| Titel: | Bemerkungen über die Brauchbarkeit der Keilräder zur Fortpflanzung drehender Bewegungen; von W. Hansen. |
| Autor: | W. Hansen |
| Fundstelle: | Band 137, Jahrgang 1855, Nr. I., S. 2 |
| Download: | XML |
I.
Bemerkungen über die Brauchbarkeit der Keilräder
zur Fortpflanzung drehender Bewegungen; von W. Hansen.
Mit Abbildungen auf Tab.
I.
Hansen, Bemerkungen über die Brauchbarkeit der Keilräder zur
Fortpflanzung drehender Bewegungen.
Vor einiger Zeit wurde von Minotto eine eigenthümliche Art
von Rollen, welche derselbe Keilräder nannte, als Ersatzmittel der Zahnräder zur
Fortpflanzung drehender Bewegungen vorgeschlagen, und da von dieser sogenannten
Erfindung in wissenschaftlichen und technischen Zeitschriften mehrfach die Rede
gewesen ist, erlaube ich mir einige Bemerkungen, sowohl in praktischer als
theoretischer Hinsicht über diesen Gegenstand zu machen, und vor Allem eine
Untersuchung über die Natur der Uebertragung der Bewegung einer Rolle auf eine
andere vorauszuschicken.
Minotto verwirft als Fortpflanzungsmittel die gewöhnliche
Verzahnung und zieht derselben die Reibung vor, welche dadurch entsteht, daß sich
zwei Räder, welche sich mit einander drehen sollen, mit ihren Peripherien unter
einem gewissen Druck berühren. Damit aber dieser Druck bis zu einem gewissen Grad
gesteigert werden kann, ohne daß derselbe auf die Zapfen in demselben Grade
gesteigert wird, soll die eine der beiden Rollen einen keilförmigen Einschnitt und
die andere einen entsprechenden Vorsprung an der Peripherie erhalten, wie in Fig. 1 zu sehen
ist.
Wie leicht begreiflich, wird die zur Fortpflanzung der Bewegung verwendete Reibung zu
einer gleitenden, welche mit einer bedeutenden Abnutzung und somit auch mit einem
weiter unten der Größe nach zu bestimmenden Arbeitsverlust verbunden ist, denn die
verschiedenen Punkte beider Rollen, welche sich während der Bewegung berühren,
haben, weil sie auf verschiedenen Radien liegen, verschiedene Geschwindigkeiten, und
es kann nur zwei Kreise auf den Umfangen beider Rollen geben, welche die Eigenschaft besitzen, daß
alle auf denselben gelegenen Punkte gleiche Geschwindigkeiten und somit in der That
nur eine rollende Reibung zu erleiden haben.
Da von der Lage dieser Kreise die relative Winkelgeschwindigkeit beider Räder
abhängt, so ist es, um dieses für die Kenntniß der Bewegung derselben so wichtige
Element kennen zu lernen, nothwendig, die Lage dieser Kreise näher zu bestimmen.
Es ist klar, daß sich beide Räder an ihren Umfangen in zwei sich schneidenden geraden
Linien berühren, und es ist hinreichend, die Wirkung der Reibung nur in der einen
Berührungslinie zu betrachten, indem man die Größe der Reibung in der Längeneinheit
verdoppelt.
Um die Lage der bezeichneten Berührungskreise zu bestimmen, richte man die
Aufmerksamkeit auf Fig. 2, welche den Durchschnitt beider Rollen soweit darstellt, als er
nach dem oben Gesagten in Betracht kommt.
o sey die Drehungsachse der treibenden Rolle, d.h.
derjenigen, deren Triebkraft auf die andere (getriebene), deren Drehungsachse mit
o' bezeichnet ist, übertragen werden soll; a'b sey die eine der geraden Linien, in welchen
sich beide Räder berühren. Bezeichnet man ferner mit R
den kleinsten Radius o'b' der getriebenen Rolle, mit ε die Entfernung des Punktes der Linie a'b, durch welchen die Peripherie des gesuchten
Berührungskreises geht, von der Linie a'b', und
bezeichnet man ferner mit t die Entfernung bb', so erhält man, wenn man annimmt daß die getriebene
Rolle ganz frei geht, keinerlei mechanische Arbeit zu verrichten hat, folgende
Gleichung zwischen den bezeichneten Größen:
Textabbildung Bd. 137, S. 2
indem man beachtet, daß die Summe der Reibungsmomente, welche
auf die getriebene Rolle wirken, unter diesen Umständen gleich Null seyn muß, und
diese Summe durch die Summe dieser beiden Integrale ausgedrückt wird.
Durch Ausführung der Integration erhält man folgende quadratische Gleichung:
ε² + 2 Rε – Rt
– 1/2 t² = 0,
aus welcher man für ε
ε = – R + √(R² + Rt + 1/2 t²)
erhält.
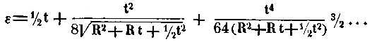
Da dieser Ausdruck die Natur des Werthes von ε
nicht offen genug zur Schau trägt, ist es besser, denselben mit Rücksicht darauf zu
entwickeln, daß man durch
Addition von – 1/4 t² zur Größe unter dem
Wurzelzeichen, in den Stand gesetzt wird die Wurzel auszuziehen und den dadurch
verursachten Fehler nach vollendeter Operation wieder ausgleichen kann. Man erhält
nach dieser Rechnung
Textabbildung Bd. 137, S. 3
in welchem Ausdruck das Glied, welches t⁴ enthält, in den meisten Fällen so klein ist, daß man es
weglassen kann. Aus dieser Formel ersieht man sogleich, daß, wenn die getriebene
Rolle frei geht, die Berührungslinie a'b sehr nahe in
ihrer Mitte von den Berührungskreisen geschnitten wird, und daß letztere auf der
Hälfte liegen, welche der treibenden Rolle zugekehrt ist.
Sey z.B. R = 10 Millimet. und t = 2 Millimet., so ist
ε = 1,0453 Millimeter,
in welchem Falle die Berührungskreise also nur um 0,0453
Millimeter von der Mitte der bezeichneten Linie abliegen.
Geht die getriebene Rolle hingegen nicht frei, sondern hat dieselbe irgend eine
mechanische Arbeit zu verrichten, wie z.B. die Reibung ihrer Zapfen zu überwinden,
oder außerdem noch ein Gewicht zu heben, so kommt in der Gleichung (1) zu dem
Moment, welches wir als negativ angenommen haben, noch dasjenige hinzu, welches
während der Bewegung auf die getriebene Rolle wirkt und im Folgenden mit m bezeichnet ist. Die Gleichung (1) geht daher in
folgende über:
Textabbildung Bd. 137, S. 3
wo φ die doppelte Reibung
der Längeneinheit in der Berührungslinie und ε
den Winkel b a b' bezeichnet. Nach der Integration
erhält man folgende Gleichung
ε² + 2 Rε – Rt
– 1/2 t² – m/φ sin α = 0
welche für ε folgenden
Ausdruck liefert:
ε = – R + √(R² + Rt + 1/2 t² + m/φ sin α)
Diese Gleichung zeigt, daß ε keinen festen Werth
besitzt, sondern daß sich derselbe verändert sobald sich die Kraft ändert, welche
die getriebene Rolle in ihrer Bewegung aufzuhalten sucht, so daß sich derselbe mit
dem Anwachsen dieser Kraft vergrößert und umgekehrt.
Sobald der Werth von ε sein Maximum erreicht hat
oder = t oder der Tiefe des Einschnittes soweit derselbe
hier in Betracht kommt, geworden ist, hat auch die genannte Kraft m ihr Maximum erreicht und jeder noch so geringe Zuwachs
derselben bringt ein vollständiges Gleiten und den Stillstand der getriebenen Rolle
hervor.
Dieser Maximumwerth von m, welchen ich mit μ bezeichnen werde, wird durch folgende Gleichung
bestimmt
μ = φ/sin α (Rt + ½ t²)
Ist z.B. φ = 1,97 Gr., α = 60°, R und t aber wie im vorigen Beispiel, so ist
μ = 50 Gr.
Aus dieser Entwickelung ergibt sich sogleich jene Erscheinung, welche Minotto beobachtet, aber so viel ich weiß, nicht erklärt
hat, daß sich nämlich die Abnutzung an den Berührungsstellen ganz verschieden
markirt, je nachdem die eine oder die andere Rollo als treibende oder getriebene
benutzt wird.
Sey unter den angenommenen Umständen die der Bewegung entgegengesetzte Kraft m so groß, daß ε =
1,5 Millimet., so wird in dieser so bezeichneten Rolle die Abnutzung am geringsten
seyn, da ja durch dieselbe die Berührungskreise gehen und in letzteren nur rollende
Reibung stattfindet. Dieß wird sich dadurch kund geben, daß die stärker gleitenden
Rollen einen stärkeren oder geringeren Glanz oder eine andere Farbe erhalten werden,
so daß die Berührungskreise als helle oder dunkle Ringe auf entgegengesetztem Grunde
erscheinen werden, oder auch dadurch, daß die Schmiere, wenn welche vorhanden ist,
aus den bezeichneten Kreisen hinweg nach beiden Seiten hin gedrückt und durch
abgeriebene Metalltheile anders gefärbt seyn wird.
Verwendet man aber jetzt die getriebene Rolle zum entgegengesetzten Zweck, nämlich
zum Treiben der andern, so muß, da in der vorausgegangenen Entwickelung ε von dem Inneren der getriebenen Rolle oder der
Linie a'b' an gerechnet worden, jetzt, da die Räder ihre
Rolle vertauscht haben, ε auch von der
entgegengesetzten Seite des keilförmigen Einschnittes oder von der Linie ab an gerechnet werden, und folglich werden die
Berührungskreise jetzt ebensoviel jenseits von der Mitte der Berührungslinie
abliegen, als sie vorher diesseits lagen und diese neue Lage auf die angedeutete
Weise markiren.
Ueber das Verhältniß der Winkelgeschwindigkeiten beider
Räder.
Kennt man die Lage der Berührungskreise, auf deren Umfängen nur rollende Reibung
stattfindet, so ist es leicht das Verhältniß der Winkelgeschwindigkeiten beider
Räder anzugeben.
Bezeichnet man mit R'' den Radius ob' der treibenden Rolle, mit U die Zahl der
Umdrehungen, welche die treibende Rolle in einer gewissen Zeit macht, und endlich
mit U' die Zahl der Umdrehungen, welche die getriebene
in derselben Zeit macht, so wird das Verhältniß der Winkelgeschwindigkeiten durch
folgende Gleichung ausgedrückt:
U'/U = (R'' – ε)/(R + ε)
dieses Verhältniß wird mit der Veränderung des Werthes von m oder ε zwischen den
Gränzen
(R'' + R)/√(R² + Rt + 1/2 t²) – 1 und (R'' – t)/(R
+ t)
schwanken.
Sey z.B. R'' = 20 und seyen die Zahlenwerthe der übrigen
Größen die des vorigen Beispieles, so schwankt die Zahl der Umdrehungen, welche die
getriebene Rolle macht, während sich die treibende 10mal um ihre Achse dreht,
zwischen
17,16 und 15,00 Umdrehungen.
Ueber den Arbeitsverlust, welcher durch die Reibung verursacht
wird.
Durch die in der Berührungsstelle wirkende Reibung wird natürlich ein Arbeitsverlust
verursacht, welcher, um sich vollständig von der Brauchbarkeit der in Rede stehenden
Räder zu überzeugen, bestimmt werden muß.
Bezeichnet man für diesen Zweck mit A die mechanische
Arbeit, welche die treibende Rolle innerhalb einer gewissen Zeit verrichtet, um die
andere und die mit derselben verbundenen Maschinen, Last etc. zu treiben, so wird
A durch folgende Gleichung bestimmt:
Textabbildung Bd. 137, S. 5
welcher Ausdruck der absoluten Größe nach für eine einmalige
Umdrehung der treibenden Rolle gilt.
Nach der Integration erhält man für A:
A = πφ/sin α [2 R''(2ε – t) – 2 ε² + t²] . . . . . . (2)
Setzt man in diesem Ausdrucke – R + √(R² + Rt + 1/2 t²) für ε so
erhält man die Arbeitsquantität, welche der Motor verrichten muß, um die getriebene
Rolle, wenn sie frei ist, zu bewegen.
So z.B. gibt diese Formel, nach Einsetzung des letztgenannten Werthes von ε,
auf die vorigen Beispiele angewendet:
A = 7,999... Millimetergramme,
während das Maximum der Arbeit, welche der Motor überhaupt zu
leisten vermag, durch den Ausdruck
πφ/sin α (2 R''t
– t²)
dargestellt wird und unter den angegebenen Umständen einer
Arbeitsgröße von
543,1 Millimetergrammen
entspricht.
Um aber den durch die Reibung verursachten Arbeitsverlust oder, was dasselbe ist, den
Coefficienten anzugeben, mit welchem man die aufgewendete Arbeit multipliciren muß,
um diejenige zu erhalten, welche in der That nur zu Nutzen kommt, so ist es zunächst
einen Ausdruck für letztere, welche im Folgenden mit A₁ bezeichnet ist, aufzustellen nothwendig.
Denselben findet man als Function von ε und den in
voriger Rechnung eingeführten Konstanten, nach einfacher Rechnung, wie folgt:
Textabbildung Bd. 137, S. 6
welche Arbeitsgröße sich auf die einmalige Umdrehung der
treibenden Rolle bezieht.
Demnach ist das Verhältniß der beiden Arbeitsgrößen oder der fragliche
Coefficient:
Textabbildung Bd. 137, S. 6
welcher sich für den speciellen Fall, daß ε = t, in folgenden
umformen läßt:
Textabbildung Bd. 137, S. 7
Dieser Ausdruck gewährt den Vortheil, daß er von dem
Reibungsmaaß unabhängig ist und man daher ohne Beschränkung für jeden Werth von A und ε den
entsprechenden Werth von A₁ angeben kann.
Die gefundenen Resultate auf die vorigen Beispiele angewendet ergeben z.B. daß man,
wenn ε seinen Maximalwerth erreicht hat, nur
86 Procent,
wenn ε = 1,5 Millimeter,
nur
83 Procent
der aufgewendeten Arbeit weiter benutzen kann u.s.f.
Ferner wird man finden, daß der Arbeitsverlust am geringsten ist, wenn ε = t, und man muß
daher, im Falle der Anwendung solcher Räder, die Reibung stets so einrichten, daß
ε so nahe als möglich dem Werthe von t gleichkommt.
Bei diesen Entwickelungen ist jedoch in Erinnerung zu bringen, daß der Druck auf die
Zapfen, welcher wegen der künstlichen Erzeugung der Reibung in der Berührungsstelle,
sehr beträchtlich werden kann, und die damit verbundene Reibung nicht in Betracht
gezogen worden ist, und jene Zahlen daher eine größere oder geringere Veränderung im
schädlichen Sinn erleiden müssen, wenn man etwa wünschte dieselben mit der Erfahrung
in Einklang zu bringen.
Soviel ist hinreichend, um einen Ueberblick über die quantitativen Verhältnisse der
Nutzleistung zum Arbeitsaufwand und über die Natur der Bewegung zu gewinnen, allein
ich werde, da es nicht ohne Interesse ist das Maaß des Gleitens auch kennen zu
lernen, dasselbe der Größe nach feststellen.
Als Maaß des Gleitens kann offenbar nichts anderes als die relative Geschwindigkeit
zweier Theilchen, welche in demselben Punkt der Berührungslinie liegen, angesehen
werden, und es kommt nur darauf an eine Gleichung aufzustellen, welche diese
relative Geschwindigkeit für jeden Punkt der Berührungslinie angibt.
Ruft man sich Fig.
2 in das Gedächtniß zurück und setzt ob = R',
o'b' + y = r, o'b' – y = r', w der
Winkelgeschwindigkeit der getriebenen und w' der der
treibenden Rolle gleich, so hat man zunächst
r = y + R
r' = t – y + R';
bezeichnet man ferner mit v die
Geschwindigkeit eines in der Figur mit y bezeichneten,
der Berührungslinie a'b und der getriebenen Rolle
angehörigen Punktes, und mit v' die Geschwindigkeit
desselben aber der anderen Rolle angehörigen Punktes, so hat man ferner die
Gleichung:
v = rw
und v' = r'w' . . . . . . (3)
und für die besonderen Werthe
R + ε
und R'' – ε;
für r und r' erhält man
(R + ε) w = (R''
– ε) w',
woraus man
w = w' (R'' – ε)/(R + ε)
wie im vorigen erhält.
Nach Substitution der Werthe von r und r', Elimination von w aus
den Gleichungen (3) und Subtraction derselben erhält man schließlich die gesuchte
relative Winkelgeschwindigkeit für irgend je zwei Punkte der Berührungslinien,
nämlich
V = w'D/(R + ε) (y – ε),
in welchem Ausdruck V für v – v' und D für R + R'' oder die Entfernung der Drehungsachsen beider Rollen
geschrieben ist.
Da jederzeit mit der Reibung fester Körper aneinander Abnutzung eintritt, so kann man
mit vollem Rechte die Abnutzung, welche in einem Punkte einer geriebenen Fläche
stattfindet, einer gewissen Function f der Reibung
φ, welche dieser Punkt zu erleiden hat, gleichsetzen.
Obgleich die Kenntniß dieser Function sowohl für die wissenschaftliche Behandlung der
Technik, als auch für die Praxis von so großer Wichtigkeit ist, so fehlt uns doch
dieselbe gänzlich und ich werde deßhalb, der Vollständigkeit halber, hier nur den
einfachsten Fall, in welchem
f (φ) = φ
ist, was auch nahezu mit der Wirklichkeit übereinstimmen wird,
behandeln.
Die an den Peripherien der Keilräder stattfindende Abnutzung F wird alsdann, da dieselbe außerdem dem relativen Weg, welchen je zwei
sich reibende Punkte zurücklegen, proportional seyn muß, durch folgende Gleichung
bestimmt werden:
Textabbildung Bd. 137, S. 9
in welcher a eine von der Natur
der reibenden Körper abhängende Constante, T die Zeit,
welche eine einmalige Umdrehung der treibenden Rolle erfordert und dt das Increment der Zeit bezeichnet. Diese
Gleichung mit der Beachtung, daß die Elemente des Integrals von 0 bis ε negativ, von ε bis t aber positiv sind und sich zum
Theil aufheben würden, wenn man denselben nicht gleiches Vorzeichen gibt, integrirt,
liefert folgendes Resultat:
Textabbildung Bd. 137, S. 9
differenzirt man diesen Ausdruck nach ε, um zu sehen
für welchen Fall derselbe ein Minimum wird, so erhält man für ε:
ε = – R + √(Rt + ½
t² + R²)
mithin denselben Werth, welchen ε annimmt, wenn die getriebene Rolle ganz frei geht.
Erwägt man, abgesehen davon, daß dieses besprochene Mittel zur Fortpflanzung von
Bewegungen nicht neu, sondern längst angewendet worden ist; daß dieses Mittel
unbrauchbar, wenn das Verhältniß der Winkelgeschwindigkeiten zweier Räder u.s.w.
constant seyn soll; erwägt man ferner den großen Arbeitsverlust, welcher durch die
Reibung an den Berührungsstellen, vermehrt durch die zur Erzeugung der letzteren
vergrößerte Zapfenreibung, hervorgebracht wird; daß ferner her Kraftaufwand der
treibenden Rolle, wegen der eintretenden vollständigen Gleitung, zwischen engen
Gränzen eingeschlossen ist; daß ferner die Zapfenlager der Räder wegen der starken
Abnutzung beständig verrückt und bald erneuert werden müssen, so ist es
unbegreiflich, wie Jemand an eine „allgemeine“ Anwendung dieser
Keilräder denken und dieselben der bisher gebräuchlichen Verzahnung, welche diese
Uebelstände theils gar nicht oder in höchst geringem Grade besitzt, vorziehen kann.
Zwar schlägt Minotto zur Verminderung der Zapfenreibung
Frictionsrollen anzubringen vor, allein dadurch wird dem Uebelstande, da sich
dieselben auch abnutzen, im günstigsten Falle außerordentlich wenig abgeholfen, der
ganze Mechanismus aber so complicirt, daß die bisher gebräuchliche Verzahnung,
ohnedieß durch die große Haltbarkeit Wohlseiler, noch um so viel mehr wohlfeiler
wird. Außerdem ist das Gießen oder Schneiden von Zahnrädern, wenn man im Besitz der
geeigneten Mittel ist, eine so einfache Sache, daß dieselben im Allgemeinen durch
nichts anderes zu ersetzen sind.
Tafeln
