| Titel: | Zur Theorie der Wasserräder, nach de Pambour. |
| Fundstelle: | Band 178, Jahrgang 1865, Nr. CXV., S. 425 |
| Download: | XML |
CXV.
Zur Theorie der Wasserräder, nach de Pambour.
Aus der deutschen Industriezeitung, 1865, Nr.
46.
Zur Theorie der Wasserräder, nach de Pambour.
Bei den unterschlägigen Rädern im Schnurgerinne wird die Bewegung nur durch den Stoß
des Wassers hervorgebracht. Das Rad nimmt anfänglich eine sehr schwache
Geschwindigkeit an, die ganz allmählich zunimmt, bis die größte der vorhandenen
Wassermenge entsprechende erreicht ist. Die erlangte Geschwindigkeit bleibt dann
gleichförmig und es ist also Gleichgewicht zwischen Kraft und Widerstand vorhanden.
Kommt das Wasser mit der Geschwindigkeit V beim Rad an
und hat das Rad am äußeren Umfang die Geschwindigkeit v,
so wirkt das Wasser proportional der Differenz zwischen den Geschwindigkeiten V und v. Ist P das Gewicht des Betriebswassers pro Zeiteinheit, g die Beschleunigung der
Schwere, so ist die Intensität des Stoßes = P/g (V – v).
Um alle Kräfte unter sich vergleichbar zu machen, bezieht man sie gewöhnlich auf die
äußere Radperipherie; auch für den Druck des Betriebswassers nimmt man dieß ohne
Weiteres an, obgleich es nicht richtig ist. Denn das Wirkungscentrum des Wassers auf
die Schaufeln liegt nicht im äußeren Radumfang, sondern in der Mitte des in das
Wasser eingetauchten Theiles der Schaufel. Nennt man ρ den äußeren Radhalbmesser und e' den
Radius bis zur Mitte des eingetauchten Theiles, so wird die auf den Radius ρ' bezogene Stoßintensität = ρ'/ρ . P/g (V – v), wobei e' nicht constant, sondern je nach der Wassergeschwindigkeit und
Radgeschwindigkeit variabel ist.
Die durch den Stoß ausgeübte Wirkung hängt, wie erwähnt, von der zur Erzeugung des
Stoßes verwendeten Wassermenge ab. Dabei ist natürlich nur der zur Wirksamkeit
kommende Theil des Wassers verstanden. Nun läuft aber bei diesen Rädern zwischen
Schaufeln und Boden und Seitenwänden des Gerinnes stets eine gewisse Menge Wasser
unbenutzt ab. Ist a die eingetauchte Schaufelfläche, ω der Querschnitt des schädlichen Raumes, also
a + ω der
Gesammtquerschnitt des abfließenden Wassers, so verhält sich der wirksame Theil des
Wassers zur ganzen Wassermenge wie a : a + ω, und es geht
somit die Formel für die
Stoßintensität über in: (ρ'/ρ) . a/(a + ω) . P/g (V – v), wobei a/(a + ω)
ebenfalls wie ρ'/ρ veränderlich ist.
Der Widerstand besteht aus allen Kräften und Verlusten, welche der Stoßwirkung
entgegentreten. Es gehört hierher 1) der Widerstand durch die Arbeit, welche das Rad
auszuführen hat, der durch ein am äußeren Radumfang ρ wirkendes Gewicht r ausgedrückt
werden kann; 2) der Luftwiderstand gegen die bewegten Schaufeln, der proportional
der Stoßfläche und dem Quadrat der Geschwindigkeit ist und daher, auf den äußeren
Radumfang bezogen, ausgedrückt werden kann durch: ns(ρ''/ρ)²
v²; in diesem Ausdrucke, der der Einfachheit
wegen mit ∑v² bezeichnet werden möge, ist
v die Geschwindigkeit des äußeren Radumfanges pro Secunde, s die gesammte,
dem Stoße der Luft ausgesetzte Schaufelfläche, ρ'' die Entfernung des Schaufelmittelpunktes von der Radachse und
n eine Constante; 3) die Reibung des unbelasteten
Rades, die, auf den äußeren Radumfang bezogen, mit f
bezeichnet werde; 4) die Zapfenreibung durch Belastung des Rades oder irgend einen
Bewegungswiderstand, die, auf den Radumfang bezogen, mit f' bezeichnet werde. Zu diesen vier Widerständen kommt noch der
Effectverlust durch die Anstauung des Wassers im Gerinne bei der Ankunft an den
Schaufeln, eine Anstauung, die dadurch verursacht wird, daß das Wasser mit der
Geschwindigkeit V auf das Rad trifft, aber mit einer
kleineren Geschwindigkeit v durch dasselbe strömt. Sie
ist durch die Stoßwirkung des Wassers auf das Rad bedingt, bei der eine Differenz in
der Geschwindigkeit des zufließenden und des wirkenden Wassers unvermeidlich ist.
Ist ε' die Wasserhöhe im Aufschlaggerinne und k die Höhe des Wassers beim Durchgang durch die
Schaufeln, so wird der Schwerpunkt der Wassermasse gehoben um (ε – ε')/2,
und da diese Wirkung zwar für das gesammte Aufschlagwasser gilt, aber nur für das
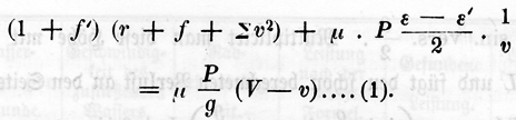
wirklich wirksame schädlich wirkt, so ist der dadurch verursachte Verlust (ρ'/ρ) . (a/a – ω) . P(ε – ε'/2), wofür einfacher μP(ε – ε'/2) gesetzt werde. Der diesem
Arbeitsverluste entsprechende Kraftverlust, auf den äußeren Radumfang bezogen,
beträgt μP(ε
– ε'/2) . 1/v. Setzt man nun die
gesammten Widerstände der Betriebskraft gleich, so hat man:
Textabbildung Bd. 178, S. 427
Die Nutzleistung ist daher, wenn man r aus (1) berechnet
und mit v multiplicirt:
Textabbildung Bd. 178, S. 427
Die Leistung, ohne Rücksicht auf Reibung und Luftwiderstand, ist:
Textabbildung Bd. 178, S. 427
Es sind nun noch die Variabeln μ, ε und ε', sowie die Constanten ∑, f und f' zu bestimmen. Da der
Wasserverlust durch a/(a +
ω) ausgedrückt wird, a und ω aber von der Höhe der
Schaufeleintauchung abhängen, die mit i bezeichnet
werde, so ist zunächst diese zu bestimmen. Da man das Gewicht P und folglich das Volumen P' des
Aufschlagwassers kennt und die Geschwindigkeit desselben beim Durchgang durch die
Schaufeln = v ist, so erhält man den Querschnitt des
Wasserstrahles = P'/v und daraus durch Division mit der
Gerinnbreite L die Wasserhöhe unter den Schaufeln ε = P'/vL. Zieht man hiervon den Spielraum j zwischen Rad und Gerinnboden ab, so ist der Rest die
Höhe der Schaufeleintauchung i = ε – j,
und multiplicirt man diese durch die Schaufelbreite l,
so erhält man die eingetauchte Schaufelfläche: a = (ε – j)l.
Der schädliche Raum ω besteht aus dem an den
Seiten und dem unter dem Rade. Ersterer hat zur Breite den doppelten Spielraum des
Rades, zur Länge die Eintauchungshöhe; sein Querschnitt ist also = 2ij für den letzteren, der mit der Lage der untersten
Schaufeln gegen die Verticale durch die Achse veränderlich ist, besteht, wenn die
zwei untersten Schaufeln gleich weit von dieser Verticale abstehen, die Höhe aus dem
Radspielraume plus dem auf den äußeren Radumfang
bezogenen sinus versus des halben Winkels = ϑ,
zwischen beiden Schaufeln. Kommt dagegen die zweite Schaufel in die verticale Lage,
so ist diese Höhe nur gleich dem Spielraum des Rades, im Mittel ist sie also
= j + ρ/2 sin vers. ϑ/2. Multiplicirt
man diese Höhe mit der Gerinnbreite L und fügt den schon
berechneten Verlust an den Seiten hinzu, so ergibt sich ω = (j + ρ/2 sin vers. ϑ/2)L + 2ij.
Das Verhältniß ρ'/ρ läßt sich leicht
finden, da ρ' gleich ist dem Radhalbmesser
vermindert um die halbe Schaufeleintauchung, ρ' =
ρ – i/2
und darnach ergibt sich auch μ = a/(a + ω) . (ρ'/ρ). Die Wasserhöhe ε' im Aufschlaggerinne, wo die Wassergeschwindigkeit = V ist, berechnet sich ähnlich wie ε, sie ist: ε' = P'/VL.
Was die Constanten ∑, f und f' betrifft, so ist in der oben gegebenen Formel für Metermaaß n nach Thibault = 0,0625
Kilogr. zu setzen; f ist nach Morin 0,08 bis 0,07 des Radgewichtes; die Reibung f' fand de Pambour bei Locomotiven = 0,14 der
Belastung oder des Widerstandes und nach Morin's
Versuchen über Zapfenreibung könnte man für sie auch hier diesen Nerth nehmen; nach
Pambour's Versuchen an Wasserrädern (mitgetheilt in
den Comptes rendus der französischen Akademie von 1865)
ist sie aber = 0,12 zu setzen.
Das wichtigste Element zur Ermittelung der Leistung von Wasserrädern ist also μ, das selbst wieder aus zwei variablen Brüchen
besteht, und es läßt sich daher wohl sagen, daß die Theorie der Wasserräder so lange
stabil geblieben ist, weil man diese Variabilität nicht berücksichtigte; außerdem
aber hatten die früheren Formeln auch die zusätzliche Reibung f' und die Wasserstauung nicht beachtet.
Zur Vergleichung des Resultates, welches die neuen Formeln geben, mit den
Versuchsresultaten, sind die bekannten Versuche Smeaton's
an einem unterschlägigen Wasserrad, bei denen die Geschwindigkeit des zufließenden
Wassers und die Aufschlagmenge direct gemessen wurden, nach Formel (3) berechnet.
Für das Modell war ρ = 0,303 Meter, Schaufelzahl
= 24, l = 0,1524 Meter, L =
0,1550 Met., j = 0,0013 Meter, ρ sin. vers. 7°30' = 0,0026
Meter.
Nr.
Wassermengeper
Secunde
Geschwindigkeitdes
zufließendenWassers.
Radgeschwindigkeit.
Leistungnach derneuen Formel.
GefundeneLeistung.
Leistung nachder
bisherigenTheorieberechnet.
Kilogr.
Meter.
Meter.
Kilogrammtr.
Kilogrammtr.
Kilogrammtr.
1
2,075
2,785
0,950
0,257
0,262
0,369
2
1,998
2,720
0,951
0,237
0,242
0,343
3
1,835
2,595
0,885
0,195
0,202
0,283
4
1,775
2,470
0,876
0,173
0,174
0,253
5
1,615
2,370
0,820
0,143
0,141
0,210
6
1,505
2,218
0,744
0,114
0,107
0,168
7
1,350
2,060
0,740
0,089
0,086
0,134
8
1,217
1,900
0,696
0,068
0,063
0,104
9
1,012
1,645
0,602
0,042
0,041
0,065
10
0,861
1,330
0,507
0,023
0,022
0,037
11
2,580
2,660
0,974
0,307
0,287
0,432
12
2,242
2,560
0,917
0,242
0,226
0,344
13
2,153
2,280
0,823
0,185
0,189
0,263
14
2,092
2,090
0,792
0,153
0,148
0,219
15
1,767
1,995
0,792
0,118
0,105
0,172
16
1,518
1,771
0,728
0,079
0,075
0,118
17
1,265
1,456
0,665
0,044
0,040
0,068
18
2,840
2,280
0,918
0,258
0,234
0,362
19
2,490
2,090
0,845
0,188
0,169
0,267
20
1,925
1,835
0,775
0,111
0,106
0,161
21
1,722
1,520
0,743
0,068
0,060
0,101
22
2,717
2,150
0,885
0,217
0,218
0,306
23
2,500
1,835
0,830
0,149
0,154
0,213
24
1,980
1,520
0,775
0,079
0,074
0,117
25
2,680
1,900
0,864
0,168
0,150
0,240
26
2,315
1,582
0,778
0,101
0,086
0,148
27
2,720
1,582
0,823
0,120
0,102
0,173
–––––––––––––––
–––––––––––
–––––––––––
–––––––––––
Summe
3,928
3,758
5,670
Die letzte Columne ist nach der älteren Formel berechnet:
rv = P/g (V –
v) v
Bei seinen Versuchen ließ Smeaton, nachdem er für jede
Versuchsreihe den Wasserverbrauch per Secunde bestimmt
und die Geschwindigkeit des zufließenden Wassers
beobachtet hatte, das Rad mit verschiedener Belastung arbeiten, indem er
gleichzeitig die Geschwindigkeit beobachtete. Indem er dann jede Geschwindigkeit mit
der entsprechenden Last multiplicirte und die Producte unter einander verglich, fand
er die Geschwindigkeit, die bei den gegebenen Verhältnissen zu der größten Leistung
führte. Die in der Tabelle angegebenen Zahlen sind die Geschwindigkeit und die Last
der Maximalleistung. Man könnte meinen, daß eine Theorie, die für diese bestimmten
Fälle passe, sich nicht gleich gut für den allgemeinen Fall eigne, wo man kein bestimmtes Verhältniß
zwischen Last und Geschwindigkeit voraussetzen darf. Smeaton gibt aber in einer zweiten Tabelle die Einzelwerthe einer seiner
Reihen, auf die man nun die neue Theorie anwenden kann. Da jedoch die Resultate hier
nicht die Gesammtleistung, sondern die Nutzleistungen sind, so ist die Formel (2)
anzuwenden. Die nachstehende Tabelle zeigt, wie wenig die berechneten Resultate von
den Versuchsresultaten abweichen.
Nr.
Wasserverbrauchper
Secunde
Geschwindigkeitdes
zufließendenWassers.
Radgeschwindigkeit.
Nutzleistungnach derneuen Theorie
GefundeneNutzleistung.
Kilogr.
Meter.
Meter.
Kilogrammtr.
Kilogrammtr.
1
1,998
2,720
1,425
0,166
0,156
2
„
„
1,330
0,181
0,181
3
„
„
1,150
0,198
0,188
4
„
„
1,070
0,201
0,204
5
„
„
0,951
0,202
0,207
6
„
„
0,840
0,196
0,206
7
„
„
0,697
0,190
0,190
8
„
„
0,523
0,148
0,157
–––––––––––––––
–––––––––––
–––––––––––
Summe
1,482
1,489
Berücksichtigt man die Reibung und den Luftwiderstand, so findet man zwischen
Versuchs- und Rechnungsresultat eine Differenz von 0,32 der Rechnung oder
0,47 des Versuches. Es ist also ziemlich dieselbe Zahl wie für die obigen 27
Versuche, wo die bisherige Formel ein um 50 Proc. höheres Resultat gibt als der
Versuch.