| Titel: | Theorie der Zellenräder, nach de Pambour. |
| Fundstelle: | Band 179, Jahrgang 1866, Nr. LXXXIV., S. 356 |
| Download: | XML |
LXXXIV.
Theorie der Zellenräder, nach de Pambour.
Nach den Comptes rendus, t. LXI p. 1121; aus der deutschen
Industriezeitung, 1866, Nr. 4.
Mit einer Abbildung.
de Pambour's Theorie der Zellenräder.
Bei den Zellenrädern übt das Wasser bei seinem Eintritt einen Stoß aus, dessen
Wirkung aber sehr untergeordnet ist; das Hauptagens der Bewegung ist die Schwere
oder das Gewicht des in die Zelle eintretenden Wassers. Man kennt bei den
Zellenrädern den Punkt, wo das Wasser in das Rad eintritt, nicht aber den, wo es aus
demselben austritt. Dieser Punkt ist verschieden je nach der Menge des zuströmenden
Wassers und der Geschwindigkeit oder der Belastung des Rades. Kennt man beide
Punkte, so hat man die Fallhöhe, auf welche das Gewicht des Wassers wirkt und kann
daraus den Effect des Rades finden. Es soll daher zunächst das Wasservolumen
berechnet werden, das in jeder Zelle aufgenommen wird, dann, indem man die Zelle in
ihrer horizontalen Lage betrachtet, der Querschnitt des Wassers, das sie aufnimmt,
endlich soll bestimmt werden, in welcher Linie bei der Umdrehung des Rades der
Ausguß des Wassers beginnt und wo er endet. Daraus läßt sich die Linie des mittleren
Ausgusses finden, und da man annehmen kann, die Wirkung des Wassers erleide bis zu
diesem Punkte keinen Verlust und der Ausguß finde daselbst augenblicklich statt, so
wird die Aufgabe gelöst seyn.
Es sey nun v die Geschwindigkeit des äußeren Radumfanges
pro Minute, d der
Abstand zweier benachbarter Zellen auf diesem Umfange, also n = v/d die Zahl
der Zellen, die in einer Secunde vor dem Aufschlaggerinne vorbeigehen und, wenn in
dieser Zeit das Wasservolumen P' zuströmt, P'/n das in jede Zelle
aufgenommene Wasservolumen. Nennt man noch l die Länge
des Aufschlaggerinnes, parallel zur Radachse gemessen, so ist der Querschnitt des in
einer Zelle enthaltenen Wasservolumen
σ = P'/nl = dP'/lv 1)
Textabbildung Bd. 179, S. 357
In nebenstehender Figur sey nun abcd der
Querschnitt der Zelle, die obere Breite cd
werde mit A, die untere Breite ab mit a, endlich
die Tiefe ad, an dem hier als gerade Linie
dargestellten inneren Radumfange gemessen, mit C
bezeichnet; die Höhe am des Wassers in der Zelle sey
= y, die Linie mn,
welche die Oberfläche des Wassers darstellt, = x.
Man hat nun nach der Figur für den Querschnitt σ = mnab des Wassers in der
Zelle:
σ = y . (x + a)/2 2)
Da die Linie mn aus der Linie mr = a und der Linie
rn besteht, die sich aus der Aehnlichkeit der
Dreiecke nrb und clb bestimmen läßt, so hat man auch:
x = a +
(A – a)/C
y 3)
Aus diesen beiden Gleichungen 2) und 3) lassen sich die Werthe x und y bestimmen.
Die Linie, in der der Wasserausguß beginnt, muß durch den Punkt c gehen; es sey die Linie cf, die das ursprüngliche Wasserniveau in dem unbekannten Punkte k schneidet. Dieser Punkt stehe von dem inneren
Radumfange um die Linie mk = z ab. Da die Wassermenge, die sich jetzt in der Zelle
befindet, dieselbe ist, wie die bei Beginn des Ausflusses darin befindliche, so
müssen die Dreiecke mkf und nkc gleich seyn, also
kn . cc' = mk . mf oder (x –
z) (C – y) = z . mf.
Außerdem sind aber auch die Dreiecke fmk und kc'c ähnlich, es ist also
mf = (cc' . mk)/kc' oder mf =
(C – y) z/(A – z).
Durch Einsetzen dieses Werthes in obige Gleichung erhält man
z = Ax/(A + x) (4)
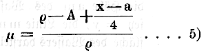
Wie die Figur zeigt, wird die Entfernung des Schwerpunktes des in der Zelle
enthaltenen Wassers vom inneren Radumfang ziemlich genau durch die Linie to = st/2
dargestellt, oder: to = 1/2 . (x + a)/2. Bezeichnet also
ρ den Radius des äußeren Radumfanges, so ist
die Entfernung dieses Schwerpunktes vom Radmittelpunkt
ρ' = ρ – A + (x + a)/4.
Ist ρ'/ρ = μ, so ist
das auf den äußeren Radumfang bezogene Wassergewicht = μP', und man hat
Textabbildung Bd. 179, S. 358
Sobald also das Wasservolumen ρ durch Gleichung 1)
bestimmt ist, so lassen sich die 4 Variablen x, y, z,
μ durch die Gleichung 2), 3), 4) und 5) finden.
Der Wasserausguß beginnt, wenn die Linie ck in
Folge der Radumdrehung horizontal geworden ist und endet, wenn die Linie cb horizontal ist. Beide Linien sind nun noch zu
bestimmen. Es sey α der Winkel zwischen den
Linien ck und der Horizontalen cd, β der zwischen cb und dieser Horizontalen. Aus den Dreiecken cpb und clk
ergibt sich nun tg α = (C – y)/(A
– z) und tg β = C/(A – a). Daraus lassen sich leicht die Winkel α und β, sowie
der mittlere Winkel (α + β)/2 finden. Offenbar werden die Linien ck und cb
horizontal seyn, wenn sich das Rad vom horizontalen Radius aus um den Winkel α, resp. β
gedreht hat, und der mittlere Ausguß wird stattfinden, wenn die Zelle vom
horizontalen Radius cd aus den um (α + β)/2
geneigten Radius erreicht haben wird, und man kann annehmen, daß in diesem
Augenblick die Wirkung des Wassers im Rad aufhört. Die Fallhöhe, auf welche das
Gewicht des Wassers vom horizontalen Radius bis zum Ausfluß wirkt, ist der Sinus des
Winkels (α + β)/2 im Kreis vom Radius ρ; rechnet
man dazu die bekannte Fallhöhe vom Eintrittspunkt bis zum horizontalen Radius, so
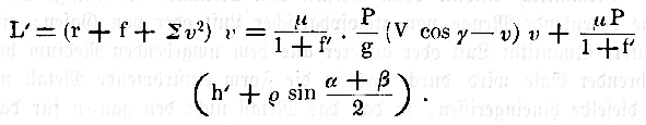
ist die gesammte wirksame Fallhöhe = h' + ρ sin (α + β)/2, und da μP das auf den äußeren Radumfang bezogene Wassergewicht bezeichnet,
die gesammte Wirkung der Schwere auf das Rad μP (h' + ρ sin (α + β)/2). Berücksichtigt man ganz ähnlich wie bei
den unterschlägigen Wasserrädern (polytechn. Journal Bd. CLXXVIII S. 425) die gesammten
Widerstandselemente und die gesammten Wirkungselemente, einschließlich des Stoßes
des Wassers und
setzt beide Summen einander gleich, so erhält man als Gleichung des Rades:
Textabbildung Bd. 179, S. 359
Die Nutzleistung ist
Textabbildung Bd. 179, S. 359
Die Leistung ohne Rücksicht auf Reibung und Luftwiderstand ist
Textabbildung Bd. 179, S. 359
Da bei diesen Rädern der Luftwiderstand vernachlässigt werden kann, so kann man ∑ = 0 setzen.