| Titel: | Die von dem Ingenieur R. Teichmann zu Basel construirte mechanische Vorrichtung beim Maschinenbau, zur Umwandlung der rotirenden Bewegung in eine geradlinige. |
| Fundstelle: | Band 170, Jahrgang 1863, Nr. LXVIII., S. 246 |
| Download: | XML |
LXVIII.
Die von dem Ingenieur R. Teichmann zu Basel construirte mechanische Vorrichtung beim Maschinenbau, zur Umwandlung
der rotirenden Bewegung in eine geradlinige.
Aus den Verhandlungen des Vereins zur Beförderung des
Gewerbfleißes in Preußen, 1863 S. 101.
Mit Abbildungen auf Tab.
V.
Teichmann's mechanische Vorrichtung beim Maschinenbau, zur
Umwandlung der rotirenden Bewegung in eine geradlinige.
Unter den Preisaufgaben, welche der Verein zur Beförderung des Gewerbfleißes in
Preußen für die Jahre 1859 und 1860 gestellt hatte, befand sich eine, die zur
Construction einer neuen mechanischen Vorrichtung aufforderte, durch deren Anwendung
beim Maschinenbau eine mit gleichmäßiger Geschwindigkeit rotirende Bewegung in eine
abwechselnd vor- und rückgehende geradlinige Bewegung verwandelt wird. Die
Bedingungen, denen die Lösung zu entsprechen hatte, waren folgende:
1) die ganze Länge des Hubes muß beliebig auf jedes bestimmte
Maaß verändert werden können;
2) die Bewegung nach der einen Richtung muß mindestens mit einer
doppelt so großen Geschwindigkeit, als die nach der entgegengesetzten Richtung
vor sich gehen;
3) der Wechsel des Hubes, d.h. der Uebergang vom Vor- zum
Rückgange, oder umgekehrt, darf nicht plötzlich, sondern muß durch ein
allmähliches Abnehmen der Bewegung bis zum momentanen Stillstande und
demnächstigen Wiederzunehmen in ähnlicher Weise geschehen, wie bei einer
einfachen Kurbelbewegung der Uebergang durch den todten Punkt erfolgt;
4) der übrige Theil der Hubbewegung von einem Wechsel bis zum
andern muß mit gleichmäßiger Geschwindigkeit erfolgen; endlich
5) muß die Vorrichtung so construirt seyn, daß sie namentlich bei
Maschinen größerer Art, z.B. Hobelmaschinen, Nuthenbohrmaschinen, Mangeln u.s.w.
angewendet werden kann.
Die meisten der eingereichten Projecte suchten die Lösung der Aufgabe durch
wesentlich neue und complicirte Mechanismen zu erreichen, welche aber der einen oder
anderen jener Bedingungen gar nicht oder nur unvollständig genügten und deßhalb von
der mit der Prüfung der Vorlagen beauftragten Commission verworfen wurden. Im Herbst
vorigen Jahres wurde nun von Hrn. R. Teichmann in Basel
die hier ausführlicher zu besprechende Construction vorgelegt. Die
Prüfungscommission erkannte in derselben die vollständige Lösung der Aufgabe und
beantragte demgemäß die Ertheilung des Preises an Hrn. Teichmann, welche durch Beschluß des Vereins in der Sitzung vom 2. März d.
J. erfolgte.
Herr Teichmann geht von der bekannten, an
Metallhobelmaschinen häufig angewandten Construction aus, nach welcher die Bewegung
des Schlittens mittelst einer Zahnstange erfolgt. Diese ganze Vorrichtung ist mit
allen den Modificationen, durch welche der Wechsel in Richtung und Geschwindigkeit
der Bewegung der Zahnstange, so wie die Begrenzung des Weges derselben bewirkt wird,
als den Forderungen der Aufgabe entsprechend zu betrachten, sofern man von der
dritten, oben gestellten Bedingung absieht.
Herr Teichmann modificirt nun diese Construction der Art,
daß sie durch die von ihm angegebene Verbesserung auch der genannten dritten
Bedingung genügt. Um nämlich den Schlitten oder sonstigen Maschinentheil, dem die
gewünschte Bewegung ertheilt werden soll, nicht plötzlich die Bewegungsrichtung
wechseln zu lassen, schaltet er zwischen demselben und der Zahnstange einen dritten
Theil, einen Knaggen, ein, welcher die Bewegung der Zahnstange auf den Schlitten
überträgt und in verlangter Weise abändert. Dieser Theil ist mit der Zahnstange fest
verbunden, doch so, daß er sich horizontal um den Befestigungspunkt drehen kann; er
greift in einen am Schlitten angebrachten Schlitz und nimmt den Schlitten mit.
In Fig. 1 seyen
A, A' zwei mit der Zahnstange fest verbundene
Zapfen, auf denen horizontal drehbar die quadrantförmigen Stücke A, B, C und A', B', C'
sitzen. Bei B und B' tragen
diese Theile je ein viereckiges, ebenfalls drehbares Stück, welches in dem an dem
Tisch der Hobelmaschine angebrachten Zförmigen Schlitz
c, b, a, b', c' gleitet. Die Bewegung der Zahnstange soll von links
nach rechts stattfinden und durch Verschiebung des Parallelogramms E, E' F, F', durch welche
die Ausrückung des Treibriemens bewirkt wird, umgekehrt und ihre Geschwindigkeit
verdoppelt werden.
Indem nun das Viereck B gegen die rechts liegende Wand
des Schlitzes c, b, a, b', c' stößt, führt es den
Schlitten mit der Geschwindigkeit der Zahnstange mit, bis sich das Stück A, B, C in dem Schlitz d am
Zapfen D fängt. In Folge dieses Hindernisses kann das
Viereck B jetzt nicht mehr an der gleichmäßig
fortschreitenden Bewegung des Zapfens A Theil nehmen,
sondern muß sich auf einem Kreisbogen bewegen, als dessen Mittelpunkt der Zapfen D und als dessen Radius die Entfernung dieses Zapfens
von der Bewegungsrichtung des Zapfens A zu betrachten
ist. Demgemäß ist der Schlitz d nach einer Kreislinie
gebildet, deren Radius dem Radius jenes Kreisbogens gleich ist, deren Mittelpunkt
aber in B liegt. Bei dieser Bewegung gelangt das Viereck
B, indem es mit dem ganzen Stück C, B, A um A Kreisbögen
beschreibt, in den rechtwinckelig abführenden Ast c des
Schlitzes c, b, a, b', c', während gleichzeitig die
Rolle C bei ihrer Kreisbewegung um A die Stange E, E'
fortstößt, dadurch die Ausrückung des Treibriemens und folglich auch die rückgängige
Bewegung der Zahnstange mit dem Zapfen A, A' bewirkt.
Von dem Augenblick an, wo also das Viereck B gezwungen
ist, sich auf einem Kreisbogen um D zu bewegen, stellt
sich die fortschreitende Bewegung des Schlittens als Projection dieses Bogens
dar.
Die Retardirung, die der Schlitten in seiner Bewegung erfährt, ist nicht dieselbe wie
bei der gewöhnlichen Kurbelbewegung, da das Viereck B
bei gleichen Bewegungsstrecken von A nicht gleiche
Bogentheile durchläuft, wie Fig. 2 zeigt. Man findet
nämlich die Stellung von B, wenn man in den einzelnen
Stellungen von A mit der Entfernung von AB Kreise schlägt: die Durchschnittspunkte
derselben mit dem um D beschrieben gedachten Kreisbogen
bezeichnen die Stellungen von B.
Nachstehend möge die algebraische Entwickelung folgen, welche Hr. Teichmann zur Darstellung der Schlittenbewegung gegeben
hat.
In Figur 3 sey
A₀B₀ die
Stellung der Mittelpunkte von A und B beim Eintritt der verzögerten Bewegung;
A₁B₁ die
Stellung im todten Punkt,
AB eine beliebige Stellung (zwischen A₀B₀ und A₁B₁);
A₀A = s. d. i. der
von A zurückgelegte, der Zeit proportionale Weg der
Zahnstange;
B₀b = x der entsprechende Weg der Hobelmaschine;
Bb = B₀K = y die Entfernung des
Vierecks B von der Bewegungsrichtung des Zapfens A;
AB = DB = a die Entfernung zwischen den Zapfen A und B.
B₀BB₁
ist der um den Zapfen D beschriebene Kreisbogen.
Aus Betrachtung der rechtwinckeligen Dreiecke DBK
und ABb ergibt sich:
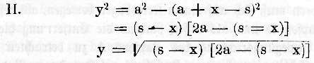
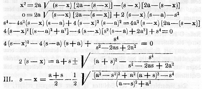
I.
x²
= a² – (a – y)²
= 2ay – y²
ferner:
Textabbildung Bd. 170, S. 248
Diese Werthe für y und y² in I. eingesetzt:
Textabbildung Bd. 170, S. 248
Der Werth s – x
repräsentirt das Zurückbleiben des Schlittens gegen die Zahnstange und muß für
s = 0
Null werden, weßhalb nur das negative Vorzeichen der Wurzel
gelten kann
Für
s
= a ist
s – x
= a (1 – 1/2√3)
x
= (a/2)√3
= 0,866a
Für
s
= 2a wird
s – x
= a
x
= a
In Fig. 2 sind
acht aufeinander folgende Stellungen von B gezeichnet, welche gleichen
Zeitintervallen entsprechen. Man ersieht daraus, daß die fortschreitende Bewegung
anfänglich langsamer, später aber schneller als bei der Kurbelbewegung abnimmt; sie
beträgt nach der obigen
Rechnung in der ersten Zeithälfte:
0,866 a
daher in der zweiten nur:
0,133 a.
Wie schon früher erwähnt worden ist, wird das Parallelogramm E, E', F, F' durch die Rolle C bei der Drehung
des Stückes A, B, C um A
verschoben und dadurch der Treibriemen ausgerückt. In Folge dessen tritt die
rückgängige, beschleunigte Bewegung des Schlittens ein, welche so lange währt, als
B sich in dem Ast c, b
des Schlitzes befindet. Wenn hingegen B aus b in den Hauptarm b, a, b'
des Schlitzes tritt, kann es keine WirkungWikung mehr auf den Schlitten ausüben. Daher würde derselbe stillstehen, wenn
nicht B' in demselben Augenblick nach b' gelangte und hier dem Schlitten die gleichmäßig
fortschreitende Bewegung der Zahnstange ertheilte. Diese Bewegung behält der
Schlitten so lange, bis sich B' am Zapfen D' fängt und dadurch die Bewegung des Schlittens in
derselben Weise wie beim Vorgange verzögert.
Da die Stellung der Zapfen beliebig verändert werden kann, so läßt sich hierdurch der
Weg des Schlittens ganz nach Wunsch begrenzen.
Die Verschiebung der Stange F, E, welche die Ausrückung
des Riemens bewirkt, erfolgt etwas früher als der Eintritt in den todten Punkt, der
Bewegungswechsel der Zahnstange wird aber niemals mit der Bewegung von F, E zusammenfallen, sondern stets etwas später
eintreten. Sollte derselbe dennoch zu früh erfolgen, so kann man dem dadurch
abhelfen, daß man die zweite Hälfte der Bewegung von F,
E theilweise einem Gewicht überträgt. Uebrigens würde, wenn die rückgängige
Bewegung der Zahnstange auch wirklich früher einträte, der Schlitten keinen
bemerkbaren Stoß erfahren, da die Geschwindigkeit desselben während der ganzen
Hälfte der verzögerten Bewegung schon zu gering ist. Eine Bewegung der Zahnstange
über den todten Punkt würde dagegen innerhalb gewisser Grenzen nur die Wirkung
haben, daß der Tisch während einer kurzen Zeit einen völligen Stillstand
erleidet.
Fig. 4 und
5
erläutern die Vorrichtung in ihrer Anwendung an einer
Hobelmaschine; wir lassen die darauf bezügliche, von Hrn. Teichmann gegebene Beschreibung hiermit unverändert
folgen:
A, A'', A''' sind drei Riemenrollen, von denen A' mit der Welle B fest
verbunden, A'' lose aufgesteckt und A''' mit dem Getrieb C fest
verbunden, jedoch auf der Welle drehbar ist. Auf derselben Welle B festgekeilt ist ein Getrieb D, das mittelst des Vorgeleges E das Rad F umtreibt, welches mit dem Getriebe C ebenfalls in Eingriff ist.
Je nachdem nun der treibende Riemen auf A' oder A''' sich befindet, wird das Rad F mit doppelter Uebersetzung vorwärts oder mit einfacher Uebersetzung,
also beschleunigter Bewegung, rückwärts getrieben.
Diese abwechselnd langsam vorwärts- oder schnell rückwärtsgehende Bewegung
wird durch das auf derselben Welle F sitzende Getriebe
G der Zahnstange H
mitgetheilt.
Letztere ist durch die mit langen schwalbenschwanzförmigen Köpfen versehenen
Schrauben J mit dem Tische der Hobelmaschine so
verbunden, daß sie sich unter demselben der Länge nach verschieben kann. Seine
fortschreitende Bewegung wird dem Tische V durch eines
der beiden Schubstücke K, L, M und K', L', M' so lange unverändert mitgetheilt, bis sich
dieses Schubstück mit seinem kreisförmigen Schlitze an einem der beiden Anstoßzapfen
N, N' (Fig. 5) fängt, wodurch
bewirkt wird, daß sich dasselbe um N dreht. Hierbei
bewegt sich einerseits das drehbare Viereck L in dem
betreffenden Schlitze, der am Tisch der Hobelmaschine befestigten Platte O zur Seite, und die Bewegung des Tisches nimmt nach und
nach bis zur Ruhe ab. Andererseits drückt die Rolle M
das Lineal P zur Seite und schiebt dadurch mittelst des
Gabelhebels Q den Treibriemen von A' nach A''' oder umgekehrt, wodurch die
Bewegung der Zahnstange gewechselt wird. Die Anstoßzapfen N,
N' können durch die Schraubenspindeln R, R' der
Länge der Maschine nach verschoben und es kam dadurch der Eintritt des Curswechsels
beliebig verändert werden.
Tafeln
