| Titel: | Ueber eine neue, sehr pulversparende Besetzung der Sprenglöcher; von Prof. A. R. v. Miller in Leoben. |
| Fundstelle: | Band 176, Jahrgang 1865, Nr. CIX., S. 361 |
| Download: | XML |
CIX.
Ueber eine neue, sehr pulversparende Besetzung
der Sprenglöcher; von Prof. A. R. v.
Miller in Leoben.
Aus der österreichischen Zeitschrift für Berg- und
Hüttenwesen, 1865, Nr. 16.
v. Miller, über eine pulversparende Besetzung der
Sprenglöcher.
Drei Hauptgrundsätze sind es, auf welchen die neue Methode fußt:
1) das Pulver soll einen möglichst kleinen Raum einnehmen, damit sich die Entzündung
von der Mitte des Pulversackes möglichst rasch nach allen Richtungen verbreite;
2) die Expansivkraft der Pulvergase soll im Momente der Lossprengung des Gesteins ein
Maximum seyn;
3) den Gasen soll in diesem Momente eine möglichst große Druckfläche dargeboten
werden.
Den Bedingungen 1) und 2) würde am besten durch einen kugelförmigen Pulversack
entsprochen werden, in dessen Mittelpunkt sich das untere Ende des Zünders befände.
In der That ist auch selbst unter Fachleuten diese Ansicht ziemlich verbreitet, und
mir ist ein Fall bekannt, wo man in Kalk mit Salzsäure dem Pulversacke eine
annähernd kugelförmige Gestalt zu geben versuchte. Allein diese Form des
Pulversackes entspricht am allerwenigsten der Bedingung 3), weil sie statt eines
Maximums ein Minimum an Druckfläche ergibt; es ist ihr daher die übliche
cylindrische Form desselben, welche dieser Bedingung schon viel besser entspricht,
um so mehr vorzuziehen, als mit ihrer Herstellung auch ein Minimum an Handarbeit
verbunden ist.
Allein die gewöhnliche Besetzungsweise der Bohrlöcher beutet den Vortheil einer
großen Druckfläche für die Gase noch immer viel zu wenig aus, was selbstverständlich mit
einem bedeutend größeren Aufwande an Pulver verbunden ist. Der übermäßig lange
Lehmbesatz verhindert die Gase, auf einen größeren Theil des Bohrlochumfanges zu
drücken, als der Pulversack ihnen eben darbietet.
Aus dieser Betrachtung folgt nun, daß man den Lehmbesatz möglichst kürzen, im übrigen
aber alles so einrichten müsse, daß den Pulvergasen eine möglichst große Druckfläche
dargeboten werde, ohne daß jedoch diese wesentlich an
Expansivkraft verlieren. Den Lehmbesatz habe ich für 3' bis 3 1/2' tiefe,
und 1 1/4'' bis 1 1/3'' weite Bohrlöcher mit 5'' bis 6'' Länge ausreichend befunden;
es ist aber immerhin möglich, daß man mit demselben noch weiter herabgehen könne.
Für weitere und tiefere Bohrlöcher, wie sie zuweilen bei Abbauen, vornehmlich aber
über Tag vorkommen, genügen 7'' bis 8'' Lehmbesatz, dagegen für kurze und enge
Löcher beim Streckenbetrieb in festem Gestein dürfte derselbe mit 3'' und vielleicht
selbst mit noch geringerer Länge ausreichend befunden werden. Die ganze Tiefe des
Sprengloches, welche der Lehmbesatz noch übrig läßt, ist somit bei einer rationellen
Verladung für die Druckfläche zu verwenden. Würde man nun aber den Raum zwischen dem
Pulver und dem verkürzten Lehmbesatz vollständig frei lassen, so würde zwar die
Druckfläche für die Gase wesentlich vergrößert, aber genau in demselben Maaße würde
auch die Expansivkraft der Gase, welche sich nunmehr in einem größeren Raume
verbreiteten, herabgesetzt werden. Da nun aber der Gesammtdruck der Gase durch ein
Product dargestellt wird, dessen einer Factor die Expansivkraft, auf die
Flächeneinheit gerechnet, und dessen anderer Factor die Druckfläche ist, so könnte
aus einer derartigen Anordnung kein Gewinn resultiren; ja, es würde die vergrößerte
Gesteinsfläche, mit welcher nunmehr die heißen Gase in Berührung kommen würden, zur
größeren Abkühlung derselben beitragen, und hierdurch die Wirkung des Schusses noch
etwas herabgesetzt werden.
Textabbildung Bd. 176, S. 361
Aus diesen Folgerungen ist nun die in beistehender Figur dargestellte neue
Besetzungsweise hervorgegangen. a, d ist das in
gewöhnlicher Weise abgebohrte Sprengloch; a, b das
Pulver, von welchem ein später zu erwähnendes Quantum abgebrochen wird; e, f der Zünder, der mit seinem unteren Ende wie
gewöhnlich bis in die Mitte des Pulversacks hineinreicht; c,
d ist endlich der auf die unumgänglich nothwendige Länge beschränkte
Lehmbesatz. Der Raum b, c, welcher zwischen dem
letzteren und dem Pulver verbleibt, wird nun mit einem oder mehreren massiven Metallcylindern ausgefüllt, welche für den
Zünder, wenn er nicht sehr dünn seyn sollte, eine Spur, und dabei einen solchen
Durchmesser besitzen, daß zwischen ihnen und der Bohrlochswand eben noch so viel
Spielraum bleibt, daß sie eben noch ziemlich leicht in's Bohrloch hineingehen.
Dadurch, daß das Pulver auf einen möglichst kleinen Raum beschränkt bleibt, wird der
Eingangs erwähnten Bedingung 1) entsprochen; nach Bedingung 3) besitzen die
Pulvergase aber eine möglichst große Druckfläche, indem sie sich nicht nur im
Pulversacke, sondern auch in dem leer gebliebenen Raume zwischen dem Cylinder und
der Bohrlochswand verbreiten. Weil aber dieser Raum möglichst klein gehalten wird,
kann die Expansivkraft der Gase nicht stark sinken, und es wird dadurch nach
Thunlichkeit der unter 2) ausgesprochenen Bedingung entsprochen.
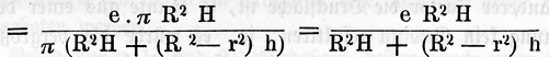
Es sey gestattet, den vorliegenden Fall durch eine einfache Rechnung darzustellen. Es
sey e die Spannkraft der Gase, welche diese erlangen
würden, wenn nach gewöhnlicher Weise verladen würde, folglich nach obiger Figur der
ganze Raum von b bis d mit
Letten besetzt wäre: R sey der Halbmesser des
Sprengloches und H die Höhe des Pulversackes; r sey der Halbmesser und h
die Höhe der massiven Cylinder. Es ist somit πR²H der Rauminhalt des
Pulversackes, und π (R² – r²) h der Inhalt des leeren Raumes um den Cylinder; daher
die durch den letzteren herabgesetzte Spannkraft die Pulvergase nach dem Mariotte'schen Gesetze
Textabbildung Bd. 176, S. 362
Die Druckfläche dagegen wäre bei gewöhnlicher Ladung = 2 RH; da aber nunmehr ein Raum von der Höhe h und gleichem Durchmesser R
zugewachsen, so ist die Druckfläche bei der neuen Besetzungsweise = 2 R (H + h); somit ist der Gesammtdruck als Product aus
Spannkraft und Druckfläche
Textabbildung Bd. 176, S. 362
Da man nun annehmen kann, daß für gewöhnliche Verladung und
übrigens gleiche Umstände die Spannkräfte der Gase sich verhalten wie die
Pulvermengen, so repräsentirt in diesem Ausdrucke e eine
zum Pulverquantum Proportionale, und dieser selbst gibt zugleich mit einer
Constanten multiplicirt, die bei der neuen Besetzungsweise zu verwendende
Pulvermenge, welche somit theoretisch um so geringer
wird, je größer
h die Höhe des Cylinders ist, und je näher dessen
Halbmesser r dem Bohrlochhalbmesser R kömmt, oder je länger und je enger der rings um den
Cylinder verbliebene leere Raum ist.
Praktisch jedoch wird die wirklich verwendete Pulvermenge
immer größer, daher das Pulver-Ersparniß geringer seyn müssen, als es sich nach
dieser Formel ergibt, weil die heißen Pulvergase mit einer ansehnlich größeren
Gesteinsfläche in Berührung kommen, als bei der gewöhnlichen Besetzungsweise,
demnach auch stärker abkühlen und dadurch an Wirkung etwas einbüßen müssen. Wie viel
man aber von der üblichen Pulvermenge brechen dürfe, darüber konnten nur Versuche
entscheiden. Ich führte also drei Versuchsreihen durch: in ziemlich mildem Gestein
(milder Tertiärsandstein und Serpentin), in mittelfestem (compacter Glanzkohle) und
in festem Gestein (Eisenspath und körnigem Kalk), wobei die Löcher 2' bis 3 1/2'
tief und entsprechend weit waren, und folgendes Resultat ergaben:
In mildem Gesteine, in welchem die Versuche begannen, und sehr
stark an Pulver gebrochen wurde, mißlang eine verhältnißmäßig große Anzahl
Sprengschüsse; es liegt aber der Grund hiervon vornehmlich in dem Umstande, daß hier
erst die Erfahrungen gesammelt wurden, wie stark man überhaupt das Pulver verringern
dürfe.
In compacter Glanzkohle fielen dagegen die Versuche sehr gut aus, und mißlangen fast
gar keine derselben; nur zeigte sich, daß die Pulvermenge, wenn sie bloß die Hälfte
des üblichen Quantums betrug, doch etwas schwach bemessen sey. Mit 2/3 derselben
gelangen alle Versuche.
In festem Gestein, wo die Schüsse allemal mit 2/3 der üblichen Pulvermenge geladen
wurden, gelangen alle Versuche mit Ausnahme eines einzigen, wo der Schuß überhaupt
mit viel zu starker Gesteinsverspannung gebohrt war.
Die erste Versuchsreihe hat somit gar keinen Werth, weil sie nur zur eigenen
Orientirung diente; auch die zweite besitzt einen geringeren, als es den Anschein
hat, weil hier die Häuer überhaupt nicht sparsam mit dem Pulver umgingen, und somit
ein Theil der Ersparung imaginär und auf Rechnung der Ueberladung der Schüsse zu
setzen ist. Eigentlich entscheidenden Werth besitzt die dritte Versuchsreihe (am
Vorderberger-Erzberg ausgeführt), wo die Schüsse sämmtlich starkes Vergeben und auch
theilweise starke Verspannung besaßen und die Häuer mit dem Pulver ökonomisch
umzugehen gewohnt sind.
Welches Ersparniß an Pulver sich bei der neuen Methode für minder tiefe und enge
Löcher herausstelle, darüber besitze ich noch keine Erfahrung; ohne Zweifel aber
wird es procentuell geringer seyn, als bei tiefen und weiteren Löchern; immerhin dürfte es
aber auch hier für Bergbaue, welche viel Pulver consumiren, eine nicht unansehnliche
Jahresziffer darstellen. Ich erlaube mir daher, die verehrten Fachgenossen
wiederholt aufzufordern, auch ihrerseits Versuche zu machen, und wenn sie das
Resultat derselben, wie ich gar nicht zweifle annehmbar finden, diese neue
Besetzungsmethode in die bergmännische Praxis einzuführen. Allerdings werden sich
die Häuer gegen diese Verbesserung sträuben, weil ihnen das Hervorziehen der
Cylinder (die übrigens unmittelbar vor der Arbeitsbrust unter das Hauwerk fallen)
eine kleine Mühe verursacht, und weil sie wohl wissen, daß eine Pulverersparung
– auch wenn sie im Gedinge arbeiten – nicht ihnen, sondern dem
Bergbaubesitzer zu Gute kommt. Ein energischer Wille jedoch wird dieses Hinderniß
leicht zu überwältigen wissen.
Die anfänglich von mir angewendeten Lade-Cylinder waren von hartem Holze, wurden aber
von den Pulvergasen stark elliptisch zusammengedrückt, so daß sie bei einer zweiten
Verwendung zu viel Zwischenraum gelassen hätten. Ich verwendete hierauf weiches
Eisen zu denselben, das ich zur Vermeidung des Feuerreißens mit Fett bestrich und
zum Ueberfluß noch in geleimtes Papier einwickelte. Wollte man diese Zuthaten
vermeiden und in hartem Gestein ganz sicher gehen, so würde man wohl Blei oder Zinn
zu denselben verwenden müssen. Auch waren die von mir verwendeten Metallcylinder von
verschiedener Länge, so daß ich jederzeit die gewünschte Länge durch Zusammensetzen
aus einzelnen Stücken erhalten konnte.
Nun sey mir zum Schlusse noch gestattet, meine Ansicht über das Hohlladen (Raumschießen) und über das Mengen des
Pulvers mit anderen Substanzen beizufügen. Wenn beim Hohlladen der hohle
Raum über oder unter dem Pulver den gleichen Durchmesser
mit dem Pulversacke besitzt, so pflegt man zur Offenerhaltung desselben hölzerne
Hälter in das Bohrloch einzubringen, und der körperliche Inhalt dieser Hälter ist
es, welcher bewirkt, daß die Druckfläche der Gase stärker wächst, als der von den
letzteren eingenommene Raum, somit eine günstigere Wirkung des Schusses resultiren
kann, als beim gewöhnlichen Besetzen. Wird aber das Bohrloch unter dem Pulversacke
enger fortgebohrt und auf den dadurch entstandenen Absatz die Pulverpatrone
aufgesetzt, so zeigt die Rechnung, daß ebenfalls eine günstigere Wirkung resultiren
müsse, als beim Verladen auf gewöhnliche Weise, und daß dieselbe für eine gewisse
Größe des engeren Durchmessers ein Maximum werde. Beide Arten hohl zu laden müssen
aber immerhin noch Resultate geben, welche weit hinter jenen der neuen oben
beschriebenen Methode zurückstehen.
Wird das Pulver mit anderen zerkleinerten Substanzen, als: trockenen Sägespänen, Sand
u. dgl. gemengt verwendet, so nimmt das Gemenge mehr Raum ein, als das Pulver für
sich allein einnehmen würde; es wird somit ebenfalls die Druckfläche vergrößert,
während der von den Pulvergasen eingenommene Raum nur wenig zunimmt, und der daraus
erwachsende Vortheil kann möglicherweise größer seyn, als der aus der stärkeren
Vertheilung des Pulvers erwachsende Nachtheil der langsameren Entzündung desselben.
Nur so läßt sich ein (nicht etwa von früherer Ueberladung herrührendes) Ersparniß an
Pulver erklären, wo überhaupt durch dieses Mittel ein solches erreicht wurde.