| Titel: | Ueber die richtige Lage und Größe des Feuersitzes bei den Pultöfen; von Max Sponfeldner, k. Sudfactor in Berchtesgaden. |
| Autor: | Max Sponfeldner |
| Fundstelle: | Band 175, Jahrgang 1865, Nr. LXV., S. 268 |
| Download: | XML |
LXV.
Ueber die richtige Lage und Größe des Feuersitzes
bei den Pultöfen; von Max Sponfeldner, k. Sudfactor in
Berchtesgaden.
Mit Abbildungen auf Tab.
V.
Sponfeldner, über die richtige Lage und Größe des Feuersitzes bei
den Pultöfen.
Wohl sind die Bestrebungen unseres Zeitalters im Allgemeinen auf Verdrängung des Holzes als Brennstoff durch Surrogate
gerichtet; doch fehlt es auch heut zu Tage noch keineswegs an Gegenden, welche durch Klima und Boden
zumeist auf Waldbau angewiesen, von den großen Verkehrsmitteln und Absatzquellen
aber noch viel zu sehr abgeschnitten sind, als daß sie den Umsatz ihrer massenhaften
Holzproduction hauptsächlichhaupsächlich im Commercialwege zu bewirken vermöchten.
Für die große Industrie solcher Gegenden wird darum das Holz als Brennmaterial sobald
noch nicht durch Surrogate verdrängt werden, zumal solche nicht überall in
angemessener Nähe zu haben sind.
Gerade aber für Holzbrand im Großen zunächst hat sich seit
wenigen Decennien eine Feuerungsart, Pultfeuerung
genannt, besonders in Süddeutschland eingebürgert, welche bei richtigem Bau und kundiger Bedienung alle jene Vorzüge eines vollkommenen
Verbrennungsprocesses auf die einfachste Weise gewährt, die mit anderweitigen
Systemen von oft complicirter Form oder umständlicher Behandlung meistentheils nur
unvollkommen zu erfolgen pflegen.
Wer die Pultfeuerung erfunden, wo ihre Wiege gestanden,
scheint unbekannt; doch ist zu vermuthen, daß Südbayern, woselbst sie zuerst
praktische Bedeutung und einen hohen Grad von Vollkommenheit gewonnen hat, die
Priorität gebührt.
So vollkommen die Wirkung des Pultofens ist, so einfach und kunstlos sind gleichwohl
die Mittel, wodurch er wirkt.
Fig. 22 sey
eine gewöhnliche Feuerung mit Planrost, Fig. 23 dieselbe Feuerung
mit Pultheizung. – Trenne Feuersitz a und
Heizraum b
oben hermetisch durch eine Scheidewand c (Feuerbogen), öffne dafür unterhalb einen Zugang d (Feuerhals) in den
Heizraum, verschließe die Aschenthüre wohl, und lasse dagegen der Luft freien
Zutritt ober dem Holze, so wird die Flamme, durch die Rostfugen hindurchschlagend,
in den Heizraum aufsteigen – und der Pultofen ist fertig. Nun können wegen
der Scheiterform die Roststäbe wegfallen; denn es genügt zur Unterstützung, wenn das
Holz querüber mit den beiden Hirnenden aufliegt.
Durch diese einfache Umkehrung des Flammenspiels ist aber das Problem der
Rauchverzehrung gelöst.
Der Rauch des frisch aufgegebenen Brennmaterials kann nicht mehr unverbrannt
entweichen, sondern ist genöthigt, die Flamme und Gluthen
der unteren brennenden Schichten zu passiren, und muß daher, weil mit frischer (noch nicht desoxydirter) Luft innig gemengt, in dem im höchsten
Temperaturstadium befindlichen Feuerhals angezündet werden. Da hiermit allen Erfordernissen für die Rauchverzehrung
Genüge geschieht, so muß der Rauch vollständig verbrannt werden.
Das continuirliche Nachrücken der Beschickung findet ohne
alle künstliche Beihülfe
statt. Während rückwärts der Feuerbogen, so begrenzt die Holzfassung vorn eine
(bewegliche) Wand e (Regulator), deren Höhe, welche sich
nach der verfügbaren Zugkraft des Kamines richtet, eine constante Zahl von
Scheiterlagen bestimmt.
Der Heizer hat nur nach Maaßgabe des Verbrandes die oberste Schichte zu erneuern,
sobald durch das Zusammensinken der unteren brennenden Beschickung hinlänglicher
Raum geworden ist.
Wir haben soeben die Pultfeuerung aus einem gewöhnlichen Planroste entstehen lassen.
Dieselbe erscheint als ein Rostfeuer mit abwärts gekehrter Luft- und Flammenführung,
wobei nur die Scheiter selbst als Roststäbe fungiren.
Ist nun nicht schon durch diesen einfachen Entwicklungsgang den Holzauflagen ihr
natürliches Niveau am Feuerbogen angewiesen?
Und doch ist es gerade dieses Niveau, wornach sämmtliche
bis jetzt im Großen ausgeführte Pultöfen in zwei Systeme A und B, Fig. 24, zerfallen.
Bald befindet sich die Holzauflage unter dem Niveau des
Feuerbogens (System A), bald in gleichem oder wenige Zolle höherem Niveau
(System B).
Offenbar wird das Gemenge von Luft und Rauch den diagonalen (weil kürzesten) Weg durch die Beschickung nach dem Heizraum
suchen. Bei A wird aber nur ein
Theil der glühenden Schichte vom Rauche durchströmt, die unterhalb des
Flammbogens befindlichen Theile empfangen zu wenig Luft, und es nähert sich dieses
System, wenn man von der Richtung der Lufteinströmung absieht, um so mehr der
Rostfeuerung, je tiefer die Holzauflage unter dem Bogen, und je mehr sich letzterer
zum Niveau der Brustmauerkrone erhebt. In Oberösterreich
ist diese Zustellung die gewöhnliche.
Bei System B muß das Gemenge von Luft und Rauch die ganze im besten Verbrennungsstadium befindliche Schichte
passiren, ehe die Gase in den Heizraum gelangen können. So die bayerische Bauart.
Um nun die praktischen Leistungen beider Systeme zu vergleichen, hat Verfasser eine
Reihe von Pultöfen nachgemessen, ihre Zugbedingungen und Verbrandgröße erhoben,
daraus den relativen Zug und Verbrand berechnet, und die erhaltenen Daten in eine
Uebersicht gebracht. Weil nur Oefen von gleichem Zug
unter sich vergleichbar sind, so ist für jeden Ofen der verfügbare Zug, d. i. die
Menge der secundlich beiströmenden Luft von 0° für eine mittlere äußere
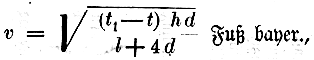
Temperatur von + 5° C. berechnet worden. Man bediente sich zu dem Ende der
für bayer. Maaß vereinfachten Formel Péclet's für die
Geschwindigkeit der Kaminluft per Secunde
Textabbildung Bd. 175, S. 271
woraus mittelst des gegebenen Kaminquerschnittes F die secundliche Luftmenge
Q
= Fv Kubikfuß Kamin = t₁° C. warme
= (F . v)/(1 +
0,00367 t₁) Kubikfuß zu 0°
= (F . v)/(1 +
0,00367 t₁) × 0,0576 Pfd. kalte
Luft,
berechnet wurde, nachdem eine Probemessung auf directem Wege
eine genügende Uebereinstimmung mit den Formeln ergeben hatte.
In der S. 272 folgenden Tabelle sind die einzelnen Pulte nach ihrem Fassungsraum
gereihet.
Nr. I bis IV gehören dem System A, Nr. V bis X dem System
B an.
Durch tiefen Holzschacht, mithin großes Volum, zeichnet
sich die erste, durch geringe Holztiefe und kleines Volum
die zweite Gruppe aus.
Das Bestreben, den Verbrand zu forciren, mag die voluminösen Pulte der Gruppe A hervorgerufen haben. Tiefe
Pulte sind aber zu dem Ende nicht wohlgewählte Mittel, sie bewirken einen höheren
absoluten Verbrand höchstens auf Kosten der reinen
Verbrennung.
Es verhält sich damit genau wie mit einem zu hoch beworfenen Roste; denn nur die
Pultfläche (analog der Rostfläche) ist es, deren
Größe bei genügender Zugkraft die Luftmenge, und durch diese die Verbrennung
bestimmt. Der geringe relative Effect tiefer Pulte (z.B.
I bis IV), die unvermeidliche Wärmestrahlung nach außen, der träge Zug gegenüber der
Gruppe B, um so träger, je mehr derlei Pulte durch
Erhebung des Flammbogens über die Holzauflagen den Grundcharakter der Pultfeuerung
verlieren und sich den Rostfeuern nähern, erklären sich hieraus. Dagegen zeigt auch
Tab. I, daß bei Pultöfen von gleicher Zugstärke, aber verschiedener Feuertiefe,
dennoch auf die Pultflächeneinheit beim System B in
gleichen Zeiten nahezu gleichviel verzehrtes Holz trifft,
wie bei A.
Demzufolge müßte z.B. das Pult II vom System A, im Sinne
von System B Pult VIII umgebaut, mit 56/108 ×
12,67 = 0,52 × 12,67 = 6,59 Kubikf. bei 1' Tiefe, daher 6,59 Quadrats.
Pultfläche dasselbe (und zwar mit reinerer Verbrennung
und weit geringerem Wärmeverlust) leisten, wie jetzt bei 26'' Feuertiefe.
Tabelle I.
Bau und Consum einiger Pultöfen (in bayer. Maaßen).
Textabbildung Bd. 175, S. 272
Pultöfen; Vortrag; Tiefe der
Holzauflage unter dem Flammbogen; Zug-Elemente; Zug. Luft von 0°
secundlich per Ofen; Pultdimensionen; Relat. Zug. Luft von 0°, secundl.
per Qdtf. Pultfläche, per Kubf. Pultfassung; Verbrand an Fichtenholz von 14.
Proc. Wassergehalt per Ofen täglich N. Klafter, stündlich; Relativer Verbrand
stündlich per Qdrtf. Pultfläche, per Kubf. Pultfassung; Verbranntes wasserfreies
Fichtenholz, secundlich; Luft von 0° secundlich per Pfund verbranntes
Fichtenholz
Um aber letzteren Satz auch experimentell zu prüfen, hat der Verfasser einige
specielle Versuche an einem und demselben Pultofen bei verschiedenen Pultweiten und
Feuertiefen aber gleichem Zuge vorgenommen, welche in der folgenden Tab. II
zusammengestellt sind.
Tabelle II.
Verhältniß zwischen der Holzhöhe und dem
relativen Pulteffect.
Pulthöhe
7''
10''
13''
Pultweite
Stündlich verbrannte Normal-Klafter
Fichtenholz.
Quadratf.Pultfläche
KubikfußPultfass.
Quadratf.Pultfläche
KubikfußPultfass.
Quadratf.Pultfläche
KubikfußPultfläche
12''
–
–
–
–
1/43
1/45
15''
1/50
1/31
1/50
1/43
1/50
1/53
17''
1/50
1/29
1/50
1/40
–
–
21''
1/54
1/32
1/50
1/41
–
–
Man sieht auch hieraus wiederum, wie die relative Leistung
des Pultes mit der Zunahme der Pulthöhe bei
gleichbleibender Pultfläche abnimmt. Auf größere
Feuertiefen konnten diese Versuche nicht ausgedehnt werden, da es der Zweck des
Betriebes verbot.
Dagegen fand sich noch an einem anderweitigen Pultofen Gelegenheit zu einem
Vergleiche.
Bei einem Kalkofenpultfeuer mit 31/2 fußigem Holze bei 15'' Weite und 3,28 Kubikfuß
Fassung betrug der stündliche Verbrand per Kubikfuß
Pultfassung 1/39 Normal-Klafter, wenn die Holzschicht 9'', dagegen 1/28
Normal-Klafter, wenn selbe nur 6'' hoch war (= 2,18 Kubikfuß Fassung). Im ersteren
Falle verzehrte das ganze Pult stündlich 1/12, im zweiten Fall 1/13 Normal-Klafter.
Mit 28/39 × 3,28 = 2,35 Kubikfuß Fassung, d. i. 2,35/(3,5 × 0,5) =
1,34' oder circa 16'' Oeffnung würde man folglich
dieselbe Leistung, nämlich 1/12 Klafter stündlichen Holzconsum mit diesem Pulte
erzielen, wenn man das Holz statt 9'' nur 6'' hoch legt; denn es ist 2,35 ×
1/28 = 0,084 = 1/12.
Scheint es endlich nicht ein Maximum des Effectes zu
geben, welches für ein bestimmtes Pult bei einem gewissen, von der Stärke des Zuges
bedingten Minimum der Dimensionen zur Geltung kommt?
Die Länge des Pultes ist jedesmal durch die Scheiterlänge
gegeben. Die Höhe findet ihr dem Zuge günstigstes Minimum
in der Dicke der Holzschicht, welche von 2 Scheiterlagen gebildet wird
(6–7''). Geringere als 2 Scheiterlagen Höhe darf nicht stattfinden, da außerdem die brennende Schichte aufhören würde
überdeckt zu seyn, mithin deren Strahlungswärme nach Außen nicht aufgefangen
würde.
Variabel bleibt demnach zunächst nur die Pultweite. Für
ein bestimmtes Minimum dieser aber wird bei gleichem Zuge
die Kubikeinheit der Pultfassung die relativ größte Menge
Luft empfangen und ihr Consum ein Maximum werden.
Offenbar muß mit dem variabeln Factor des Zuges t (äußere
Temperatur) die Stärke des Zuges, d. i. die Luftmenge auf die Flächen- und
Raumeinheit des Pultes oder die Lebhaftigkeit des Zuges
und mit ihr die Verbrennungsgröße ab- und zunehmen, wenn Holzhöhe und Pultweite
constant bleiben. Um daher eine nahezu gleiche Verbrennungsgröße in gleichen Zeiten
festzuhalten, ist der in horizontaler Ebene verschiebbare Regulator ganz
geeignet.
Nur die Verbrennungsgröße, keineswegs aber die Lebhaftigkeit des Zuges, ist daher auf
solche Weise regulirbar. Durch richtige Handhabung des Kaminregisters könnte aber
auch die Stärke der Luftzuströmung mehr gleichförmig gemacht werden.
Aus dem Gesagten dürften sich nun für die den Holzpulten zu gebende Lage und
Dimensionen folgende Grundsätze ergeben:
1) Man lege die Holzauflagen stets in oder wenig über das
Niveau des behufs gleichförmigeren Ausstreichens der Flamme am besten scheitrecht geformten Fenerbogens.
2) Die Höhe des Holzraumes besteht am besten aus nur zwei
Scheiterlagen.
3) Die Pultweite sey nach Maaßgabe des Zuges das zulässige Minimum.
Schließlich noch ein Wort über Pultfeuerung im Allgemeinen.
Hr. Vogl erklärt in seiner Kritik der rauchverzehrenden
FeuerungsanlagenIm polytechn. Journal Bd. CLXXII S. 262 u. 339. die Pultheizung nur für Holz anwendbar, für mineralische Brennstoffe aber unzulässig, und zwar weniger wegen der
ungünstigen Form der Stücke, sondern „weil der viele Rauch, wollte man ihn
durch Flamme und
Gluthen zugleich passiren lassen, die Speiseluft so verdünnen würde, daß dadurch
das Verbrennen der unteren Schichten gestört werden müßte.“
Abgesehen aber davon, daß auch beim Langen'schen
Etagenroste die Passage des Rauches durch Flamme und
Gluthen zugleich, ohne den von Hrn. Vogl befürchteten Nachtheil stattfindet – warum sollte sich nicht
auch da das richtige Verhältniß zwischen Zugkraft und
Pultinhalt ermitteln lassen, und so vielleicht der Pultfeuerung auch in der
Anwendung auf mineralische Brennstoffe ihre Zukunft vorbehalten seyn?
Hat doch für Torf auf südbayerischen Salinen lediglich
durch Einschaltung einiger feuerfesten Steine zwischen Brustmauer und Feuerbogen
unter entsprechender Erhöhung der ersteren, die Umwandlung der
Holzpulte in Torfpulte stattgefunden, deren Leistung und Verbrennungsproceß
so wenig zu wünschen übrig läßt, daß ihre Anwendung im Großen eingeführt worden ist.
Darum dem weiteren Gedeihen dieser ebenso einfachen als
vorzüglichen Feuerungsweise im Dienste der Industrie ein hoffendes Glückauf!
Tafeln
