| Titel: | Ueber den Einfluß der Erdrotation auf die Abweichung der aus gezogenen Rohren abgeschossenen Projectile. |
| Fundstelle: | Band 186, Jahrgang 1867, Nr. XXI., S. 98 |
| Download: | XML |
XXI.
Ueber den Einfluß der Erdrotation auf die
Abweichung der aus gezogenen Rohren abgeschossenen Projectile.
Ueber die Erdrotation als Schießfehlerquelle.
Die Comptes rendus de l'Académie des sciences, t.
LXIII vom September 1866 enthalten einen von Hrn. Martin de
Brettes erstatteten Bericht über den Einfluß der Erdrotation auf die
Derivation der aus gezogenen Rohren abgeschossenen Projectile, dessen
Eingangsstellen lauten:
„Der berühmte Geometer Poisson behandelte diese
Frage im Jahre 1837 für sphärische Projectile und gelangte dabei zu folgenden
Resultaten:
„1) Die Schußweiten wechseln mit dem Azimuthe der Schußebene, es geschieht
das aber nur zwischen sehr engen Grenzen, denn die größte dieser Abweichungen
beträgt für Schußweiten von 1800 Metern beim Bombenwurfe nur 2 Decimeter und
wird beim Schießen mit großen Geschoßanfangsgeschwindigkeiten also noch geringer
ausfallen, so daß für die Schießpraxis der Einfluß des
Schußebenen-Azimuths auf die zu erreichende Schubweite also gleich Null
gesetzt werden kann.
„2) Die Seitenabweichungen der Geschosse welche durch Erdrotation bedingt
sind, liegen auf unserer Hemisphäre stets rechts der Visirebene, von deren
Azimuth sie auch hinsichtlich ihrer Größe unabhängig sind, und es können
dieselben beträchtliche Dimensionen annehmen. Sie betragen für Wurfweiten von
4000 Metern der 32 centimetrigen Bombe und für unsere geographische Breite
(Paris) der Rechnung nach 8 Meter.
„3) Mit Zunahme der geographischen Breite wachsen diese
Geschoßabweichungen, sie erreichen ihre Maxima unter den Polen und sind unter
dem Aequator gleich Null.“
Dann fährt Herr de Brettes fort:
„Damals war dieser Einfluß der Erdrotation auf die Resultate des Schießens mit
Feuerwaffen noch klein, im Vergleiche mit den zufälligen Ursachen, welche bedeutende
Treffunterschiede in verticaler und horizontaler Hinsicht hervorriefen; jetzt aber,
wo diese Schwankungen durch Einführung der gezogenen Kanonen erheblich vermindert
worden sind, darf der Erdrotations-Einfluß nicht mehr vernachlässigt werden,
wozu eine Vergleichung der von ihm herrührenden Geschoßabweichungen mit den durch
Erfahrung festgestellten jedesmaligen Totalbeträgen derselben den Beleg liefern
wird.
„Poisson's Rechnung zur Bestimmung der
Geschoßabweichungen, wie sie unter irgend einem gegebenen Breitegrade als Folge der
Erdrotation auftreten müssen, war sehr lang und deßhalb wenig praktisch; ich habe an
deren Stelle eine andere gesetzt, die sehr rasch zum Ziele führt, und, wie eine
Vergleichung der Resultate zeigen wird, ebenso exact als erstere ist.
„Es besteht diese Berechnungsmethode ganz einfach darin:
„a) den azimuthalen Winkel ϑ zu bestimmen, welchen die Schußebene während des Geschoßfluges um
die Verticale der Geschützmündung herum beschreibt, was nach Foucault's Formel:
ϑ = ω sin λ t
geschehen kann, in welcher ω die Umdrehungsgeschwindigkeit der Erde um die Achse ihrer Figur
und λ den Breitegrad des Versuchortes, beide
Zeichen also schon im Voraus bekannte Größen bedeuten (für λ = 49º, den Breitegrad von Paris, ist ϑ = 10'',98 t), und
hiernach
„b) den Sinus dieses Winkels ϑ noch mit der sich ergebenden Schußweite E zu multipliciren, wodurch man die als Folge der
Erdrotation auftretende Geschoßabweichung Δ in
dem Werthe:
Δ = E
sin ϑ = E sin (ωλt)
erhält.
„Eine Vergleichung der vermittelst dieser Formel sich ergebenden
Rechnungsresultate mit den von Poisson erhaltenen
führt zu dem Ergebnisse, daß die Seitenabweichungen, welche der 27 und der 32
centimetrigen Bombe bei Schußweiten von beziehungsweise 1200 und 4000 Meter
sowie unter der Breite von Paris (49º) durch die Erdrotation
zufallen:
nach Poisson 1,20 respective 7,00 Meter,
nach obiger Formel 1,17 respective 6,98 Meter
betragen, was von einer Uebereinstimmung der beiderseitigen Berechnungsweisen
zeugt, welche als eine Bestätigung für die Genauigkeit der gegebenen Formel
angesehen werden kann.“
Hiernach liefert Hr. de Brettes auch noch tabellarische
Zusammenstellungen von bereits durch Schießversuche festgestellten
Geschoß-Rechtsabweichungsbeträgen schraubenrechts gezogener französischer und
englischer Geschütze mit den hiervon auf Rechnung des Erdrotations-Einflusses
kommenden Antheilen, wie sich letztere für den Breitegrad von Paris und für die
betreffenden jedesmaligen Schußverhältnisse nach obiger Formel durch Rechnung
ergeben, und daraus ist ersichtlich, daß
1) bei den gezogenen Kanonen der französischen Landarmee, welche im Allgemeinen sehr
große Geschoßderivationsbeträge liefern, z.B. die Langgeschosse des Kalibers von 2
Kilogrm. derselben bei 14º Elevation, 12 Secunden Flugzeit und 1400 Meter
Schußweite, 46 Meter Rechtsabweichung von der Visirlinie ergeben, wovon nur 0,67
Meter auf Rechnung der Erdrotation kommen, was etwa 1/70 des Gesammtbetrages der
Geschoßderivation ausmacht;
2) bei den englischen Kanonen Whitworth'scher Construction
aber, deren Geschosse im Ganzen verhältnißmäßig nur sehr wenig deriviren, z.B. die
Langgeschosse des Kalibers von 2,75 Kilogrm. bei 6,8 Secunden Flugzeit und 1800
Meter Schußweite nur um 1,3 Meter nach rechts hin abweichen, wovon dem
Erdrotations-Einflusse 0,63 Meter zuzuschreiben sind, was einem Werthe von
1/2,2 oder nahezu der Hälfte des gesammten Geschoßabweichungsbetrages
entspricht.
Im ersteren Falle sind die durch Erdrotation bedingten Geschoßabweichungsbeträge also
allerdings nur verhältnißmäßig klein, und könnten deßhalb wohl praktisch übersehen
werden; im zweiten Falle, wo sie nahezu die Hälfte der totalen Geschoßderivation
ausmachen, ist das aber offenbar nicht mehr zulässig und hierauf basirt Hr. de Brettes auch die seinem Aufsatze als Schlußbetrachtung
beigefügten Worte:
„Diese geschoßablenkende Wirkung der Erdrotation bietet also zu recht
nützlichen ballistischen Anwendungen Gelegenheit dar; weil nämlich
„a) wenn auf unserer Hemisphäre die
Rechtsabweichung der Projectile zur Hälfte vom Einflusse der Erdrotation
herrührt, bei Umkehrung der Zugdrall-Richtung des Kanonenrohres dann der
Luftwiderstand im entgegengesetzten Sinne des Erdrotations-Einflusses auf
das Geschoß einwirken, und somit die vom letzteren herrührende Seitenabweichung
paralysiren muß, das Projectil in diesem Falle also gar keine Ablenkung aus
seiner Visirebene erfahren kann, und ferner
„b) beim Uebergange von einer Hemisphäre
unserer Erde auf die anderen dann gleichzeitig auch die Richtungen der durch die
Erdrotation bedingten Geschoßabweichungen wechseln,
„so folgt daraus:
„Derivirt ein Projectil auf unserer Hemisphäre wegen gegenseitigen
Sichaufhebens der ablenkenden Wirkungen von Erdrotation und Luftwiderstand gar
nicht, so vereinigen sich diese Einflüsse auf der entgegengesetzten Hemisphäre
dann dahin, das Geschoß links abweichen zu lassen, und ist ferner die
Rechts-Derivation des Geschosses auf unserer Hemisphäre doppelt so groß,
als sie ihm der Erdrotations-Einfluß allein gegeben haben würde, so
müssen auf der anderen Hemisphäre diese Geschoßablenkungs-Wirkungen der
Erdrotation und des Luftwiderstandes sich dann gegenseitig aufheben, wodurch das Projectil
in diesem Falle gar keine Abweichung mehr zeigt.
„Der Einfluß der Erdrotation auf das Deriviren der Langgeschosse kann
sonach bedeutend genug werden, um Beachtung zu verdienen und dem
Artilleriedienste einen wichtigen Gegenstand der Verwendung zu
liefern.“
Eine Ableitung der gebrauchten Formel wird in diesem, eine
höchst interessante artilleristische Frage behandelnden Berichte des Hrn. de Brettes aber ebensowenig gegeben, als eine Begründung der, nach hier angestellten Untersuchungen
unrichtigen Behauptung, die durch Achsumdrehung der Erde und deren Nichtbeachtung beim Schießen entstehenden
Zielverfehlungen lägen für unsere nördliche Erdhälfte
stets rechts der Visirebene und seyen ihrer Größe nach vom Azimuthe der letzteren vollkommen
unabhängig. – Es möge dieser wichtige Gegenstand ballistischer
Forschungen deßhalb hier noch etwas näher in Betracht gezogen werden, wobei wir, um
nicht gleichzeitig allzuvieles abhandeln zu müssen, für jetzt von der weiteren Frage
absehen, ob die Rechtsderivation der aus rechts gezogenen Rohren abgeschossenen Langgeschosse wirklich, wie Hr. de
Brettes mit der Schießschule von St. Omer annimmt, nur der Luftreibung
beizumessen ist, oder ob dieselbe nicht vielmehr dem gleichzeitigen Einflüsse von Luftwiderstand und Schwerkraft auf das in Rotation um seine
Längenachse befindliche Geschoß in dem concreten Falle zugeschrieben werden muß, wo
der Angriffspunkt des directen Luftwiderstandes vor dem
Geschoß-Schwerpunkte liegt, die Geschoßspitze sich dadurch also nach rechts hin wenden muß, wie dieses in des Referenten i. J.
1865 bei Theodor Kay zu Cassel erschienenen Schrift:
„Die Derivation der Spitzgeschosse als Wirkung der Schwere, zweite
Auflage“ bereits durch Mittheilung von darauf bezüglichen
Versuchs- und Rechnungs-Ergebnissen dargethan worden ist, welche
Arbeit noch weiter ergibt, daß solche vom Geschütz aus gesehen von unten über links
nach oben und also von oben über rechts nach unten hin um ihre Längenachse rotirende
Geschosse sogar nach links hin deriviren müssen, wenn der
Angriffspunkt der Luft beträchtlich genug hinter ihrem
Schwerpunkte liegt, und daß endlich den Luftreibungen und Luftstauungen, welche
durch die Rotation des in der Atmosphäre fortschreitenden Geschosses an dessen
Oberfläche entstehen und die z.B. einem in gennantem Sinne rotirenden homogenen Cylinder mit Luftwiderstandsresultante gegen
seinen Schwerpunkt gerichtet, den Impuls zur Linksabweichung geben würden, bei diesen Rechtsderivationen der aus schraubenrechts
gezogenen Rohren abgeschossenen Lang-
oder beziehungsweise Spitzgeschosse der gewöhnlichen Art
eine nur sehr untergeordnete Rolle zufällt.
Wendet man sich hier also lediglich der einen Untersuchung
zu, auf welche Weise und in welchem
Maaße die Achsumdrehung der Erde auf die Treffsicherheit der Projectile
unserer Schießwaffen einwirkt, so steht es zunächst bezüglich der Qualität dieses Einflusses wohl außer allem Zweifel, daß
bei meridionalem von Nord nach Süd oder von Süd nach Nord
gerichtetem Schießen durch die Erdrotation wegen Differenz der in gleichen Zeiten durch sie vom Ziele und vom Geschützaufstellungsorte zurückgelegt
werdenden Parallelkreis-Bogenlängen, deren
letztere sich naturgemäß auf das Geschoß überträgt, für unsere nördliche Erdhälfte
stets eine Rechtsabweichung des Geschosses von seinem Ziele eintreten muß. –
Dasselbe Resultat wird auf dieser nördlichen
Erdhälfte aber auch dann eintreten müssen, wenn daselbst
genau von West nach Ost hin geschossen wird, weil in
diesem Falle zwar sowohl das abgefeuerte Geschütz, als auch der Ort des Zieles sich
in ihren respectiven Parallelkreisen weiter nach Osten hin bewegen, das Geschoß
selbst aber, da es nach seiner Entfesselung vom Rohre den dreifachen Bewegungs-Impulsen der Erdrotation, des geradlinig gedachten Pulverstoßes und der Schwerkraft zu folgen hat, sich während seiner Flugzeit
auch noch nach dem Mittelpunkte der Erde hin bewegen muß
und hierdurch auf der nördlichen Erdhälfte ebenwohl stets
rechts am Ziele vorbeigehen wird. Beim Schießen von
Ost nach West jedoch wird unter Umständen durch die
Erdrotation auch wohl eine Linksabweichung des Geschosses
eintreten müssen, weil letzteres, jenen drei Bewegungs-Impulsen nach der
Geschützabfeuerung folgend, den Attractionspunkt der
Erdmitte auf der nördlichen Erdhälfte dann zu seiner linken Seite hat, und somit links gar nicht
oder rechts von dem in seinem Parallelkreise
fortrollenden Zielpunkte abweichen wird, je nachdem letzterer durch die Gestaltung
der aus Erdrotationsgeschwindigkeit des
Geschützaufstellungsortes (für den 50sten Grad z.B. etwa 950 Fuß
rheinländisch per Zeitsecunde), Geschoßanfangsgeschwindigkeit und Geschoßflugzeitdauer zusammengesetzten Größenverhältnisse beim Anlangen der Kugel an ihrem Flugbahnende hinter, an oder vor den
ursprünglichen Geschützaufstellungsort geführt worden war. – Für Zwischenrichtungen der Geschütze, z.B. von Südwest nach
Nordost, Nordwest nach Südost etc. werden sich diese theils
der geographischen Länge und theils der
geographischen
Breite angehörigen Zielverfehlungen ihrer Qualität nach dann
endlich dahin zu combiniren haben, daß auf der nördlichen Erdhälfte allen Schußlinien-Azimuthen
der beiden östlichen Quadranten durch die Erdrotation nur
Rechtsabweichungen der Geschosse zufallen, für die Schußlinien-Azimuthe der beiden westlichen
Quadranten, vom Meridiane ausgehend, aber stets eine Verminderung dieser Rechtsabweichungen
eintritt, die unter Umständen auch, den Abweichungsbetrag Null lassend, zu einer Linksabweichung der
Geschosse führen kann.
Ferner werden sich dem entsprechend die Einflüsse der Erdrotation auf das Schießen
auch in quantitativer Hinsicht je nach den verschiedenen
Schußlinien-Azimuthen dahin zu gestalten haben, daß
a) bei meridionalem Schießen für jede Schußart eine
mittlere Geschoßabweichung entsteht, die, unbedingt rechts am Ziele vorbeilaufend,
beim Schießen von Süd nach Nord genau ebensogroß als beim Schießen von Nord nach Süd
ist;
b) bei Schußlinien-Azimuthen der östlichen
Quadranten, im Norden oder Süden vom Meridiane ausgehend, mit dem Wachsen dieser
Azimuthwinkel eine fortwährende Steigerung dieser Rechtsabweichung eintritt, bis
letztere beim Schießen nach dem Ostpunkte zum Maximum wird, und daß endlich
c) bei Schußlinien-Azimuthen der beiden
westlichen Quadranten, im Norden oder Süden vom Meridiane ausgehend, mit dem Wachsen
dieser Azimuthe eine fortwährende Verminderung der Geschoß-Rechtsabweichung
eintritt, welche bei geringen Flugbahngeschwindigkeiten der Geschosse durch Null
hindurch zu einer Linksabweichung der Projectile übergeht und so beim Schießen genau
westlich ein Minimum der Rechtsabweichung, beziehungsweise ein Maximum der
Linksabweichung des Projectiles beschafft.
Herr Oberst Wiegrebe vom ehemaligen kurfürstlich
hessischen Generalstabe, Schöpfer des so vorzüglichen neuesten kurhessischen
Kartenwerkes, hat in dieser Beziehung eine sich durch Gründlichkeit und Einfachheit
auszeichnende Berechnung aufgestellt, welche zu der Erkenntniß führt, daß, wenn
1) t die Sternzeit-Secunden ((365 1/4)/(366 1/4)
mittl. Sonnenzeit) der Geschoßflugzeit, 15 t also die
während derselben vom Ziel und vom Geschützaufstellungsort vermöge der Erdrotation
zu durchlaufenden Bogensecunden,
2) d die Schnßweite in rheinländischen Ruthen
ausdrückt,
3) α das Visirlinien-Azimuth von Süd über
West etc. hin bis 360º gerechnet,
4) h die Niveau-Ueberhöhung des Zieles über den
Geschützaufstellungsort,
5) B die geographische Breite des
Geschützaufstellungsortes,
6) R den mittleren Erdhalbmesser in Ruthen ausgedrückt,
so daß, nach Bessel's Elementen
z.B. log R sin 1'' für
45º = 0,914307750º = 0,914560355º =
0,9148054
ist, und endlich
7) b die Breitendifferenz (d cos
α)/(R sin
1'') vom Geschützaufstellungsorte und demjenigen Punkte m seines Meridians, der durch ein vom Zielpunkte auf ihn gefälltes Loth
getroffen wird,
bezeichnen, dann der durch Achsumdrehung der Erde beim Schießen
entstehende Abweichungsbetrag
Δ
des Geschosses, im senkrechten Abstande von der Visirlinie
gemessen:
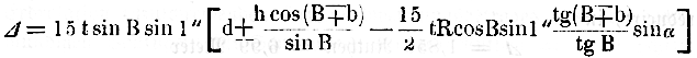
Δ = 15 t sin B sin 1'' (d + h
cotg B cos α – 15/2 tR sin 1''
cos B cos α)
seyn muß, wobei die positiven
Werthe von Δ
Rechts- und die negativen Werthe desselben Links-Abweichungen des Geschosses bedeuten.
Eine auf obige Principien basirte Herleitung dieser Formel
läßt sich, auch ohne Zuhülfenahme einer Figur, etwa in folgender Weise
ausführen:
Der in Parallelkreis-Richtung zurückzulegende Weg
S, welcher dem Projectile während
seiner Flugzeit
t durch die im Geschützaufstellungsorte ihm mitgetheilte
Erdrotations-Geschwindigkeit zukommt, ist
offenbar:
S = 15t
sin 1'' cos B.
Ebenso sind auch die entsprechenden Wege S͵ oder
S͵͵ welche der südlich oder beziehungsweise nördlich vom
Geschützaufstellungsorte gewählte Zielpunkt während
dieser Geschoßflugzeit in derselben Richtung
zurückzulegen hat, entweder:
S͵ = 15t (R + h) cos (B – b) sin 1''
oder
S͵͵ = 15t (R + h) cos (B + b) sin 1''
woraus die Rechtsabweichung x͵ oder x͵͵ des Geschosses nach der
Parallelkreis-Richtung hin gemessen, im ersteren Falle:
x͵ = S͵
– S = 15 t sin 1''
[R sin B sin b + cos
(B – b)]
und im zweiten Falle:
x͵͵ = S – S͵͵
= 15 t sin 1'' [R sin B sin
b – h cos (B
+ b)
allgemein also, die Geschoß-Rechtsabweichung x für jedes, südlich oder nördlich vom
Geschützaufstellungsorte gewählte Ziel:
x = 15 t
sin 1'' [R sin B sin b ± h cos (B ∓ b)]
= 15 t sin 1'' [d cos α sin B ± h
cos (B ∓ b)]
folgt, wenn man in den für cos (B – b) und für cos (B + b) zu
entwickelnden Formeln: cos B cos b ∓ sin B sin b, den Werth von cos
b seiner Kleinheit wegen gleich Null, und anstatt des Bogens b die ihm gleiche Tangentenlänge am
Geschützaufstellungsorte, also sin b = b/R setzt.
Weiter hat man zur Bestimmung desjenigen Meridian-Abstandes von Geschoß und Ziel, welcher
während der Flugzeit des ersteren durch die Erdrotation entsteht, wenn:
1) das vom Zielpunkte z auf den Meridian des
Geschützaufstellungsortes gefällte Loth, zm,
nämlich die Linienlänge zm = d sin α mit s
sowie
2) die Länge dieses Perpendikels vom Geschoßflugbahnende g an bis zum Lothpunkte m des
Geschützaufstellungsort-Meridianes hin gemessen, nämlich die Linie gm mit S – s bezeichnet wird, was ganz allgemein für ein rechts
oder links dieses Meridianes liegendes g geschehen kann,
da die Sinus von α in den beiden ersten
Quadranten positiv, in den beiden letzten Quadranten aber negativ sind, – und
wenn man ferner
3) die Größtkreis-Tangenten
s und S – s mit den ihrer resp. Lage entsprechenden Größtkreis-Bögen von gleicher Länge identificirt, sowie endlich
4) die respectiven Meridianlängen, um welche das Ziel z, der Lothpunkt
m und das Geschoßflugbahnende
g vom Nordpole
P abstehen, also die resp. Polhöhen Nz, Nm und Ng mit beziehungsweise Z,
M und G bezeichnet werden,
in den zwei, beim Lothpunkte m des
Geschützaufstellungsort-Meridianes rechtwinkeligen
Kugeldreiecken zNm
und gNm die Beziehungen:
cos Z =
cos M cos s
I
cos G =
cos M cos (S
– s)
II
cotg M =
tg Y cos s
III
woraus für die Polhöhen-Differenz
y vom Geschoßflugbahnende
g und vom Zielpunkte
z, d.h. für den Meridian-Abstand:
y = G
– Z
des am Ende seiner Flugzeit angekommenen
Geschosses vom Ziele, wenn für cos G sein
Werth:
cos G = cos (Z + y) = cos Y cos y – sin Y sin
y
eingesetzt wird, durch Division von I in II die Gleichung:
cos y – tg Z sin y = cos(S
– s)/cos s
folgt, die, cos y der relativen
Kleinheit von y wegen gleich Eins gesetzt, den
Näherungswerth:
Textabbildung Bd. 186, S. 106
liefert, der nach III in
Textabbildung Bd. 186, S. 106
übergeht, und woraus endlich, die kleinen Bogen y, S und (S – 2s)/2 als mit ihren an g und
m gezogenen Tangenten zusammenfallend betrachtet, so
daß dann:
sin y = y/R
sin S = S/R
Textabbildung Bd. 186, S. 106
gesetzt werden kann, der Werth des
Meridianabstandes
y von Geschoß und Ziel, welcher während der Flugzeit des ersteren durch die
Erdrotation entstehen muß:
y = 15 t cos B
sin 1''[15/2 t R cos B sin 1'' – d sin α] tg (B ∓ b)
folgt.
Schließlich ergibt sich der
senkrechte Abstand des Geschoßflugbahnendes von der Visirlinie, d.h. der
durch Erdrotation hervorgebrachte wirkliche Seitenabweichungsbetrag
Δ
des Geschosses, für das gegebene
Schußlinien-Azimuth α hiernach als:
Δ = X
cos α – y sin α
dessen positive Werthbeträge als
Rechts- und dessen negative Werthbeträge als Links-Abweichungen des Geschosses von der Visirlinie aufzufassen sind, und welcher Werth durch einfache Substitution
der oben für x und y
gefundenen Ausdrücke sich als:
Textabbildung Bd. 186, S. 107
präcisirt, der, wenn man b (dessen
Größenbetrag nach der Formel:
b = d cos
α/R sin 1''
beispielsweise für eine Schußweite von d gleich 1000 Schritt in seinem Maximalbetrage nur 24,3 Secunden beträgt
und gegen B als verschwindend klein betrachtet werden
kann) in dieser Rechnung gleich Null setzt, zum
Annäherungswerthe der durch Erdrotation bedingten directen Seitenabweichung des
Geschosses:
Δ = 15 t sin B 1'' [d ± h cotg B cos α – 15/2 t R cos B
sin 1'' sin
α]
führt, in welcher Formel nach obiger Entwickelung das positive Vorzeichen ihres zweiten Gliedes sich auf
Schußlinien-Azimuthe α des 1sten und 4ten
Quadranten, das negative
Vorzeichen desselben aber auf im 2ten und 3ten Quadranten
gelegene Schußlinien-Azimuthe α bezieht,
und deren positive Gesammtwerthe dann immer einer Rechts
-, deren negative
Gesammtwerthe aber stets einer Links-Abweichung des Geschosses aus der Visirebene entsprechen.
Für ein meridionales, von Nord nach Süd, oder von Süd nach
Nord gerichtetes Schießen, also für die Schußlinien-Azimuthe α = 0 und α =
180°, erhält man nach dieser Formel, wegen
Textabbildung Bd. 186, S. 107
genau der obigen Ausführung entsprechend, immer denselben positiven, d.h. rechts des Zieles
liegenden Geschoßabweichungsbetrag:
Δ = 15 t sin B sin 1'' (d + h cotg B),
welcher – um einen zur Vergleichung mit den nach Obigem
von Hrn. de Brettes mitgetheilten Daten geeigneten
speciellen Fall aus der zwischen Seite 124 und Seite 125 der erwähnten Schrift des Referenten
eingeschalteten tabellarischen Zusammenstellung von unter dem 50sten Grade
nördlicher Breite bei verschiedenen Schußverhältnissen durch die Erdrotation
entstehenden Geschoßabweichungen herauszugreifen, – für eine Zielerhöhung von
h = 0, die Schußweite d
– 1000 Ruthen = 3766,8 Meter und eine Geschoßflugzeit von t = 31,12 Secunden durch den Werth:
Δ = 1,734
Ruthen = 6,59 Meter
repräsentirt wird, welcher, auf die geographische Breite von
Paris, B = 49º, und die Schußweite von d = 4000 Meter = 1062 Ruthen reducirt, in:
Δ = 1,856
Ruthen = 6,99 Meter
übergeht und somit genau die Mitte
zwischen denjenigen von Poisson und de Brettes erhaltenen Rechnungsresultaten einhält, welche die Abweichung
der 32 centimetrigen Bombe für die Schußweite von d =
4000 Meter = 1062 Ruthen ebenwohl unter dem Breitegrade von Paris, B = 49º, für alle
Schußlinien-Azimuthe, also auch bei α =
0º und α 180º feststellen, und
nach Poisson
= 1,858 Ruthen =
7 Meter
nach de Brettes
= 1,769 Ruthen = 6,98 Meter
ergeben.
Für jedes andere Schußlinien-Azimuth muß diese Uebereinstimmung der Resultate
aber natürlich aufhören, da die so eben entwickelte Formel, im Gegensatze zu den von
de Brettes aufgestellten Behauptungen und im vollen
Einklange mit dem Ergebnisse der oben angestellten Untersuchungen, für im Norden
oder im Süden vom Meridiane des Geschützaufstellungsortes ausgehende
Schußlinien-Azimuthe in den beiden östlichen Quadranten eine mit dem Wachsen
dieser Azimuthe fortwährend zunehmende Steigerung der
Geschoß-Rechtsabweichung eintreten läßt, die beim Schießen nach dem Ostpunkte
hin, also bei α = 270º, im vorliegenden
concreten Falle zu dem Maximalbetrage von
Δ = 3,870
Ruthen = 14,57 Meter
führt und umgekehrt für die beiden westlichen Quadranten mit
dem Wachsen der Schußlinien-Azimuthe dann im Norden oder Süden, vom Meridiane
des Geschützaufstellungsortes ausgehend, auch wieder zu einer fortwährenden
Verminderung dieser Rechtsabweichung führt, die im vorliegenden Specialfalle durch
Null hindurchgehend, beim Schießen nach West hin, also für α = 90º, zu einem Linksabweichungsbetrage des Geschosses
von
Δ = – 0,403 Ruthen =
– 1, 52 Meter
führt.
Dem etwaigen Einwurfe, daß bei Entwicklung der obigen Formel keine Rücksicht auf die
zugleich mit dem Erdboden rotirende Atmosphären-Schicht genommen worden ist,
und somit auch wohl keine genügende Genauigkeit der durch sie erhaltenen
Geschoßabweichungsbeträge erwartet werden dürfe, läßt sich in einer wohl allseitig
befriedigenden Weise schon durch ein einfaches Vorlegen der in Tabelle II. erwähnten
Schrift des Referenten niedergelegten Rechnungsresultate begegnen, wornach die vom
Einflüsse der atmosphärischen Luft herrührenden Verminderungen des der Erdrotation
zuzuschreibenden Geschoßabweichungsbetrages z.B. bei sechspfündigen Vollkugeln für
Schußweiten von 400 Ruthen = 2000 Schritt preußisch nur 0,0015284 Zoll, und bei
dreipfündigen Vollkugeln auf 200 Ruthen = 1000 Schritt Zielentfernung sogar nur
0,00008286 Zoll rheinländisch betragen, welche Werthe gegen die durch Erdrotation
hervorgebracht werdenden Geschoßabweichungsbeträge selbst als verschwindend zu
betrachten sind; denn hierbei handelt es sich nach Seite 123 der mehrerwähnten
Schrift des Referenten bei den mit Feldladung abgeschossenen Bleimantelgranaten des
gezogenen preußischen Sechspfünders mit 2000 Schritt Zielentfernung schon z.B. um
den Abweichungsbetrag von 2,3 Fuß rheinländisch, d.h. um etwa ein Viertheil von
dessen ganzem Derivationsbetrage, wie er sich hier beim Schießen nach circa West-Nordwest durch Messung ergibt, und
weiter läßt auch Tabelle III. derselben Schrift, bei Vergleichung der nach obiger
Formel berechneten Geschoßabweichungsbeträge mit den von Hrn. Paul de Saint Robert in seiner 1858 zu Turin erschienenen Broschüre:
„Des effets de la rotation de terre sur les
mouvements des projectiles“ veröffentlichten
Berechnungsresultaten sofort erkennen, daß bei größeren Schießweiten von ca. 5000
Meter dem Erdrotationseinflusse sogar Geschoßabweichungsbeträge von 12 bis 18 Meter
zugeschrieben werden müssen.
Zum Schlusse dürfte über dieses Thema also lediglich wieder etwa dasselbe
hinzuzufügen seyn, was Seite 123 der citirten Schrift des Referenten bereits im J.
1865 ausgesprochen wurde, daß es nämlich jetzt, wo der Artillerie die
Präcisionswaffe des gezogenen Geschützes zu Gebote steht, für dieselbe nicht mehr
als von einem nur rein theoretischen, oder wohl gar nur
transcendental-speculativen Interesse bezeichnet werden kann, sich mit den
nach Obigem doch offenbar recht palpablen Wirkungsgrößen des
Erdrotations-Einflusses auf ihre Schießresultate zu beschäftigen, daß es
vielmehr eine ernste Aufgabe der Gegenwart für sie geworden ist, die für das
jedesmalige Schußlinien-Azimuth dem Einflusse der Erdrotation zukommenden
Geschoßderivations-Antheile auch durch Versuche mit vollkommener Sicherheit
festzustellen, was dem denkenden ausübenden Artilleristen bei dem entsprechenden
Gebrauche identischer gezogener Geschütze, auch unter verschiedenen Azimuthen gegen
den Meridian des Geschützaufstellungsortes gerichteter Schießbahnen, oder auch von
schraubenrechts und schraubenlinks gezogener Geschütze derselben Art auf einer und
derselben Schießbahn nicht schwer fallen kann, wenn zu diesem Zwecke Geschütze zur
Verwendung stehen, deren constante Trefffehler auch selbst bei ca. 6000 Schritt
Zielentfernung noch nicht von ihren zufälligen Schießfehlern überragt werden, welche
letztere bei Geschützen älterer Art eine so bedeutende Rolle spielen.
Als erfreuliches Resultat derartiger Bemühungen dürfte sich eine vollständig
befriedigende Lösung der Differenzen ergeben, welche ohne Berücksichtigung des
Erdrotations-Einflusses auf das Schießen natürlich immer, und nur anscheinend
unerklärlich, besonders dann recht merkbar zwischen den Geschoßderivationsbeträgen
auftreten, wenn unter sonst gleichen Schießverhältnissen bei großer Zielentfernung
die Schußebenen verschiedene Azimuthe gegen die Meridiane ihrer
Geschützaufstellungsorte haben.
Darapsky,
Major im Generalstabe zu Berlin.