt der absoluten
Arbeit A die Zeitarbeit
Ap in
Pferdekräften ein, so wird
Textabbildung Bd. 186, S. 353
und mit den unserer Maschine entsprechenden Werthen: d = 0,605 Met., l = 1,702
Met., f = 0,2344, ergibt sich:
c)
Ap = 2,246
N(0,5745 a – ac)
als Ausdruck der wirklichen
Zeitarbeit des Dampfes in dem betreffenden Cylinder.
Die in der Formel (a) oder in der daraus mit den Werthen
von f und l abgeleiteten
d)
A = 1,702 (0,5745 p₀ – pc)
ausgedrückte Arbeit für einen Kolbenhub erscheint aber auch in
der Fläche der den Dampfdruck im Cylinder darstellenden Diagramme vorgestellt; es
mühte demnach die Formel (d) mit dem Flächeninhalt
dieser Diagramme übereinstimmen, wenn sie, beziehungsweise die Voraussetzung, auf
welcher sie beruht, richtig wäre. Aus den vier obengenannten, während des Versuches
mit dem Prony'schen Zaum verzeichneten Diagrammen ergeben
sich für p₀ und pc die Mittelwerthe: 4,202 und 0,315 Kilogr. auf den
Quadratcentimeter, und damit folgt nach (d)
A = 3,5726 Meterkilogr.;
die mittlere Fläche dieser Diagramme dagegen gibt nach dem
Bericht nur
A = 3,4423 Meterkilogr.,
mithin einen Unterschied von fast 4 Proc. Der Bericht
berechnet aus dieser Arbeit für die Flächeneinheit mit Berücksichtigung der Fläche
des Kolbens und der mittleren Umdrehungszahl 27,4545 während der ersten Periode der
Versuche mit dem Zaum sogleich die Zeitarbeit
Ap zu 120,72
Pferdekräften, findet dann mit den Werthen a₀ =
4,067 und ac =
0,305 Atmosphären, welche den obigen Werthen von p₀ und pc entsprechen, aus der Formel (b) dasselbe Ap = 125,04
PferdekräftenRichtiger sind diese Werthe Ap = 120,73 und 125,30 Pferdekräfte.
G. D., und bringt von der letzteren Zahl 3,1 Pferdekr. als Arbeitsverlust in
Abzug, hervorgegangen aus der durch mangelhafte (nicht genügend voreilende) Stellung
des Schiebers bewirkten Verzögerung der Dampfzulassung (weil nämlich die Formeln
(a) und (b) die
Dampfspannung vom Anfang des Kolbenhubes an gleich p₀ oder a₀ annehmen, während die
Diagramme zeigen, daß
der Kolben über 1/16 seines Weges zurücklegte bis die Spannung ihren größten Werth
erreichte.)In dieser Verzögerung der Dampfzulassung dürfte allerdings der größte Theil
des Unterschiedes zwischen den Werthen von A
oder Ap
begründet seyn; ein anderer Theil desselben folgt aber aus sehr
wahrnehmbaren Abweichungen der Spannungscurve von dem Mariotte'schen Gesetz, besonders aus einer bemerkenswerthen
Depression derselben in der Mitte des Kolbenhubes. G. D.
Wenn nun schon solche Differenzen zwischen der wirklichen Arbeit des Dampfes und der
aus der Formel (b) oder (c)
berechneten sich ergeben, wenn darin für a₀ und
ac die unter
und über dem Kolben wirksamen Dampfspannungen eingesetzt werden, so müssen die
Unterschiede noch viel größer ausfallen, wenn nach dieser Formel die durch die
Dampfmaschine vom Schwungrad aus fortgepflanzte Arbeit, wie sie durch den Prony'schen Zaum gemessen wurde, berechnet wird, und wenn
darin a₀ den Dampfdruck. im Kessel und ac den Gegendruck
im Condensator bedeuten soll. Denn einerseits zeigt die Vergleichung der aus den
Diagrammen berechneten Arbeit von 120,73 Pferdekr. mit der durch den Zaum in der
ersten Periode gefundenen von 109,64 Pferdekr., daß die Dampfmaschine selbst im
Cylinder, für die Schieber und Pumpen und durch den Balancier und das Schwungrad
eine Arbeit von 120,73 – 109,64 = 11,09 Pferdekr. verzehrte, d. i. 8 Proc.
der wirklichen Arbeit (was immerhin als ein sehr geringer Verlust bezeichnet werden
kann), und andererseits zeigen die Diagramme durch Vergleichung mit den
Druckbestimmungen im Kessel und Condensator, daß der wirksame Druck auf den Kolben
wesentlich kleiner ist als die Dampfspannung im Kessel, und der Gegendruck auf den
Kolben wesentlich größer als die im Condensator beobachtete Dampfspannung, wie es
aus der nachstehenden Tabelle klar hervorgeht.
Beobachtungszeit.
Beobachtete Spannung
Im Cylindernach den Diagrammen
Unterschiede zwischen
imKessel(a)
imCondensator(b)
höchsterwirksammerDruck(c)
mittlererGegendruck(d)
(a) und (c)
(b) und (d)
Atm.
Atm.
Atm.
Atm.
Atm.
11h
10'11 1211 1518 1/2
4,5434,5904,5904,637
0,11840,12100,12230,1217
4,0164,0694,0694,115
0,31270,30490,30010,3020
– 0,527– 0,521–
0,521– 0,522
+ 0,1943+ 0,1839+ 0,1778+ 0,1803
Mittelwerthe
4,590
0,1209
4,067
0,3066
– 0,523
+ 0,1841
Im Mittel war also darnach der wirksame Druck a₀
im Cylinder nur 88,6 Proc. von der Spannung im Kessel, und dagegen der Gegendruck
ac im
Cylinder 250 Proc. von der Spannung im Condensator. Ungeachtet dieser
Verschiedenheit glaubt der Bericht, die Formel (c) werde
zur Berechnung der wirklich geleisteten Zeitarbeit Ap' an den Wochentagen aus den mittleren
Spannungen im Kessel und Condensator hinlänglich umgeformt, wenn man sie mit einem
Correctionscoefficienten multiplicire, so daß man habe:
e)
Ap' = CN (0,5745 a'₀
– ac
'),
worin nun a'₀ und ac
' die ebengenannten Spannungen bedeuten, und wenn man
dann den Coefficienten C durch die Resultate der
Versuche mit dem Prony'schen Zaum bestimme; es werden auf
diese Weise mit den zusammengehörenden Mittelwerthen der Tabelle III für die erste
und zweite Periode die Werthe: C = 1,588 und C = 1,599 berechnet, und aus dem geringen Unterschied =
0,011 = 1/145 des Mittels dieser Zahlen geschlossen, daß man C als constant und gleich 1,6 für die Berechnung der Zeitarbeit an den
Wochentagen annehmen könne.Fast naiv klingt aber doch die im Berichte ausgesprochene Behauptung, durch
die Uebereinstimmung der obigen Werthe von C
werde bewiesen, daß die Expansion des Dampfes im Cylinder dem Mariotte'schen Gesetze folge; man erhält z.B.
durch die Formel: Ap ' = CN(a'₀ – ac'),
welche die Arbeit einfach dem Unterschiede der Spannungen a'₀ und ac' proportional annimmt, fast ebenso
gut übereinstimmende Werthe von C. G. D. Die mit diesem Coefficienten nach Formel (e) aus
den täglichen Mittelwerthen für N, a'₀ und ac' in Tabelle I
berechneten Arbeitsgrößen und die weiter daraus gezogenen Folgerungen sind in
nachstehender Tabelle enthalten.
Tabelle IV.
Mittlere Spannung
Wochentage.
MittleretäglicheUmdrehungzahlper MinuteN
imKessela'₀
imCondensatora'c
MittlereZeitarbeitA'p.
VerdampftesWasserper Pfedekr.undStunde
VerzehrteKohleper Pfedekr.undStunde.
Atm.
Atm.
Pferdekr.
Kilogr.
Kilogr.
Montag Dienstag Mittwoch Donnerstag Freitag Samstag
27,032827,212627,121926,951227,109227,0763
4,4594,4844,4934,4534,5224,522
0,1020*0,11580,11890,12170,11800,1229
106,39107,12106,85105,06107,57107,22
9,2489,2889,3849,2939,1199,457
1,2841,2581,2601,2871,2431,257
Mittelwerthe
27,0840
4,489
0,1165*
106,70
9,298
1,265
Bemerkung. Die mit * bezeichneten Zahlen sind die in Tabelle I als
unrichtig bezeichneten, weil im Bericht diese zur Berechnung von Ap angewendet
wurden.
Berechnet man dann nach derselben Formel und mit den Mittelwerthen für die ganze
Woche: N = 27,084, a'₀ = 4,489, ac
' = 0,1165 die entsprechende Zeitarbeit, so ergibt sich
in vollständiger Uebereinstimmung mit dem obigen arithmetischen Mittel Ap
' = 106,71 Pferdekr. Diese Uebereinstimmung darf jedoch
keineswegs als Beweis für die Richtigkeit der Formel (e)
genommen werden, da auch andere Formeln diese Uebereinstimmung geben (z.B. die in
der letzten Anmerkung angeführte sogar noch eine genauere), und ebensowenig kann sie
als Beweis für den oben (Seite 351) aufgestellten Satz über die mittlere Arbeit
einer Dampfmaschine gelten, weil die verschiedenen Werthe von N, a'₀ und ac
' in zu engen Grenzen liegen.
Dieser Berechnungsweise der mittleren Zeitarbeit für die einzelnen Wochentage
gegenüber ist nun aber zuerst zu bemerken, daß die Uebereinstimmung der beiden
obengefundenen Werthe des Coefficienten C in der Formel
(e) Vieles zu wünschen übrig läßt; denn nimmt man
das Mittel dieser Werthe, oder besser noch, bestimmt man C durch die in Tabelle III angegebenen Mittelwerthe von N, a'₀ und ac
' für beide Perioden des Versuches mit dem Zaum, und
berechnet nun rückwärts damit die Arbeitsgrößen für jede Periode, so ergeben sich
für diese Ap
Unterschiede bis zu 1/2 Proc., und wollte man dann die Werthe von N oder a'₀ so
corrigiren, daß diese Unterschiede ausgeglichen würden, so würde man die
Fehlergrenze dieser Werthe weit überschreiten müssen. Auf der anderen Seite geht
aber auch aus den obenbemerkten Gründen für die Differenz zwischen den nach der
Formel (d) und durch die Fläche der
Spannungs-Diagramme erhaltenen Werthen von A
hervor, daß der Coefficient 0,5745 von a₀ in den
Formeln (d) oder (e)
durchaus nicht sicher feststeht, weil schon A₁
< p₀fl und daher das erste Glied in dem
Factor:
Textabbildung Bd. 186, S. 356
der Gleichungen (a) oder (b) kleiner als l werden muß.
Will man daher die Form der Gleichung (e) zur
Aufstellung einer empirischen Formel für die Berechnung von Ap' beibehalten, so muß man den
Coefficienten C in die Klammer setzen, und ihr die Form
geben:
f)
Ap' = N(βa'₀
– γac
'),
so daß sie zwei zu bestimmende Coefficienten β und γ
enthält. Man muß demnach zur Bestimmung derselben die beiden Perioden des Versuches mit dem Prony'schen Zaum zusammen anwenden, und hat so die beiden Gleichungen:
109,638 = 27,454 (4,59β –
0,1218γ)115,006 = 28,254
(4,637β – 0,1184γ),
aus denen sofort
β = 1,075 und γ = 7,721
folgt; die Formel zur Berechnung der Zeitarbeit Ap' wird
darnach
g)
Ap' = N (1,075 a'₀ –
7,721 ac')
und diese räumt der Gegenspannung ac' einen viel größeren Einfluß ein als
die Formel (e).Durch sie wurde auch der in Tabelle I bemerkte Fehler entdeckt, da sich mit
ac' = 0,102 für den Montag Ap' =
108,16 Pferdekr. ergeben würde. G. D. Berechnet man damit die mittlere Zeitarbeit für die beiden Perioden des
Versuches am Sonntag, so ergibt sich Ap = 111,58 Pferdekr., also in fast
vollkommener Uebereinstimmung mit dem Mittelwerthe: 111,555 in Tabelle III. Eine
gleiche Uebereinstimmung gibt aber auch eine andere empirische Formel, welche sich
den bei einer Dampfmaschine mit Condensator statthabenden Verhältnissen noch besser
als die vorhergehende anschließen dürfte. Geht man nämlich von der Annahme aus
(welcher auch unser Bericht zuneigt), daß die von der Maschine selbst verzehrte
Arbeit für einen Kolbenhub nicht ein bestimmter Theil der wirklichen Arbeit des
Dampfes ist, daß sie vielmehr für nicht zu große Aenderungen in der Spannung des
Dampfes constant bleibt, daß also die durch Reibung u.a. verlorene Zeitarbeit der Zahl der Kolbenspiele oder
Schwungrad-Umdrehungen proportional ist, so wird man diese verlorene
Zeitarbeit durch ρ N ausdrücken, und die rechte
Seite der Gleichung (f), wie es ihre Ableitung
erfordert, als Maaß der wirklichen Zeitarbeit des Dampfes gelten lassen, womit sich
sofort der Ausdruck:
h)
Ap' = N (βa'₀
– γ ac'
– ρ)
für die von der Schwungrad-Achse aus fortgepflanzte
Zeitarbeit ergibt.
Dieser Ausdruck enthält drei zu bestimmende Coefficienten β, γ und ρ, und es wären
daher wenigstens drei unabhängige Versuche mit dem Prony'schen Zaum nothwendig, um ihre Zahlenwerthe für eine bestimmte Maschine
und ein constantes Expansionsverhältniß festzustellen. Im vorliegenden Falle, wo ein
dritter Versuch mit dem Zaume fehlt, muß man den durch die Spannungsdiagramme
gefundenen Werth der wirklich geleisteten Arbeit des Dampfes zu Hülfe nehmen und,
wie oben geschehen, den Unterschied zwischen dieser Arbeit und der durch den Zaum
gemessenen nutzbaren Arbeit berechnen. Dieser Unterschied wurde oben für die erste
Periode der Versuche am Sonntag = 11,09 Pferdekr. gefunden; man hat also darnach:
27,4545 ρ = 11,09, ρ = 0,404, und die beiden Gleichungen zur Bestimmung von β und γ sind
nun:
109,638/27,454 + 0,404 = 4,59 β
– 0,1218 γ,115,006/28,254 +
0,404 = 4,637 β – 0,1184 γ,
woraus sich:
β = 1,13191, γ = 0,6821
berechnet. Mit diesen Werthen findet man durch die
Gleichung:
i)
Ap' = N (1,1391 a'₀
– 0,6821 ac'
– 0,404)
für den Mittelwerth beider Perioden des Versuches mit dem
Zaum, zufällig genau wie durch die Gleichung (g), Ap' = 111,58
Pferdekr., und man erhält nun statt der Tabelle IV folgende Uebersicht der
Arbeitsgrößen und des daraus berechneten Verbrauches an Wasser und Kohle per Pferdekraft und Stunde an den einzelnen
Wochentagen.
Tabelle V.
Mittlere Spannung
Wochentage.
MittlereUmdrehungzahlper MinuteN
imKessela'₀
inCondensatora'c
MittlereZeitarbeitA'p
VerdampftesWasserper Pfedekr.undStunde
VerzehrteKohleper Pfedekr.undStunde.
Atm.
Atm.
Pferdekr.
Kilogr.
Kilogr.
Montag Dienstag Mittwoch Donnerstag Freitag Samstag
27,03327,21327,12226,95127,10927,076
4,4844,4934,4534,5224,5224,459
0,11510,11580,11890,12170,11800,1229
105,16106,51105,85103,44106,87105,83
9,3559,3439,4729,4389,1799,582
1,2991,2651,2721,3081,2511,273
Mittelwerthe
27,084
4,489
0,1187
105,61
9,395
1,278
Der mit den drei ersten Mittelwerthen (von N, a₀'
und ac') nach (i) berechnete Mittelwerth von Ap' für die ganze Woche ist 105,62
Pferdekr.; die Uebereinstimmung mit dem arithmetischen Mittel 105,61 ist demnach
hier ebenso groß wie bei Tabelle IV und der Gleichung (e). Gegen die einzelnen Werthe der Tabelle IV aber sind die vorstehenden um
0,61 bis 1,62 Pferdekr. kleiner, und der Unterschied der beiden Mittelwerthe für die
ganze Woche beträgt 1,09 Pferdekr., also mehr als 1 Proc., woraus natürlich folgt,
daß die Zahlen der beiden letzten Spalten in denselben Verhältnissen größer werden
mußten.
V.
In dem Vorhergehenden sind die thatsächlichen und die zunächst daraus berechneten
Ergebnisse der Versuche an der Maschine des Hrn.
Hirn wiedergegeben; die in dem Berichte des
Comité's für Mechanik noch weiter angefügte Besprechung dieser Ergebnisse,
ihrer Beziehung zur Wärmetheorie und der daraus entspringenden praktischen
Folgerungen kann einer späteren Mittheilung um so mehr vorbehalten werden, als
dieselbe vielfach auf neuere Versuche Bezug nimmt, die demnächst veröffentlicht
werden sollen, besonders auf die schon erwähnten an der Dampfmaschine der HHrn.
Wehrlin, Hofer und Comp., und weil eine klare Einsicht in diese Verhältnisse erst durch eine
größere Anzahl solcher Versuche zu gewinnen ist, und dabei die neueren Versuche,
welchen schon wegen der zunehmenden Uebung und Geschicklichkeit der Beobachter ein
größerer Werth beigelegt werden muß und denen auch der Bericht das Lob einer
größeren Uebereinstimmung vorausgehen läßt, mehr in's Gewicht fallen müssen.
Schließlich kann aber die Frage nicht unterdrückt werden, warum das mit den
Versuchen betraute Comité nicht dieselbe. Maschine des Hrn. Hirn auch einige Tage bei
abgesperrtem Ueberhitzer mit gesättigtem Dampf arbeiten ließ, da es sich bei jenen
Versuchen doch hauptsächlich um die Erhebung des Einflusses der Ueberhitzung
handelte, und dieser Einfluß doch nur bei einer und derselben Maschine und wenn alle
übrigen Elemente: Spannung, Expansion, Zahl der Kolbenspiele etc. möglichst
unverändert erhalten werden, klar und sicher ausgeschieden werden kann, während bei
der unvermeidlichen Verschiedenheit fast aller dieser Elemente bei verschiedenen
Maschinen, zumal deren Einfluß auf die Leistungen einer Maschine selbst nichts
weniger als genügend sicher ermittelt ist, wesentliche Zweifel über die Größe des
Einflusses eines neuen Elementes bestehen bleiben müssen.
G. Decher.
Tafeln
