| Titel: | Ueber Puddelofen-Essen; von Dr. H. Wedding. |
| Fundstelle: | Band 161, Jahrgang 1861, Nr. CXXIII., S. 432 |
| Download: | XML |
CXXIII.
Ueber Puddelofen-Essen; von Dr. H. Wedding.
Wedding, über Puddelofen-Essen.
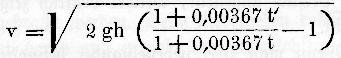
Da die Rauchgeschwindigkeit in einer Esse (vergl. Weisbach's Ingenieur- und Maschinen-Mechanik, 2te Auflage,
Bd. II S. 568)
Textabbildung Bd. 161, S. 432
um so größer ist, je größer t',
d.h. die Temperatur der ausströmenden Gase in der Esse ist, also die Weite einer
runden Esse d = √(4Q/vπ) um so kleiner seyn muß, je größer
v, d.h. auch t' ist, so
sollte da, wo t' am größten ist, d.h. im unteren Theile
der Esse, deren Querschnitt auch am kleinsten seyn. Diese Theorie hat man in Low
Moor bei Puddelöfen mit großem Vortheile befolgt. Die Essen haben den nebenstehenden
Durchschnitt. Der Kern von feuerfesten Ziegeln ist von einem einfachen
Kesselblechmantel umgeben und gehalten. (Wochenschrift des schlesischen Vereins für
Berg- und Hüttenwesen, 1861, Nr. 32.)
Textabbildung Bd. 161, S. 432