Titel: Ueber Humphreys-Abbot's neue Theorie der Bewegung des Wassers in Flüssen und Canälen, insbesondere über eine neue Geschwindigkeitsformel derselben; von G. Heidner, Lehrer an der k. b. Gewerbschule in Schweinfurt.
Autor: G. Heidner
Fundstelle: Band 186, Jahrgang 1867, Nr. XXXVI., S. 161
Download: XML
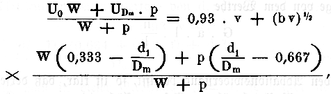
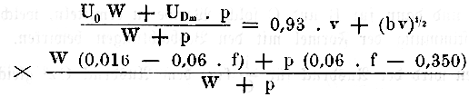
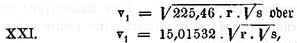
XXXVI. Ueber Humphreys-Abbot's neue Theorie der Bewegung des Wassers in Flüssen und Canälen, insbesondere über eine neue Geschwindigkeitsformel derselben; von G. Heidner, Lehrer an der k. b. Gewerbschule in Schweinfurt. Mit einer Abbildung. Heidner, über Humphreys-Abbot's neue Theorie der Bewegung des Wassers in Flüssen und Canälen. Bei der Herleitung des Ausdruckes für die mittlere Geschwindigkeit fließender Gewässer geht man bekanntlich von der Annahme aus, daß der Widerstand, welchen das Wasser in seiner Fortbewegung an der Sohle und den Seitenwänden des Flußbettes erleidet, mit der Größe der vom Wasser berührten Fläche in gleichem Maaße wächst und abnimmt, und daß derselbe dem Quadrate der mittleren Geschwindigkeit direct, dem Flächeninhalt des Querprofils aber umgekehrt proportional sey. Es werden dann die weiteren Voraussetzungen zu Grunde gelegt, daß sowohl das Querprofil als auch das Gefälle für die betrachtete Strecke von constanter Größe seyen und zur Ueberwindung der Bewegungswiderstände die ganze auf diese Strecke entfallende Gefällshöhe zur Verwendung komme, weil das Wasser, ungeachtet seiner Bewegung über eine schiefe Ebene, dennoch keine Geschwindigkeitszunahme erfährt, sondern mit derselben Geschwindigkeit fortfließt, mit welcher es zuströmt. Auf Grund dieser Annahmen erhält man dann für die mittlere Geschwindigkeit v den Ausdruck: p = α . √(F/p . h/l), in welchem h das absolute Gefälle, also die Senkung des Wasserspiegels auf die beliebige Entfernung l, p den benetzten Umfang und F die Fläche des Querprofils bezeichnet, der vorgesetzte Coefficient α aber eine Erfahrungsgröße darstellt, die von der Beschaffenheit des Flußbettes abhängt und daher sich mit diesem in ziemlich weiten Grenzen ändert. Die Folge hiervon ist, daß die Formel eigentlich nur auf Fälle paßt, welche jenen ähnlich sind, denen der Coefficient entnommen wurde. Zum Zwecke der Herstellung einer auf Allgemeingültigkeit Anspruch machenden Formel haben daher, nach Coulomb's Vorgange, einige Schriftsteller den Widerstand aus zwei Theilen bestehen lassen, indem sie zu dem bereits genannten Ausdrucke dafür, noch einen zweiten, bloß von v in der ersten Potenz abhängigen Theil hinzufügen, welcher bei größeren Geschwindigkeiten verschwindet und erst dann merkbar sey, wenn die Geschwindigkeit unter eine gewisse Grenze herabgeht. Mit dieser Unterstellung hat man zwischen der letzteren, dem benetzten Umfange p, der Querprofilfläche F und dem relativen Gefälle h/l die Formel: h/l = (Av² + Bv) . p/F entwickelt und indem man nun für die Coefficienten A und B solche Werthe zu ermitteln suchte, welche die Uebereinstimmung der Ergebnisse dieser Formel mit den vorhandenen Beobachtungen bewirken, kam man allerdings zu der Ueberzeugung, daß dieselbe schon auf größeres Vertrauen Anspruch machen könne. Indessen zeigte sich immer noch der Spielraum für die Veränderlichkeit der beiden Coefficienten innerhalb so wenig fester Grenzen eingeschlossen, daß die allgemeine Anwendbarkeit dieser Formel auch jetzt in Fällen strenger Anforderungen bald aufhören mußte. Bei dieser Unverläßlichkeit der bestehenden Formeln über die Bewegung des Wassers in Flüssen und Canälen, und bei dem Mangel an wissenschaftlicher Schärfe in ihrer Begründung war es daher erfreulich, eine mit den Ergebnissen directer Messung besser in Uebereinstimmung gebrachte Formel durch die Bemühungen zweier amerikanischer Ingenieure aufgestellt zu sehen, welche auf Grund umfassender, Jahre lang hindurch fortgesetzter Messungen und Beobachtungen am Mississippistrom, eine neue Theorie zu Stande brachten, die den Erfahrungen in weit höherem Maaße gerecht zu werden verspricht, als dieß bei allen bisherigen Versuchen noch der Fall war. Die Resultate ihrer Forschungen sind in einem umfangreichen Berichte bei der Regierung der Vereinigten Staaten von Nordamerika niedergelegt und geben, da dieselben auf Kosten der Union unternommen wurden, ein schönes Zeugniß für die Opferwilligkeit, mit welcher man auch jenseits des Oceans wissenschaftliche Bestrebungen zu unterstützen geneigt ist. Von diesem Originalbericht, der wohl gedruckt erschien, aber nur in einer beschränkten Anzahl von Exemplaren zur Vertheilung kam, liegt nun eine Uebertragung in's Deutsche von dem kgl. bayerischen Baubeamten Heinrich Grebenau Theorie der Bewegung des Wassers in Flüssen und Canälen Nach den auf Kosten der Vereinigten Staaten vorgenommenen Untersuchungen und dem Bericht Humphreys-Abbot's über die physikalischen und hydraulischen Verhältnisse des Mississippistromes. Deutsch von Heinrich Grebenau. München 1867. vor, mit werthvollen Zusätzen und einer auf eigene Erfahrungen basirten Verbesseruug der Hauptformel dieser neuen Theorie bereichert, so daß wir es dem verdienstvollen Bearbeiter zum besonderen Dank wissen müssen, uns dieselbe so leicht und in so trefflicher Bearbeitung zugänglich gemacht zu haben. Da nun aber trotzdem so mancher Techniker nicht gerade in der Lage ist, seine Zeit und Mühe einem so umfassenden Werke zuwenden zu können, so glaube ich der Praxis einen Dienst zu erweisen, wenn ich es im Nachfolgenden unternehme, das wichtigste Resultat der Humphreys-Abbot'schen Theorie mit Umgehung des zahlreichen Beobachtungsmaterials in übersichtlicher Entwickelung darzulegen, und so in weiteren Kreisen die Aufmerksamkeit auf eine Leistung zu lenken, welche wegen ihrer eigenthümlichen Schwierigkeiten und des großen Kosten- und Zeitaufwandes woran sie geknüpft ist, selbstverständlich nur zu den ganz seltenen gehören kann. A. Humphreys-Abbot's Gesetze der Wasserbewegung in Flüssen und Canälen. Aus zahlreichen Beobachtungen, welche man zur sicheren Bewältigung in ein graphisches Gewand zu kleiden suchte, ergab sich, daß die Geschwindigkeiten innerhalb einer beliebigen, parallel zum Stromstrich gelegten Verticalebene, anfangs mit der Tiefe wachsen, dann fortwährend abnehmen und daß das Maximum der Geschwindigkeit in sehr variabler Tiefe unter dem Wasserspiegel liegt. Um ihr gesetzmäßiges Verhalten zu erkennen, trug man die direct erhobenen Geschwindigkeiten als Abscissen und die Tiefen der zugehörigen Punkte, vom Wasserspiegel an gemessen, als Ordinaten auf. Die dadurch erhaltenen Curven verriethen unzweifelhaft ein Gesetz und führten, obgleich dieselben begreiflicherweise in keiner mathematisch regelmäßigen Form erscheinen, sowohl graphisch als rechnerisch verfolgt, auf die Gestalt einer Parabel, so daß man den Satz als erwiesen betrachten konnte: „Die Geschwindigkeiten in verschiedenen Tiefen unter dem Wasserspiegel in derselben Verticalebene variiren wie die Abscissen einer Parabel, deren X-Achse die Parabelachse ist und parallel der Wasseroberfläche in einer gewissen Tiefe unter derselben liegt.“ Eine solche Geschwindigkeitsparabel sey nun in der nachstehenden Figur zur Darstellung gebracht und mit Beibehaltung der Grebenau'schen Bezeichnung CD = V₀ die Geschwindigkeit am Wasserspiegel, EF die Geschwindigkeit VD an der Flußsohle, AB die Parabelachse, in ihr die größte Geschwindigkeit, welche Vd sey. Um die Gleichung dieser Parabel für das Coordinatensystem YCX, auf welches sich eigentlich ihre Construction bezieht, abzuleiten, gehen wir zunächst von dem System X'BY' aus. Die Gleichung einer Parabel, deren Achse BX' die Abscissenachse und deren Scheitel im Anfangspunkt B liegt, ist aber: y² = p . x Textabbildung Bd. 186, S. 164 Wenn nun D die Flußtiefe CE, d₁ die Tiefe AC der Parabelachse unter dem Wasserspiegel bezeichnet, so können wir die Coordinaten des Punktes D, welcher die Geschwindigkeit des Wassers an der Oberfläche bestimmt, durch: x₀ = VdV₀ und Y₀ = d ausdrücken und damit den Parameter der Parabel finden, sobald diese Werthe in die voranstehende Gleichung substituirt werden. Man erhält dann: d₁² = p. (VdV₀) woraus p = d₁²/(VdV₀) also den Parameter durch die Tiefe der Curvenachse und die Differenz aus der Maximalgeschwindigkeit und der Geschwindigkeit an der Wasseroberfläche bestimmt. Damit wird dann die Gleichung der Parabel: Textabbildung Bd. 186, S. 164 Um diese Gleichung für CX als Abscissen- und CY als Ordinatenachse umzuwandeln, muß man beachten, daß zwischen den neuen Coordinaten Vx, dx irgend eines Punktes H der Geschwindigkeitsparabel und zwischen seinen alten Coordinaten x, y die Beziehungen stattfinden: x = VdVx und y = dx + d₁.Es ist offenbar ein Versehen Grebenau's – d₁ statt + d₁ eingeführt zu haben. Mit diesen Werthen ergibt sich dann aus der voranstehenden Scheitelgleichung der Parabel die Gleichung derselben in Bezug auf das System XCY zu: Textabbildung Bd. 186, S. 165 oder, um ihr die von Humphreys angewendete Form zu verleihen, wenn die rechte Seite mit D²/D² multiplicirt wird, zu: Textabbildung Bd. 186, S. 165 In dieser Gleichung der Geschwindigkeitsparabel beziehen sich alle Größen stets nur auf eine und dieselbe, dem Stromstrich parallel gelegte Verticalebene. Dieselben werden demnach für die unzählig vielen, nebeneinander liegenden und auf die ganze Strombreite vertheilten, verticalen Ebenen immer andere Werthe annehmen müssen. Aber auch in Bezug auf jede andere Parabel hat man gefunden, daß der Parameter derselben, sowie die Lage ihrer Achse beim Hoch-, Nieder- und Mittelwasserstand starken Veränderungen unterworfen ist. Es entstand daher die Frage, nach welchem Gesetze wenigstens zunächst die Parameter der Curve variiren. Die Lösung dieser Frage aber bedingt wieder die Hereinziehung des Begriffes der mittleren Flußgeschwindigkeit, worunter man den Quotienten versteht, der sich ergibt, wenn man die secundliche Durchflußmenge mit der Gesammtfläche des zugehörigen Querprofils dividirt. Mit Zuziehung der mittleren Flußgeschwindigkeiten bei sehr verschiedenen Wasserständen ließ sich nun bald ein gesetzmäßiger Zusammenhang mit den Parameterreciproken einer und derselben Verticalebene erkennen. Man trug nämlich die Reciproken der Parameter als Abscissen und die approximativen mittleren Flußgeschwindigkeiten, wie sie aus den directen Messungen erhoben wurden, als Ordinaten auf. Die Verbindungslinie der so erhaltenen Punkte ergab wieder nahezu eine Parabel, deren Achse mit der Y-Achse zusammen fällt, so daß dadurch der Satz festgestellt wird: „Die Reciproken der Parameter einer und derselben verticalen Geschwindigkeitscurve verhalten sich wie die Quadratwurzeln aus den mittleren Flußgeschwindigkeiten.“ Sind daher für eine Verticalcurve bei zwei verschiedenen Wasserständen p₁ und p die Parameter, sowie v₁ und v die zugehörigen mittleren Flußgeschwindigkeiten, so muß nach dem eben ausgesprochenen Gesetze stattfinden: 1/p₁ : 1/p = √v₁ : √v, also auch, wenn D wieder die Flußtiefe bezeichnet: D²/p₁ : D²/p = √v₁ : √v, woraus dann Textabbildung Bd. 186, S. 166 insofern der Werth D⁴/(p₁² . v₁), des häufigen Gebrauches wegen, durch das Zeichen b ersetzt werden soll. Nun war aber der Parameter der Geschwindigkeitsparabel vom Werthe d₁²/(VdV₀), daher wird man in Zukunft setzen dürfen: D²/d₁² . (VdV₀) = √bv, wobei jedoch fest zu halten ist, daß der Ausdruck links keinen negativen Werth annehmen kann und demnach (bv)1/2 stets das Zeichen + zukommt. Mit Einführung dieses Werthes wird die Gleichung I. zur folgenden: Textabbildung Bd. 186, S. 166 und dieses ist die allgemeine Gleichung aller Geschwindigkeitsparabeln für sämmtliche zum Stromstrich parallel gelegte, über die ganze Flußbreite vertheilte verticale Ebenen. Darnach istz.B. die Geschwindigkeit am Wasserspiegel, da hier dx = 0, III.      V₀ = V – (bv)1/2(d₁/D und die Geschwindigkeit an der Sohle, für welche dx = – D gesetzt werden muß: Textabbildung Bd. 186, S. 166 Die Beobachtungen am Mississippi haben gezeigt, daß bei Flußtiefen von 110 bis 55 Fuß englisch und selbst für Tiefen bis 27 Fuß b nahe = 0,186 beträgt. Für eine Tiefe von 7,1 Fuß war b = 0,58 und bei 0,9 Fuß Tiefe vom Werth 1,1. Der folgende Ausdruck für b genügt allen diesen Bedingungen: V.     b = 1,69/(Dm + 1,5)1/2, wobei Dm das Verhältniß der Querprofilfläche a zum benetzten Umfang p bezeichnen soll und englisches Fußmaaß zu Grunde gelegt ist. Mit diesem Werthe für b gewinnt dann die allgemeine Gleichung II auch noch folgende Gestalt: Textabbildung Bd. 186, S. 167 Mit dieser wichtigsten Formel der neuen Theorie der Wasserbewegung soll nun die mittlere Geschwindigkeit Vm für irgend eine und dieselbe Geschwindigkeitsparabel bestimmt werden, Bezeichnen wir daher die Tiefe des Parabelpunktes, welcher diese mittlere Geschwindigkeit besitzt, also die Ordinate desselben, bezogen auf das System XCY mit dm, so ist nach II: Textabbildung Bd. 186, S. 167 und es muß nun offenbar das Rechteck, gebildet aus den Seiten D und Vm, gleich seyn dem Flächeninhalt der Figur EFHBDCE. Diese Fläche ist aber aus vier Stücken zusammengesetzt, die einzeln werden: 2/3 (VdV₀) . d₁, Vd₁, 2/3(VdVD) (Dd₁) und VD . (Dd₁), daher Vm . D = 2/3(VdV₀)d₁ + V₀ . d₁ + 2/3(VdVD) . (Dd₁) + VD . (Dd₁), woraus durch leichte Reduction hergestellt wird: Vm = 2/3 Vd + 1/3 VD + 1/3 d₁/D . [V₀ – VD] und hier die Werthe von V₀ und VD aus III und IV eingesetzt, erhält man: Textabbildung Bd. 186, S. 167 als allgemeine Gleichung zur Bestimmung der mittleren Geschwindigkeit irgend einer der auf die ganze Fußbreite vertheilten Geschwindigkeitsparabeln. Combinirt man diese Gleichung mit der obenstehenden Gleichung VII, so erhält man zur Bestimmung der Lage des Punktes, welcher die mittlere Geschwindigkeit Vm besitzt, die Beziehung: Textabbildung Bd. 186, S. 167 woraus Textabbildung Bd. 186, S. 167 Wie man sieht, gibt es also im Allgemeinen zwei Parabelpunkte, welchen die mittlere Geschwindigkeit Vm zukommt; beide stehen um die Entfernung Textabbildung Bd. 186, S. 168 von einander ab. Aus der Gleichung VIII folgt: Textabbildung Bd. 186, S. 168 Substituiren wir diesen Werth in Gleichung II, um in die allgemeine Gleichung aller Geschwindigkeitsparabeln die mittlere Geschwindigkeit Vm einzuführen, so erhalten wir: Textabbildung Bd. 186, S. 168 woraus sich dann die Geschwindigkeit V1/2D für einen Punkt, welcher sich in der halben Fußtiefe befindet, zu: XI.      V1/2D = Vm + 1/12 (bv)1/2 bestimmt, wenn man für dx den Werth – 1/2 D einsetzt. Sämmtliche Geschwindigkeitsparabeln zeigen, daß die Achsen derselben zwischen dem Wasserspiegel und der halben Flußtiefe liegen. In Folge dessen müssen denn auch ganz bestimmte Widerstände am Wasserspiegel stattfinden und der Einfluß derselben von der Oberfläche des Wassers an gegen die Tiefe abnehmen, bis er der Wirkung der nach dem gleichen Gesetz von unten nach oben abnehmenden Widerstände der Flußsohle gleich ist. Was den zuerst berührten Widerstand betrifft, so ist derselbe in dem Hinderniß zu suchen, welches die mit dem Wasserspiegel in Berührung befindliche atmosphärische Luft, sey es im bewegten oder sey es im ruhenden Zustande, der Fortbewegung entgegensetzt, so daß also die Bewegung des Wassers in einem Flusse wie in einer natürlichen Röhre betrachtet werden kann, deren innere Fläche von dem Flußgrund, den Uferwänden und der Atmosphäre gebildet wird. In Bezug auf den Einfluß des Windes fand sich, daß die Lage der Achse der Geschwindigkeitsparabel bei Windstille in 0,317 oder nahezu 3 Zehntel der ganzen Flußtiefe liegt, wie groß auch sonst die mittlere Geschwindigkeit des Flusses seyn mag, und sodann als allgemeines Gesetz für die Lage der Achse der Geschwindigkeitsparabel unter der Einwirkung des Windes: „Die Wirkung eines stromabwärts oder aufwärts wehenden Windes ist seiner Stärke direct proportional; im ersteren Falle bewirkt er eine Hebung, im zweiten eine Senkung der Achse; die Größe dieser Hebung oder Senkung ist ganz unabhängig von der mittleren Geschwindigkeit des Flusses.“ Wird durch f die Windstärke bezeichnet, wobei der Werth 0 für Windstille oder einen quer über den Fluß wehenden Wind gilt und ein Orkan = 10 genommen ist, so ergab sich aus den Untersuchungen bis zu der Windstärke 4, bei welcher noch Beobachtungen möglich waren, daß der Zusammenhang zwischen f, der Lage d₁ für die Achse der Parabel, dem Inhalte a des Querprofils und dem benetzten Umfange p seinen gesetzmäßigen Ausdruck in der Formel: XII.     d₁ = (0,317 + 0,06 . f) . a/p findet, wobei indessen noch zu bemerken ist, daß der Werth von f positiv zu nehmen ist, wenn der Wind stromaufwärts, negativ wenn er stromabwärts weht, und englisches Fußmaaß zu Grunde liegt. Da nach oben a/p = Dm bezeichnet wurde, so läßt sich diese Formel auch in der Gestalt: XIII.     d₁ = (0,317 + 0,06 . f) . Dm schreiben, wobei d₁, wie Dm absolut zu nehmen sind. Gehen wir nun daran, eine Relation zwischen dem Mittel Um aller mittleren Geschwindigkeiten Vm sämmtlicher Verticalcurven und der mittleren Flußgeschwindigkeit v aufzufinden und nehmen zuerst die ganz allgemeine Gleichung: Um = f (v), so ist klar, daß für v = 0 auch Um, den Werth Null ergeben muß. Es zeigte sich, daß eine Function von der einfachen Form: Um = A . v den Bedingungen genügte, und daß selbst große Unterschiede in der Form der Querprofile eine kaum merkliche Aenderung hervorriefen, demnach das Gesetz der Veränderlichkeit des A für Flüsse von keiner praktischen Bedeutung ist. Aus vielen Beobachtungen stellte sich der Werth von A als 0,93 heraus, so daß die Gleichung entsteht: XIV.     Um = 0,93 . v, in welcher sich der Coefficient auf englisches Fußmaaß bezieht. Aus der Gleichung X läßt sich auch ein allgemeingültiger Ausdruck für die mittlere Geschwindigkeit Ux aller Punkte, die in der Tiefe dx unter dem Wasserspiegel, also auf einer zum letzteren parallelen Linie liegen, ableiten, wenn man nämlich für das Mittel aus Vm seinen eben festgesetzten Werth 0,93 . v nimmt und für die den einzelnen Verticalebenen zugehörigen Werthe von D den mittleren Werth a/p = Dm einführt. Man erhält dann mit gleichzeitiger Substitution des aus Gleichung XIII entnommenen Werthes von d₁: Textabbildung Bd. 186, S. 170 Setzt man in dieser Gleichung dx = 0, so ergibt sich für das Mittel U₀ aller Geschwindigkeiten am Wasserspiegel: XVI. U₀ = 0,93 . v + (bv)1/2 [0,016 – 0,06 . f], und für das Mittel UDm aus allen Geschwindigkeiten an der Flußsohle, da hier dx = – Dm zu setzen ist: XVII. UDm = 0,93 . v + (bv)1/2 [0,06 . f – 0,350]. Anwendung der neuen Gesetze der Wasserbewegung in Flüssen und Canälen auf die Bestimmung der mittleren Flußgeschwindigkeit. Wir setzen voraus, daß jedes Wassertheilchen sich mit gleicher Geschwindigkeit durch die einzelnen Querprofilelemente hindurch bewege, was zwar bei keinem Fluß vollkommen, wohl aber annähernd richtig seyn kann. Mit anderen Worten: Wenn man den Fluh parallel mit der Stromrichtung in Wasserfäden zerlegt, so können diese zwar unter sich verschiedene Geschwindigkeiten haben, jeder einzelne Wasserfaden aber muß sich an allen seinen Punkten mit der gleichen Geschwindigkeit bebewegen. Zieht man nun eine Flußstrecke von der Länge l in Betracht, so wirken auf die in ihr enthaltene Wassermasse zweierlei Kräfte ein, nämlich die Schwere einerseits und andererseits, da die Bewegung des Wassers in einem Flusse wie in einer natürlichen Röhre aufgefaßt werden kann, deren innere Fläche der Flußgrund, die Ufer und die Atmosphäre bilden, ein Widerstand, der an dieser Fläche stattfindet. Dieser Widerstand kann mit der Reibung verglichen werden, welche entsteht, wenn man einen festen Körper durch eine Röhre preßt. Man nennt ihn, obgleich wenig bezeichnend, den Adhäsionswiderstand. Von der beschleunigenden Kraft der Schwere kommt nur der Theil zur Wirkung, welcher parallel der Flußsohle thätig und demnach gleich dem Producte aus dem Gewichte der Wassermasse und dem Sinus des Gefällwinkels ist. Letzterer kann in der Praxis gleich dem absoluten Gefälle h dividirt durch l, als der horizontalen Projection der Flußstrecke, genommen werden. Ist daher G das Gewicht der Volumeneinheit des Wassers, so muß die auf Beschleunigung wirkende Kraft der ganzen Wassermenge von dem Werthe G . a . l . h/l seyn. Was den Adhäsionswiderstand betrifft, so ist klar, daß derselbe der Größe der vom Wasser berührten Gesammtfläche direct proportional ist, also wenn W die Flußbreite bezeichnet, in demselben Maaße ab- und zunimmt wie das Product 1. (W + p). Dieser Widerstand muß aber auch einer gewissen Function der mittleren Geschwindigkeit der äußeren Flüssigkeitsschichte proportional seyn, welche mittlere Geschwindigkeit durch: Textabbildung Bd. 186, S. 171 ausgedrückt ist und daher auch mit dem Producte: Textabbildung Bd. 186, S. 171 in gleichem Verhältnisse ab- und zunehmen, wenn dabei Textabbildung Bd. 186, S. 171 die eben berührte Function vorstellt. Es ist nun einleuchtend, daß die beschleunigende Kraft, welche aus der Schwere resultirt, durch die Ueberwindung des Adhäsionswiderstandes vollkommen absorbirt werden muß und daher beide einander gleich zu setzen sind. Dadurch entsteht aber dann folgende allgemeine Formel: Textabbildung Bd. 186, S. 171 in welcher i eine Constante ist, die von den Reibungsverhältnissen des Wassers abhängt. Setzt man zunächst in (UW + UDm . p)/(W + p) aus XVI und XVII die dem U₀ und UDm, zugehörigen Werthe ein, so wird nach einigen leichten Zusammenfassungen: Textabbildung Bd. 186, S. 171 und hierin den Werth von f aus XIII eingeführt, erhält man: Textabbildung Bd. 186, S. 172 daher damit, wenn man das relative Gefälle h/l durch s bezeichnet, die Gleichung XVIII zur folgenden wird: Textabbildung Bd. 186, S. 172 Eine praktische Vereinfachung dieser Formel wird erreicht, wenn man, was freilich bei vielen Flüssen nicht ganz aber ziemlich nahe der Fall ist, W = p seyn läßt. Dadurch reducirt sich der Ausdruck: Textabbildung Bd. 186, S. 172 auf den Werth – 0,167 und es wird dann: as/(W + p) = i/G . f (0,93 . v – 0,167 (bv)1/2), oder 0,93 v – 0,167 b1/2 v1/2 mit z bezeichnet, as/(W + p) = i/G. f (z) Zur Bestimmung der Function f (z) müssen nun Beobachtungen zu Rathe gezogen werden. Seit Coulomb ist es so ziemlich Gebrauch geworden für f(v), welchem unser f(z) entspricht, einen Ausdruck von der Form f(v) = Bv + Cv² anzunehmen, also auch f(z) = Bz + Cz² oder i/G f(z) = Bz + Cz² zu setzen und dann für B und C solche Werthe zu ermitteln, welche die Uebereinstimmung der Formel mit den Beobachtungen bewirken. Am einfachsten wird der Ausdruck für i/G f(z) dem Ausdruck Cz² gleich gesetzt, was ergibt: as/(W + p) = Cz² = C . (0,93 . v – 0,167 b1/2 . v1/2)². Wird s = 0, d.h. das Gefälle Null, so kann der Ausdruck in der Klammer für den Werth: (bv)1/2 = (0,167 . b)/0,93 Null werden, ohne daß C Null zu seyn braucht. Knüpfen wir nun an C die Bedingung, daß es Null werden müsse für v = 0 und beachten, daß bewegtes Wasser vorausgesetzt wird, also v nie Null seyn kann, so müssen wir auch den Klammerausdruck so umändern, daß er nie den Werth Null annehmen kann, mit Ausnahme des Werthes v = 0, ein Fall, der, wie eben erwähnt, gar nie eintritt. Diese Umänderung wird nun herbeigeführt, wenn wir das zweite Klammerglied positiv nehmen, weil dann dem Ausdruck für z, nämlich: 0,93 . v + 0,167 . b1/2 . v1/2 nur der negative Wurzelwerth – (0,167 . b)/0,93 entspricht. Derselbe ist aber ausgeschlossen, weil √bv, wie weiter oben gezeigt wurde, nur absolut genommen werden kann. Wir setzen daher von jetzt an: XIX.     as/(W + p) = C . (0,93 . v + 0,167 . (bv)1/2)². Der Ausdruck für C, welcher sich daraus bestimmt, enthält für die bereits vorhandenen Beobachtungen nur bekannte Größen, aus denen C berechnet werden könnte, wobei sich aber herausstellt, daß es nicht constant angenommen werden darf. Um nun das Gesetz der Veränderlichkeit von C zu ermitteln, wurden die Werthe von s als Abscissen und die von C als Ordinaten aufgetragen. Man erhielt als Verbindungslinie der so bestimmten Punkte eine Curve und war daher zu dem Schlusse berechtigt, daß C eine Function von s sey. Es stellte sich heraus, daß die einfache Curve, deren Gleichung C = s1/2/195 ist, die nöthigen Bedingungen erfülle, wobei aber zu bemerken, daß der Coefficient sich auf englisches Fußmaaß bezieht. Setzt man diesen Werth in die Gleichung XIX ein, so erhält man: a.s/(W + p) = s1/2/195 . [0,93 . v + 0,167 (bv)1/2]². Nach v aufgelöst und der Kürze wegen a/(W + p) mit r bezeichnet, ergibt sich daraus die gesuchte mittlere Flußgeschwindigkeit für ganz beliebige Flußprofile: Textabbildung Bd. 186, S. 174 wobei Textabbildung Bd. 186, S. 174 und englisches Fußmaaß zu Grunde gelegt ist. Im Allgemeinen ist 0,96 √b, da b meistens schon ein ächter Bruch, so klein, daß es ohne großen Fehler außer Acht gelassen werden kann. Thut man dieses und natürlich dann mit demselben Rechte auch bei dem Gliede 0,0081 . b, so erhält man als Approximativformel für die mittlere Flußgeschwindigkeit: Textabbildung Bd. 186, S. 174 welche nun freilich um 0,15 bis 0,3 Fuß zu große Werthe gibt. Um ihr indessen diese einfache Gestalt zu belassen, hat Grebenau einen Correctionscoefficienten eingeführt, durch dessen Multiplication die Gleichung so verbessert werden kann, daß sie nunmehr Werthe liefert, die mit denen der Humphreys-Abbot'schen Formel, wie sie in XX aufgestellt, genau genug übereinstimmen. Bezeichnet man diesen Correctionscoefficienten mit β, so muß also v = β . v seyn und wird nun für irgend einen gegebenen Fall v nach der genauen Formel XX berechnet, so erhält man im Verlauf der Rechnung gleichzeitig den in XXI enthaltenen Approximativwerth v₁, womit sich dann bei einer jeden solchen Berechnung der gesuchte Correctionscoefficient β = v/v₁ welcher die Formel XXI zu einer correcten Geschwindigkeitsformel macht, feststellen läßt. Aus solchen Berechnungen besonderer Fälle fand Grebenau, daß β für die kleinsten und größten fließenden Gewässer verhältnißmäßig sehr wenig, nämlich zwischen 0,64 und 0,96 variirt, weßhalb es für die gewöhnlichen Fälle der Praxis vollkommen hinreicht, wenn man sich für β folgender, für fünf Kategorien von fließenden Gewässern gezogener Mittelzahlen bedient: a) für kleine Wassergräben unter 1 Quadratmeter Querschnitt, β = 0,8543, b) für kleine Bäche von 1–5         „                  „ β = 0,8796, c) für größere Bäche von 5–10         „                  „ β = 0,8890, d) für kleine Flüsse von 20–400         „                  „ β = 0,9223 und e) für große Flüsse über 400         „                  „ β = 0,9459. Das wichtigste Resultat der neuen Theorie der Bewegung des Wassers in Flüssen und Canälen läßt sich daher, wenn man noch den Coefficienten 15,01532 mit k bezeichnet, in folgender einfachen Form darstellen: Textabbildung Bd. 186, S. 175 Wird statt englisches Fußmaaß, worauf sich diese Formel bezieht, bayerisches Fußmaaß genommen, so bestimmt sich der Werth von k zu 15,34439, für preußisches dagegen zu 14,79670 und für Metermaaß zu 8,28972.