| Titel: | Ueber Eisenbahncurven; von Dr. Adolph Poppe jun. |
| Autor: | Dr. Adolph Poppe [GND] |
| Fundstelle: | Band 90, Jahrgang 1843, Nr. LXXI., S. 321 |
| Download: | XML |
LXXI.
Ueber Eisenbahncurven; von Dr. Adolph Poppe
jun.
Mit Abbildungen auf Tab.
V.
Poppe, über Eisenbahncurven.
Wenn ein Wagenzug in einer Eisenbahnkrümmung rollt, so äußert er bekanntlich das
Bestreben, in tangentialer Richtung die Schienenleitung zu verlassen. Dieses
Bestreben, welches der Centrifugalkraft eines im Kreise um einen festen Punkt
geschwungenen Körpers vom Gewichte des Wagenzugs gleichkommt, wirkt sowohl auf die
Bahnschienen selbst, als auch auf die Räder und Achsen um so nachtheiliger, je
kleiner der Krümmungshalbmesser der Bahn und je größer die Geschwindigkeit des
Trains ist. Denn da der Train durch die Spurkränze der Räder verhindert wird, jenem
Bestreben, in der Tangente zu entweichen, nachzugeben, so üben die Spurkränze einen
Druk gegen die äußere Bahncurve aus. Dieser Druk hat eine bedeutende Reibung an den
Schienen, zugleich aber auch eine erhöhte Achsenreibung zur Folge. Da ferner die
Räder der Bahnwagen gewöhnlich paarweise auf einer gemeinschaftlichen Achse
festgekeilt sind, so ist in Bahncurven, da die Peripherien der Räder bei gleicher
Rotationsgeschwindigkeit ungleiche Wege zurükzulegen haben, die Bewegung
gewissermaßen eine schleifende, woraus unter Umständen eine bedeutende Erhöhung der
Reibung hervorgeht.
Außer diesen technischen Nachtheilen erscheint auch die Sicherheit des Transportes in
Eisenbahnkrümmungen mehr oder weniger gefährdet, indem man anzunehmen berechtigt
ist, daß in Curven von kleinem Halbmesser die Wagen bei großer Geschwindigkeit
leicht in Folge der Schwungkraft von den Schienen abspringen können. Häufig wird
indessen dem Einflusse der Fliehkraft in Eisenbahnkrümmungen auf die Sicherheit des
Transportes ein allzugroßes Gewicht beigelegt und ein großer Theil des Publicums
findet den Bestimmungsgrund großer Bahnhalbmesser weit weniger in der Schonung des
Materials, als in der Gefahr des Ablaufens der Wagen in Folge der Centrifugalkraft.
Um den Einfluß der Fliehkraft in Eisenbahncurven in seinen wesentlichsten Punkten
darzulegen und die Elemente zu erforschen, welche auf die Erhöhung, Verminderung
oder Vernichtung der bezeichneten Nachtheile Einfluß haben, soll sich vorliegende
Untersuchung mit der Behandlung folgender Fragen beschäftigen.
I. Wie groß ist der Verlust an mechanischer Arbeit,
welcher sich in Bahncurven aus dem Umstande ergibt, daß je zwei an einer Achse befestigte Räder in gleicher Zeit ungleiche
Wegstreken zurükzulegen haben?
II. Welchen Druk ertheilt die Centrifugalkraft in
Eisenbahnkrümmungen den Spurkränzen der Wagenräder gegen die äußere ahnschiene?
III. Wie groß ist der durch diesen Seitendruk erzeugte
Reibungswiderstand und Verlust an mechanischer Arbeit?
IV. Kann eine möglichst gesteigerte Geschwindigkeit das
Umstürzen der Wagen in einer Bahncurve in Folge der Centrifugalwirkung herbeiführen,
und welche Bedingungen müßten hinsichtlich der Geschwindigkeit, des
Krümmungshalbmessers und der Lage des Schwerpunktes stattfinden, wenn die Gefahr des
Umstürzens zu besorgen wäre?
V. Welches ist die Geschwindigkeit, unter der ein
Aufsteigen der Locomotivräder an einer Bahncurve unter der Voraussezung stattfinden
könnte, daß die Räder außer dem gewöhnlichen Reibungswiderstande kein directes
Hinderniß an der Krümmung finden?
VI. Wie läßt sich für eine gegebene Geschwindigkeit und
einen gegebenen Krümmungshalbmesser sowohl der Einfluß der Fliehkraft, als auch der
unter (I) angeführte Nachtheil beseitigen?
I. Wie groß
ist der Verlust an mechanischer Arbeit, welcher sich in Bahncurven aus dem
Umstande ergibt, daß je zwei an Einer Achse befestigte Räder in gleicher Zeit
ungleiche Wegstreken zurükzulegen haben?
Es stelle b e, c d, Fig. 1, ein Stük der von
dem Mittelpunkte a aus construirten Bahncurve vor, a f den mittleren Halbmesser der Curve und b c die Breite der Bahn. Das äußere Rad hat in derselben
Zeit den Bogen c d zurükzulegen, in welcher das innere
Rad auf dem Bogen b e rollt. Die Differenz c d — b e gibt also
die Streke an, durch welche wegen der starren Verbindung beider Räder das äußere Rad
in derselben Zeit als schleifend anzusehen ist, in welcher das innere Rad auf dem
Bogen b e rollt. Es bezeichne v die Geschwingkeit des
inneren, v′ die des äußeren Rades, R den
mittleren Halbmesser der Bahncurve und b die Spurweite
der Bahn. Beide Geschwindigkeiten verhalten sich offenbar, wie die in gleichen Zeiten beschriebenen
Bögen, mithin auch wie die den lezteren zugehörigen Krümmungshalbmesser; daher:
v′ : v = R + b/2 : R - b/2 oder
v′—v : v = R + b/2 - (R - b/2):R - b/2 mithin
Textabbildung Bd. 090, S. 323
Dieß ist der Geschwindigkeitsunterschied beider Räder. Der Erfolg ist nun so zu
betrachten, als ob das äußere Rad mit der Geschwindigkeit v′—v, ohne
sich zu drehen, auf der äußeren Schiene schleife. Bezeichnet man das Gewicht der
bewegten Masse mit Q und den Reibungscoefficienten mit
f, so ist der absolute Reibungswiderstand an der
äußeren Bahnschiene unter Voraussezung schleifender Bewegung f. Q/2.
Dieser Widerstand bewegt sich mit der Geschwindigkeit
v′—v daher ist das Reibungsmoment
f . Q/2
(v′—v)
oder wenn man für v′—v den oben gefundenen Werth
substituirt:
Textabbildung Bd. 090, S. 323
und der Verlust an mechanischer Arbeit, in Pferdekräften
ausgedrükt =
Textabbildung Bd. 090, S. 323
Dieser Ausdruk zeigt, daß der Verlust an mechanischer Arbeit um so bedeutender wird,
je größer die Last, die Geschwindigkeit und die Spurweite der Bahn ist, und um so
geringer, je größer der Bahnhalbmesser. Würde sich z. B. ein 232300 Pfd. schwerer
Wagenzug mit 25′ Geschwindigkeit durch eine Bahncurve von 3000′
Halbmesser bewegen, so wäre bei der gewöhnlichen Spurweite von 4,7′ der durch
das erwähnte Schleifen herbeigeführte Arbeitsverlust, den Reibungscoefficienten =
0,13 gesezt,
Textabbildung Bd. 090, S. 323 Pferdekraft;
bei 500′ Bahnhalbmesser würde sich dieser
Arbeitsverlust auf 6 Pferdekräfte herausstellen.
II. Welchen
Druk ertheilt die Centrifugalkraft in Eisenbahnkrümmungen den Spurkränzen der
Wagenräder gegen die äußere Bahnschiene?
Zur Beantwortung dieser Frage ist es vorerst nöthig, den Werth der Fliehkraft eines
in einer Bahncurve sich bewegenden Wagens oder Trains im Allgemeinen zu ermitteln
und denselben dann auf die Berührungsstellen der Spurkränze mit der Bahn zu
reduciren. Es sey g h, Fig. 2, ein Theil des
äußeren, g′ h′
ein Theil des inneren Schienenstranges; c der Schwerpunkt des Wagens, dessen Projection in die Mitte
der Wagenbreite und sehr nahe auch in die Mitte der Bahnbreite fällt; m a der Halbmesser des von der Projection des
Schwerpunktes, oder wie man ohne merkbaren Fehler annehmen darf, von dem
Schwerpunkte c selbst beschriebenen Kreises. Dieser
Halbmesser ist um den mittleren Abstand b k der Sehne
f d von der äußeren Bahncurve kleiner als der
mittlere Halbmesser der Bahn, und darf wegen dieses äußerst geringen Unterschiedes
dem lezteren gleichgesezt werden. Schwerpunkt und Mittelpunkt des Schwunges sind
unter den in Rede stehenden Umständen als coincidirend anzusehen. f und d seyen die
Berührungsstellen der Spurkränze beider Wagenräder mit der äußeren Bahncurve; die
Sehne f d bezeichne ihre Entfernung.
Für die in Rechnung kommenden Größen wähle ich folgende Bezeichnung.
P die Fliehkraft oder Centrifugalkraft;
Q das Gewicht des Wagens oder der bewegten Masse;
R = m a der Halbmesser der
Krümmung oder auch des von der Projection des Schwerpunktes c beschriebenen Kreises;
s = c a die Höhe des
Schwerpunktes über der Bahn;
b die Spurweite der Bahn;
v die Geschwindigkeit der bewegten Masse;
g = 15,6 rheinl. Fuß der bekannte Fallraum eines frei
fallenden Körpers in der ersten Secunde.Dieser, so wie allen folgenden Berechnungen ist preußisches Maaß zu Grunde
gelegt.
Der Werth für die im Schwerpunkte c angreifende und in
der Richtung c p wirkende Fliehkraft ist bekannten
mechanischen Gesezen zufolge:
Textabbildung Bd. 090, S. 324
Denkt man sich von dem Schwerpunkte aus nach den Berührungspunkten d und f die Linien c d und c f gezogen, so
entsteht dadurch ein gleichschenkliges Dreiek f c d.
Lezteres gilt bei den gewöhnlichen Transportwagen und bei den vierräderigen
Locomotiven, bei denen wegen der gleichmäßigen Vertheilung der Last auf beide Achsen
die Richtungslinie des Schwerpunktes durch die Mitte des durch die vier
Berührungspunkte der Räder gelegt gedachten Rechteks geht. Um nun den aus der
Fliehkraft P in den Punkten d und f resultirenden Horizontaldruk der Räder
gegen die Bahnschienen aufzufinden, zerlege man die Fliehkraft zunächst in zwei
Seitenkräfte, von denen die eine P′ nach der aus
c auf die Mitte der Sehne f
d gezogenen Linie c b abwärts gerichtet ist,
die andere in der Richtung c t liegend, auf der Ebene
f c d senkrecht steht und den Wagen um die
Berührungpunkte d und f zu
drehen strebt. Die nach c b abwärts strebende
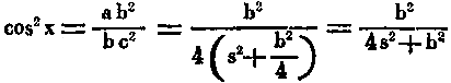
Seitenkraft ist, wenn man den Winkel p c b = c b a mit x bezeichnet:
II.) P′ = P . cos x.
Diese Kraft denke man sich nun in b angreifend und
abermals in zwei Seitenkräfte zerlegt, nämlich in eine horizontale nach der Richtung
m k des Bahnhalbmessers und in eine verticale nach
der Richtung b q. Die leztere hat auf den Seitendruk
gegen die Schienen keinen Einfluß, der Werth der ersteren dagegen ist
P″=P′ . cos x = P
cos2x.
Dieß ist die horizontale Wirkung der Centrifugalkraft auf den Punkt b reducirt. Substituirt man für P den Werth aus (I), so ergibt sich
Textabbildung Bd. 090, S. 325
und wegen Textabbildung Bd. 090, S. 325
Textabbildung Bd. 090, S. 325
Diese Wirkung vertheilt sich unter der Voraussezung, daß die ganze Last auf die
Vorder- und Hinterräder gleich vertheilt ist, gleichmäßig auf die Punkte d und f und zwar in
Richtungen d n und f w
parallel zu m r. Somit ist der Centrifugaldruk eines
Wagenrades, so wie derjenige des Rades einer vierräderigen Locomotive, deren Gewicht
auf beide Achsen gleich vertheilt ist, an der Berührungsstelle d
Textabbildung Bd. 090, S. 325
Dieser zu m r parallele Druk gegen die äußere Bahnschiene
ist von dem in der Richtung des Krümmungshalbmessers m d
wirkenden Normaldruke äußerst wenig verschieden, indem die Abweichung o d n selbst bei Bahnen von scharfer Krümmung noch sehr
gering ausfällt. Bei einem Bahnhalbmesser von 500′ und einer Entfernung
beider Berührungsstellen f, d von 10′ würde z. B.
diese Abweichung nur 34⅓ Minuten, bei einem Bahnhalbmesser von 1000′
nur 17 1/6 Minuten und bei einem Halbmesser von 3000′ nur 5⅔ Minuten
betragen; die Centrifugalwirkung P′″, auf
den Normaldruk gegen die Bahnschiene reducirt, würde bei einem Bahnhalbmesser von
1000′ den Werth 19999/20000 P′″
annehmen, welcher von dem Resultate (IV) nur um 1/20000
verschieden wäre, und selbst für einen Krümmungshalbmesser von 100′, wenn ein
solcher zulässig wäre, würde die normale Wirkung nur um 1/666 von der Wirkung (IV) abweichen. Man darf daher das Resultat (IV) ohne merkbaren Fehler als Normaldruk betrachten.
Dieser Druk nimmt, wie sich aus der Betrachtung der Formel (IV) unmittelbar ergibt, im quadratischen
Verhältnisse mit der Erhöhung der Geschwindigkeit und im einfachen Verhältnisse
mit der Verminderung des Bahnhalbmessers zu. Auch die Lage des
Schwerpunktes hat Einfluß auf denselben; je tiefer nämlich der Schwerpunkt liegt, d.
h. je kleiner s, desto größer ist der Seitendruk gegen
die Schiene.
Bei sechsräderigen Locomotiven gewöhnlicher Construction
gestaltet sich dieser Druk anders als bei vierräderigen,
indem bei ersteren der größere Theil der Last auf den Vorderrädern ruht, so zwar,
daß das Uebergewicht der Vorderachse gegen die Hinterachse nach Pambour ungefähr 2 Tonnen = 4480 Pfd. beträgt. Demzufolge
fällt bei sechsräderigen Locomotiven der Schwerpunkt der Masse näher gegen die
Vorderräder, als gegen die Hinterräder. In dem umgekehrten Verhältnisse dieser
Abstände vertheilt sich der Centrifugaldruk (III) auf
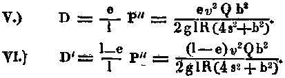
die Berührungsstellen beider Räder. Bezeichnet man den Achsenabstand beider Räder
sowohl vier- als sechsräderiger Locomotive im Allgemeinen mit l, die Entfernung der Richtungslinie des Schwerpunktes
von der Hinterachse mit e, den Centrifugaldruk des
Vorderrades gegen die Schiene mit D, denjenigen des
Hinterrades mit D′ und den Gesammtdruk, wie oben,
mit P″, so ist
Textabbildung Bd. 090, S. 326
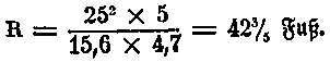
Nach Mamby liegt der Schwerpunkt einer sechsräderigen
Locomotive 60 Centimeter bis 1 Meter oder im Mittel 2,2 preuß. Fuß vor der
Kurbelachse. Da nun die leztere in der Mitte zwischen den 10′ von einander
abstehenden Achsen der Vorder- und Hinterräder liegt, so beträgt der Abstand
der hinteren Radachse von der Richtungslinie des Schwerpunktes 7,2′, der
Abstand der vorderen Radachse dagegen nur 2,8′, wonach e/l = 0,72 und l—e/l =
0,28 wird, so daß von dem Gesammtdruke (III) 0,72 auf
die Vorderräder und 0,28 auf die Hinterräder kommen. Diesem
nach wäre der Seitendruk des Spurkranzes an der Vorderachse einer sechsräderigen
Locomotive mehr als 2½mal so groß, wie der an
der Hinterachse. Substituirt man den numerischen Werth für e/l in (V), so kommt nach gehöriger Reduction:
Textabbildung Bd. 090, S. 327
Vergleicht man diesen Centrifugaldruk des Vorderrades einer sechsräderigen mit dem
Centrifugaldruke P′″ (III) des Vorderrades
einer vierräderigen Locomotive, und nimmt das Gewicht einer sechsräderigen nach Pambour zu 14327, dasjenige einer vierräderigen zu 9000
Kilogrammen an, so verhält sich
D : P′″ = 14000/43,3 : 9000/62,4 = 69,3 : 30,9
Daher ist unter gleichen übrigen Umständen in
Eisenbahnkrümmungen der Centrifugaldruk des Vorderrades einer sechsräderigen
Locomotive gewöhnlicher Construction mehr als doppelt so groß, wie der
Centrifugaldruk des Vorderrades einer vierräderigen Locomotive.
Um nun den effectiven Druk, welchen eine vierräderige und eine sechsräderige
Locomotive von gewöhnlichen Dimensionen und mittlerem Gewichte bei gegebener
Geschwindigkeit an einer ihrer Berührungsstellen mit der äußeren Bahncurve ausüben,
bestimmen zu können, muß auch die Höhe des Schwerpunktes der bewegten Massen über
der Ebene der Bahn bekannt seyn. Diese ist bis jezt noch durch keinen directen
Versuch ermittelt worden, obgleich ein solcher wohl mit so großen Schwierigkeiten
nicht verknüpft wäre, wie manche annehmen. Die Lage des Schwerpunktes einer
Locomotive kann man sich am einfachsten durch den Abstand von drei senkrecht zu
einander stehenden Ebenen, nämlich einer Horizontal- und zweier
Verticalebenen bestimmt denken, wovon die erstere die Ebene der Bahn selbst ist, die
zweite senkrecht zur Richtung der Bahn durch die Achse der Vorder- oder
Hinterräder, die dritte durch die Mitte der einen Schienenleitung parallel zur Bahn
gelegt ist. Der Abstand des Schwerpunktes von der lezteren Ebene ist wegen der
symmetrischen Anordnung der Maschinentheile unbedingt der halben Bahnbreite gleich
zu sezen und der Abstand der andern Verticalebene kommt bei Untersuchung der Höhe
des Schwerpunktes über der Bahn nicht in Betracht. Um nun diese Höhe praktisch zu
ermitteln, stelle man die Locomotive auf eine horizontale, um eine Horizontalachse
drehbare Plattform, deren Gewicht vorher durch ein Gegengewicht äquilibrirt worden
ist, befestige sie daran und drehe die Plattform vorsichtig um ihre Achse, bis das
Uebergewicht der Locomotive verschwindet. Wenn man einen Körper um eine seiner
Kanten so weit dreht, bis er die Gleichgewichtslage erreicht hat, so geht
bekanntlich die Richtungslinie des Schwerpunktes durch diese Kante. Dieser Fall
findet hier statt. Aus dem Drehungswinkel und dem vorher gemessenen Abstande des
Schwerpunktes von der Drehungsachse der Plattform ließe sich alsdann leicht die Höhe
des Schwerpunktes über der Bahnfläche trigonometrisch berechnen. Es bezeichne r den Abstand des Schwerpunktes von der Drehungsachse,
x den Drehungswinkel, so findet man die Höhe des
Schwerpunktes über der Bahn: s = r . tg . x. Gienge
die Drehungsachse durch die Berührungsstellen zweier hinter einander liegender
Locomotivräder mit der Bahn oder der Plattform, so würde man s = ½b . tg
. x erhalten, wenn b die
Bahnbreite bezeichnet.
Da indessen ein solcher Versuch bis jezt noch nicht angestellt worden zu seyn
scheint, so kann die Höhe des Schwerpunktes der Locomotive vorläufig nur
annäherungsweise durch Schäzung bestimmt werden. Nach aller Wahrscheinlichkeit liegt
derselbe 4 bis 5 Fuß über der Bahn. Als mittlere, für den Personenverkehr sich
eignende Geschwindigkeit wird in Deutschland gewöhnlich diejenige angenommen, wobei
der Wagenzug in einer Stunde 4 Meilen zurüklegt, was einer Geschwindigkeit von 26
Fuß in 1 Secunde entspricht. In England soll die mittlere Geschwindigkeit 24 engl.
Meilen in der Stunde oder 34 rheinl. Fuß in einer Secunde betragen. Der Halbmesser
der Bahnkrümmung oder des Schwerpunktes der bewegten Masse sey 1000 Fuß und die bei
den meisten Eisenbahnen eingeführte Spurweite von 4 Fuß 8½ Zoll = 4,7 Fuß sey
dem zu berechnenden Beispiele, so wie überhaupt allen in dieser Abhandlung
vorkommenden Berechnungen zu Grunde gelegt. Wenn man nun
Q = 9000 Kilogr. für die vierräderige Locomotive,
Q = 14000 Kilogr. für die sechsräderige Locomotive,
R = 1000 Fuß,
b = 4,7 Fuß,
s = 5 Fuß,
v = 25 Fuß in der Secunde,
g = 15,6 Fuß
sezt, so wird durch Substituirung dieser Werthe in die Formel
(IV) der Druk, welchen die äußere Bahnschiene von
dem Vorderrade der vierräderigen Locomotive an einer
Berührungsstelle erfährt, Textabbildung Bd. 090, S. 329 mithin an beiden Berührungsstellen zusammen 69,4 Pfd. Und aus dem oben
aufgefundenen Verhältnisse D:P′″=69,3:30,9 findet man den Druk des Vorderrades einer
sechsräderigen Locomotive
D = 36,5 Kilogr. = 77,7 Pfd.
Würbe die Höhe des Schwerpunktes über der Bahn anstatt 5 Fuß nur 4 Fuß betragen, so
würde dadurch der Centrifugaldruk des Vorderrades gegen die Bahnschienen erhöht
werden bei vierräderigen Locomotiven auf:
Textabbildung Bd. 090, S. 329
und bei sechsräderigen Locomotiven
auf:
D = 51,8 Kilogr.= 110,3 Pfd.
III. Wie
groß ist der durch den Centrifugaldruk in Eisenbahnkrümmungen erzeugte
Reibungswiderstand und Verlust an mechanischer Arbeit?
Um die Größe des durch den Druk der Spurkränze gegen die äußere Bahncurve erzeugten
Reibungswiderstandes zu ermitteln, muß dieser Druk mit dem Reibungscoefficienten,
den wir für Schmiedeisen auf Schmiedeisen nach Morin zu
0,13 annehmen, multiplicirt werden. In Erwägung, daß der Reibungswiderstand dem ihn
erzeugenden Druke proportional ist, dieser aber mit dem Quadrate der Geschwindigkeit
zunimmt, gelangen wir zu dem Schlusse: der durch die Reibung
der Spurkränze an den Bahnschienen erzeugte Widerstand wächst in Eisenbahncurven
mit dem Quadrate der Geschwindigkeit.
Der Reibungswiderstand mit der Geschwindigkeit multiplicirt und durch 510 dividirt,
gibt die Größe der verlorenen Arbeit, d. h. der Arbeit, welche zur Ueberwältigung
der Reibung verwendet wird, in Pferdekräften an. Demnach ist in Pferdekräften
ausgedrükt:
Textabbildung Bd. 090, S. 329
Hieraus entspringt die wichtige Folgerung: der durch die
Reibung der Spurkränze an den äußeren Schienen erzeugte Verlust an mechanischer
Arbeit wächst in Eisenbahncurven mit dem Würfel der Geschwindigkeit; seine
Zunahme steht ferner mit der Verminderung des Bahnhalbmessers im einfachen
umgekehrten Verhältnisse.
Die doppelte Geschwindigkeit würde somit den achtfachen Kraftverlust nach sich
ziehen.
Sezen wir das Gewicht Q eines Wagenzugs mit Locomotive
und Tender = 2000 Cntr., so gestaltet sich unter den oben angenommenen Verhältnissen
der Gesammt-Centrifugaldruk gegen die Schienen
Textabbildung Bd. 090, S. 330
und der Verlust an Arbeit Textabbildung Bd. 090, S. 330 Pferdekräfte.
Nimmt man die Höhe des Schwerpunktes über der Bahn zu 4′ anstatt zu 5′
an, so wird dadurch der Gesammtdruk gegen die äußere Bahncurve auf 1028 Pfd. und der
Arbeitsverlust auf 6,5 Pferdekräfte erhöht. Aus diesem praktischen Beispiele läßt
sich der Einfluß, welchen die Lage des Schwerpunktes auf den Effect in
Eisenbahnkrümmungen hat, deutlich erkennen, indem unter vorliegenden Verhältnissen
die durch die Reibung aufgezehrte Arbeit bei Tieferlegung des Schwerpunktes von
5′ auf 4′ von 4,6 auf 6,5 Pferdekräfte gesteigert wird.
Folgende Tabelle enthält die Berechnung des Centrifugaldrukes eines 2000 Cntr.
wiegenden Wagenzuges gegen die äußeren Bahnschienen, der aus diesem Druke
resultirenden Reibung und der Größe des Arbeitsverlustes bei Eisenbahnkrümmungen von
250 bis 4000 Fuß Halbmesser. Dabei ist eine mittlere Geschwindigkeit von 25′
oder 4 Meilen in der Stunde angenommen. s bezeichnet die
mittlere Höhe des Schwerpunktes der bewegten Massen über der Ebene der Bahn. In der
Tabelle sind zwei verschiedene Lagen des Schwerpunktes, nämlich s = 4′ und s =
5′ berüksichtigt.
Textabbildung Bd. 090, S. 331
Gewicht des Wagenzugs = 2000 Cntr.;
Geschwindigkeit = 25′ in 1 Sec.; Bahnhalbmesser.; Gesammtdruk der
Spurkraͤnze gegen die Bahnschienen in Pfunden; Reibungswiderstand in
Pfunden.; Arbeitsverlust in Pferdekraͤften.; s=5′; s=4′; s=5′; s=4′; s=5′; s=4′; Fuß
Dieser Arbeitsverlust wird in der Wirklichkeit noch groͤßer ausfallen,
indem die an den Stoßfugen je zweier Schienen bemerkbaren Stoͤße, die
in obiger Tabelle nicht beruͤksichtigt wurden, sich zu einem
Widerstande summiren, welcher den Arbeitsverlust ohne Zweifel merkbar
erhoͤht.
IV. Kann
eine möglichst gesteigerte Geschwindigkeit das Umstürzen der Wagen in einer
Bahncurve in Folge der Centrifugalwirkung herbeiführen, und welchen Halbmesser
müßte die Krümmung haben, wenn die Gefahr des Umstürzens bei einer gegebenen
Geschwindigkeit zu besorgen wäre?
Betrachten wir wie bisher die in Eisenbahnkrümmungen thätige Fliehkraft als eine im
Schwerpunkte des Wagens angreifende Kraft, so lassen sich die Verhältnisse, unter
welchen ein Umstürzen desselben erfolgen kann, aus einfachen Gesezen der
Hebelwirkung herleiten. Der Schwerpunkt c, Fig. 2, in
welchem die Centrifugalkraft nach der Richtung c p
angreift, bildet nämlich das Ende eines Hebels, dessen Stüzpunkt an den
Berührungsstellen d und f
der Spurkränze mit der äußeren Bahnschiene liegt. Um diese Punkte d und f strebt die
Fliehkraft den Wagen zu drehen. Die Last widersteht diesem Zuge den Gesezen der
Schwere gemäß in der Richtung c a. Die Gränze der
Stabilität der Masse ist erreicht, wenn die auf die Stüzpunkte d und f bezogenen statischen
Momente der Fliehkraft und des Wagengewichtes einander gleich geworden sind, d. h. wenn
unter Beibehaltung der früheren Bezeichnungen
P . ac = Q . ab oder
Textabbildung Bd. 090, S. 332
oder
Textabbildung Bd. 090, S. 332
Hieraus ergibt sich, wenn der Bahnhalbmesser gegeben ist, die zum Umwerfen eines
Wagens in Folge der Fliehkraftäußerung nöthige Geschwindigkeit:
Textabbildung Bd. 090, S. 332
Den Halbmesser, welchen die Bahncurve voraussezt, wenn bei gegebener Geschwindigkeit
ein Umstürzen des Wagens erfolgen soll, findet man aus der Gleichung (I):
Textabbildung Bd. 090, S. 332
und die Höhe, in welcher der Schwerpunkt eines Wagens über der
Bahn liegen müßte, wenn bei gegebener Geschwindigkeit und gegebenem Bahnhalbmesser
dieses Umstürzen stattfinden sollte, aus derselben Gleichung (I):
Textabbildung Bd. 090, S. 332
Mit welcher Geschwindigkeit müßte demnach unter Beibehaltung des Werthes der
constanten Größe b (Bahnbreite) und s (Höhe des Schwerpunktes = 5′) eine mit
500′ Halbmesser construirte Bahncurve befahren werden, wenn ein Umstürzen der
Wagen in Folge der Schwungkraftäußerung zu besorgen wäre?
Antwort: Textabbildung Bd. 090, S. 332
in 1 Stunde; eine selbst auf gerader horizontaler Bahn
unerreichbare Geschwindigkeit. Bei Eisenbahnkrümmungen von dem gewöhnlichen
Halbmesser von 3332 Fuß wäre die zum Umwerfen erforderliche Geschwindigkeit
209′ in der Secunde. Fragt man, welchen Halbmesser die Bahnkrümmung haben
müßte, wenn ein mit der mittleren Geschwindigkeit von 25′ in der Secunde auf
derselben fahrender Wagen umwerfen sollte, so ergibt sich aus (III)
Textabbildung Bd. 090, S. 332
Wie hoch müßte bei einer Geschwindigkeit von 30′ (4½ Meilen in der
Stunde) und einem Bahnhalbmesser von 500′ der Schwerpunkt des Wagens liegen, wenn er in
Folge der Schwungkraft umstürzen sollte?
Antwort: Textabbildung Bd. 090, S. 333
Aus diesen einfachen Beispielen geht deutlich hervor, daß ein Umwerfen selbst in
scharfen Eisenbahnkrümmungen in Folge überhandnehmender Schwungkraft im Bereiche der
Unmöglichkeit liegt.
V. Welches
ist die Geschwindigkeit, bei der ein Aufsteigen der Locomotivräder an einer
Bahncurve unter der Voraussezung stattfinden kann, daß die Räder kein directes
Hinderniß an der Krümmung finden?
Würden die Eisenbahnschienen eine vollkommen gleichförmige, durch keine
hervorragenden Unebenheiten oder Hindernisse und durch keine Zwischenräume
unterbrochene Reibungsfläche darbieten, so wäre auf gerader Bahn ein Austreiben der
Locomotive aus den Schienen höchstens in Folge des Bruches eines Maschinentheiles
möglich, und selbst die schärfsten Krümmungen könnten mit der größten
Geschwindigkeit ohne alle Gefahr durchlaufen werden, indem diejenige
Geschwindigkeit, in deren Folge der Einfluß der Fliehkraft die Wagen aus dem Geleise
treiben würde, wie unten gezeigt werden soll, praktisch unerreichbar wäre. Solche
günstigen Verhältnisse finden nun aber bekanntermaßen nicht statt. Schon der
zwischen zwei zusammenstoßenden Schienen wegen der Ausdehnung des Metalles durch die
Wärme notheendige Zwischenraum veranlaßt, so klein er auch ist, einen merkbaren
Stoß, welcher in Bahncurven die Tendenz des Trains, die Schienenleitung zu
verlassen, erhöht. Hiezu kommt noch die unvollkommene Coincidenz der Schienenkanten
an manchen Fugen, welche das Austreten der Wagen selbst auf gerader Bahn veranlassen
kann. Daher läßt sich unter solchen Umständen der Moment oder die Bedingung des
Austretens aus einer Bahncurve keineswegs theoretisch ermitteln. Gehen wir nun von
der Annahme aus, die äußere Bahncurve bilde eine ununterbrochen fortlaufende
Eisenschiene, mit welcher die Spurkränze der Räder in reibender Berührung stehen,
und denken wir uns alle zufälligen Hervorragungen und Hindernisse hinweg, so hängt
das Ablaufen des Wagens aus der Bahn offenbar nur noch von der Geschwindigkeit und
dem mit dieser Geschwindigkeit veränderlichen Reibungswiderstande ab, und die
Ermittelung der zur Erhebung der Locomotive über die Bahnschiene erforderlichen
Geschwindigkeit ist
unter dieser Voraussezung möglich. Wenn nun auch das auf solche imaginären
Verhältnisse gegründete theoretische Resultat mit der Wirklichkeit und Erfahrung
nicht übereinstimmen kann, so hat es doch insofern einen relativen Werth, als es die
von jenen Unterbrechungen und zufälligen Unebenheiten der Schienenleitung
unabhängigen Bedingungen erkennen läßt, welche auf die Erhöhung oder Verminderung
der Gefahr Einfluß haben.
Gehen wir also von der so eben bezeichneten Annahme aus, so kann eine Ersteigung der
Schiene nur in dem Momente stattfinden, wo der durch den Centrifugaldruk der
Spurkränze gegen die Schiene erzeugte Reibungswiderstand dem Bestreben der Last, an
der Ersteigungsstelle zurükzusinken, das Gleichgewicht hält. Da die Reibung dem
Druke proportional ist, dieser aber mit dem Quadrate der Geschwindigkeit zunimmt, so
kann man sich die Geschwindigkeit so gesteigert denken, daß der Reibungswiderstand
einen Werth erreicht, wobei jener Moment eintreten muß.
Wir wollen nun zuerst den Widerstand ermitteln, welchen die Last der Erhebung des
Spurkranzes über die Schiene entgegensezt. Es bezeichne x
y, Fig.
3, die Oberfläche der äußeren Bahnschiene, der dieselbe tangirende Kreis
das Rad, etwa das Vorderrad einer Locomotive und der mit diesem Kreise concentrische
Kreis den Berührungskreis des Spurkranzes mit der Bahnschiene; man bezeichne ferner
die Höhe f g dieses Berührungskreises mit h und den Halbmesser f d des
Rades mit r. Die Ersteigung der Schiene findet im Punkte
a statt. Legt man an diesem Punkte eine Tangente an
die Radperipherie, so bildet a b c eine schiefe Ebene.
Die Kraft K, welche das Rad über die schiefe Ebene zu
erheben strebt, wirkt parallel zur Basis derselben in der Richtung d m. Die zu hebende Last ist dem halben Gewichte des
Wagens gleich, weil derselbe im Momente des Aufsteigens mit seinen andern Rädern auf
der inneren Schiene bleibt. Wir finden demnach die zur Erhebung des Spurkranzes auf
die Bahnschiene erforderliche Kraft, oder den Widerstand, den die Last dieser
Ersteigung entgegensezt, durch die Proportion
K : Q/2 =
h : bc = fa : fd oder
Textabbildung Bd. 090, S. 334
woraus
Textabbildung Bd. 090, S. 334
Der Centrifugaldruk des Vorderrades einer Locomotive ist nach (V) des ersten Abschnittes durch Textabbildung Bd. 090, S. 335 ausgedrükt, wobei l den Abstand der vorderen
von der hinteren Achse und e die Entfernung der
Richtungslinie des Schwerpunktes von der Hinterachse bezeichnet; mithin der
Reibungswiderstand an der Berührungsstelle des Spurkranzes mit der Schiene
Textabbildung Bd. 090, S. 335
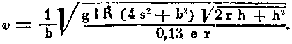
Soll nun eine Erhebung über die Bahnschiene erfolgen, so muß F = K seyn, d. h.
Textabbildung Bd. 090, S. 335
Die Auflösung dieser Gleichung nach v gibt die Geschwindigkeit, bei welcher unter den
obigen Voraussezungen ein Aufsteigen der Locomotive an der Schiene erfolgen
würde
Textabbildung Bd. 090, S. 335
Ein Blik auf diese Formel gibt zu erkennen, daß die das Austreten des Dampfwagens
unter vorliegenden Verhältnissen bedingende Geschwindigkeit um so größer, die Gefahr
also um so geringer wird, je größer der Bahnhalbmesser R, je größer h oder die Höhe des Spurkranzes ist,
und je höher man den Schwerpunkt, ohne den Durchmesser der Räder zu verändern, legt;
daß dagegen die bedingende Geschwindigkeit um so kleiner, die Gefahr also um so
größer wird, je größer der Halbmesser r und je größer
e ist, d. h. je näher der Schwerpunkt nach der
Vorderachse hin fällt. In lezterer Hinsicht sind die Chancen der Gefahr bei
vierräderigen Locomotiven etwas geringer als bei sechsräderigen, und zwar im
Verhältniß von √50 : √72, denn die zum Austreten aus der Bahn unter
obigen Bedingungen erforderlichen Geschwindigkeiten verhalten sich caeteris paribus beziehungsweise wie Textabbildung Bd. 090, S. 335 oder mit Bezug auf beide Locomotivgattungen wie Textabbildung Bd. 090, S. 335 Da sich diese Geschwindigkeiten nach der obigen Formel wie die
Quadratwurzeln aus den Krümmungshalbmessern verhalten, so läßt sich schließen, daß
z. B. eine Krümmung von 3600′ Halbmesser mit einerlei Geschwindigkeit doppelt
so sicher, als eine Krümmung von 900′ Halbmesser befahren werden kann, daß
überhaupt die Sicherheit des Transportes in Eisenbahncurven rüksichtlich des
Austreibens aus der
Bahn in dem Verhältniß der Quadratwurzel aus dem Bahnhalbmesser zunimmt. Sezt man
den Halbmesser der Vorderräder einer Locomotive = 2′, die Höhe h des Spurkranzes = 2 Zoll oder 1/6 Fuß, den
Bahnhalbmesser = 500′ und nimmt die Höhe s des
Schwerpunktes über der Bahn zu 5′ an, so findet man durch Substituirung
dieser Werthe in die lezte Formel für eine sechsräderige Locomotive
v = 462 4/5 Fuß
und für eine vierräderige
v = 553¾ Fuß
zum Zeichen, daß unter Voraussezung einer gleichförmigen
ununterbrochenen Reibungsfläche ein Austreiben der Wagen aus den Schienengeleisen
auch in Krümmungen von kleinen Halbmessern nie stattfinden konnte.
VI. Wie läßt
sich für eine gegebene Geschwindigkeit und einen gegebenen Krümmungshalbmesser
sowohl der Einfluß der Fliehkraft, als auch der unter (I) angeführte Nachtheil
beseitigen?
Ein einfaches Mittel, um der Centrifugalkraft in Eisenbahncurven entgegenzuwirken,
besteht bekanntlich darin, daß man die äußere Bahnschiene höher legt als die innere,
und zwar um so viel, daß die nunmehr in Thätigkeit kommende Schwerkraft, welche der
Last ein Bestreben gegen den Mittelpunkt der Krümmung hin gibt, die Centrifugalkraft
gerade aufwiegt, oder was dasselbe ist, daß die Resultante aus der
Centrifugalwirkung und der Schwerkraft auf der durch die Schienenoberflächen gelegt
gedachten schiefen Ebene senkrecht steht.
Um die Größe der Erhöhung der äußeren Bahnschiene, welche offenbar von der
Geschwindigkeit und dem Halbmesser der Krümmung abhängt, zu ermitteln, nehme man
Fig. 4 zu
Hülfe, die den Querschnitt der Eisenbahn in einer Curve vorstellen möge; c sey die äußere, a die
innere Bahnschiene. Denkt man sich von c aus quer über
die Bahn nach a eine gerade Linie a c, dann eine Senkrechte b c gezogen und auf
diese von a aus das Perpendikel a
b gefällt, so ist b c die Erhöhung der äußeren
Bahnschiene über die innere. Man kann nun den auf den Schienen a und c ruhenden Wagen als
eine Last betrachten, die auf der schiefen Ebene a b c
liegt, und ein gewisses Bestreben, gegen den Mittelpunkt der Curve hin herabzusinken
äußert, dessen Werth nach den bekannten Gesezen der schiefen Ebene zu berechnen ist.
Dieses Bestreben soll der in der Richtung des Halbmessers parallel zu a b
thätigen Centrifugalkraft entgegenwirken und dieselbe gleichsam neutralisiren.
Demnach muß die Centrifugalkraft derjenigen parallel zur Basis wirkenden Kraft
gleich seyn, welche die Last auf der schiefen Ebene im Gleichgewichte hält.
Bezeichnen wir diese Kraft mit P, das Gewicht der
bewegten Masse mit Q, die Spurweite der Bahn wie bisher
mit b, die gesuchte Erhöhung b
c der äußeren Bahnschiene mit x und den
Neigungswinkel c a b der schiefen Ebene mit α, so
ist zunächst
I. P =
Q
tg. α
und wenn man für tg. α den
Werth Textabbildung Bd. 090, S. 337 einführt:
Textabbildung Bd. 090, S. 337
Nun vertritt aber die Centrifugalkraft die Stelle der Kraft
P, daher
Textabbildung Bd. 090, S. 337
Diese Gleichung nach x aufgelöst, liefert:
Textabbildung Bd. 090, S. 337
als Werth der äußeren Bahnerhöhung. Nach dieser Formel findet
man, daß z. B. für einen Krümmungshalbmesser von 500′ und eine
Geschwindigkeit von 26′ (4 Meilen in der Stunde) die Erhöhung der äußeren
Bahnschiene 3,8 Zoll betragen müßte, um den Einfluß der Fliehkraft aufzuheben. Geht
man, wie de Pambour und andere Techniker, von der Annahme
aus, die Centrifugalkraft wirke in der Richtung der Länge, anstatt parallel zur
Basis der geneigten Ebene — ein Fehler von kaum bemerbarem Einfluß —
so erhält man statt der Formel (IV) einen einfacheren
Ausdruk. Es ergibt sich nämlich, da die Gleichung (I)
nun in P = Q. sin α übergeht, anstatt der Gleichung (III) die einfachere
Textabbildung Bd. 090, S. 337
woraus
Textabbildung Bd. 090, S. 337
Soll indessen der Gleichgewichtszustand zwischen Schwungkraft und Schwerkraft, um
daraus den in Rede stehenden Höhenunterschied beider Bahnschienen herzuleiten, mit
größerer mathematischer Schärfe bestimmt werden, so muß man in horizontalen Curven
die Richtung der Schwungkraft als horizontal oder als parallel zur Basis der
geneigten Ebene annehmen, und selbst die Reibung der Räder an der Schienenoberfläche dürfte
in diesem Falle nicht unberüksichtigt gelassen werden.
Durch die (IV und V)
angegebene Höherlegung der äußeren Bahnschiene in Bahncurven ist zwar die Fliehkraft
unschädlich gemacht, dagegen jener im ersten Abschnitt beleuchtete, aus der starren
Verbindung je zweier Räder in Bahncurven entspringende Nachtheil des Schleifens noch
unbeseitigt. Unter welchen Bedingungen nun die Erhöhung der äußeren Bahnschiene
benüzt werden kann, um auch diesen Nachtheil zu beseitigen, soll nun entwikelt
werden. In den bisherigen Berechnungen hatten wir die Radfelgen als vollkommen
cylindrisch angenommen. In Berüksichtigung der Bahncurven und um das Anstreifen der
Spurkränze an den Bahnschienen überhaupt möglichst zu vermindern, gibt man jedoch
den Rädern in neuerer Zeit in der Regel einen von innen nach außen konisch sich
verjüngenden Felgenkranz. Wenn nun in einer Curve die Centrifugalkraft den Wagen
nach der äußeren Seite hinzieht, so kommt das Rad an dieser Seite auf eine
Kranzperipherie von größerem Durchmesser zu liegen und adjustirt sich von selbst
nach der Verschiedenheit der Peripherien der äußeren und inneren Bahnschienen, so
daß es ohne zu schleifen fortrollt. Außerdem erhält dadurch der Wagen eine etwas
geneigte, der Centrifugalkraft entgegenwirkende Lage.
Wie groß der Unterschied beider Raddurchmesser seyn muß, damit der erwähnte Erfolg
erzielt werde, läßt sich leicht ermitteln. Sollen beide an einer Achse festgekeilte Räder ohne Zwang und Schleifen auf einer Curve
rollen, so müssen sich ihre Durchmesser verhalten, wie die zu ihrem Schienenbogen
gehörigen Halbmesser. Bezeichnet nun
R den mittleren Krümmungshalbmesser der Bahncurve,
b die Spurweite der Bahn,
d′ den Durchmesser des inneren Rades,
d den des äußeren Rades,
so ist der Halbmesser des äußeren Schienenkreises R + b/2, derjenige des
inneren R - b/2 und d-d′ drükt die
Differenz beider Raddurchmesser aus. Man erhält zunächst die Proportion:
d : d′ = R + b/2 :
R - b/2 oder
d-d′ : d = R +
b/2 - (R - b/2) : R + b/2, woraus
Textabbildung Bd. 090, S. 338
als die in Rede stehende Differenz der Durchmesser beider
Radperipherien. Zur Herstellung dieser Differenz muß der Wagen um eine gewisse
Streke zur Seite gerükt werden, deren Größe offenbar von dem Grade der konischen
Verjüngung abhängt. Diese sey allgemein durch 1/a
ausgedrükt (gewöhnlich beträgt sie 1/7).
B, Fig. 5, stelle ein auf der
äußeren Curve laufendes Rad vor, dessen Seitenverschiebung ermittelt werden soll.
Anfangs laufen beide Räder auf gleichen Peripherien, deren Durchmesser b
d ist. Erfolgt nun die seitliche Verrükung des
Räderpaares, so steigt das äußere Rad B an der Schiene
in die Höhe, während das innere Rad um die gleiche Größe herabsinkt. a
b = k sey die Streke, um
welche das Rad verschoben werden muß, um die verlangte Differenz zu erzielen, so hat
sich offenbar das Rad um die Größe a
c gehoben, der Durchmesser desselben daher sich um 2 a
c vergrößert und der des inneren Rades um eben so viel
sich vermindert. Demnach beträgt der Unterschied beider Räderdurchmesser
d - d′ = 4 a
c oder
Textabbildung Bd. 090, S. 339
Nun drükt offenbar a
c/a
b oder a
c/k den Grab der konischen
Verjüngung des Felgenkranzes aus; daher ist zu sezen
ac/k=1/a
ac = k/a.
Substituirt man diesen Werth in (VII), so ergibt sich als
Werth der seitlichen Verschiebung
Textabbildung Bd. 090, S. 339
In Folge dieser Verrükung erhält der Wagen zu der Neigung, welche er wegen der
Differenz der Schienenhöhen bereits hat, offenbar noch eine weitere Neigung; denn er
hat sich auf der äußeren Schiene um das Stük a
c gehoben und auf der inneren Schiene um dieselbe Größe
gesenkt. Der Wagen ist daher als auf einer schiefen Ebene ruhend anzusehen, deren
Höhe den gesuchten Höhenunterschied x der äußeren und
inneren Schiene nebst der eben erwähnten doppelten Größe a
c bildet, und deren Länge durch die um k verkürzte Bahnbreite ausgedrükt ist. Die Neigung der
schiefen Ebene ist diesem gemäß auszudrüken durch
Textabbildung Bd. 090, S. 340
Um nun Schwerkraft und Centrifugalkraft ins Gleichgewicht zu sezen, ist die Gleichung
herzustellen:
Textabbildung Bd. 090, S. 340
woraus Textabbildung Bd. 090, S. 340
und wenn der Werth für k aus (VIII) substituirt wird:
Textabbildung Bd. 090, S. 340
Obigen Ausdruk findet man in etwas anderer Form in Pambours Werk uͤber Locomotive.
Diese Formel dient zur Bestimmung der Größe, um welche bei Einführung konischer
Radfelgen die äußere Bahnschiene in Curven höher als die innere gelegt werden muß,
unter Vernachlässigung der Reibung und unter der Annahme, daß die Fliehkraft in der
Richtung der schiefen Ebene wirksam sey. Die Berüksichtigung der Reibung an den
Schienen und des Umstandes, daß die Schwungkraft in der Richtung der Basis der
geneigten Ebene wirksam ist, würde auf einen sehr complicirten Ausdruk führen.
Nach obiger Formel hat de Pambour eine Tabelle berechnet,
welche die Erhöhung der äußeren über die innere Bahnschiene in englischen Zollen für
verschiedene Krümmungshalbmesser und verschiedene Geschwindigkeiten in englischen
Meilen per Stunde angibt. Dieser Tabelle gemäß beträgt
die Höherlegung z. B. für einen Krümmungshalbmesser von 500′ bei einer
Geschwindigkeit von 10 englischen Meilen per Stunde
(2,17 geographische Meilen in der Stunde oder 14 rheinländische Fuß in der Secunde)
0,57 Zoll, bei einer Geschwindigkeit von 20 englischen Meilen (4,34 geogr. Meilen
oder 28′) 2,83 Zoll und bei 30 englischen Meilen Geschwindigkeit (6,51 geogr.
Meilen oder 42′) 6,56 Zoll; für einen Krümmungshalbmesser von 3000′
beträgt die Höherlegung bei 10 englischen Meilen Geschwindigkeit 0,1 Zoll, bei 20
Meilen Geschwindigkeit, 0,47 Zoll, bei 30 Meilen Geschwindigkeit 1,1 Zoll u. s.
w.
Da die Erhöhung der äußeren Bahnschiene von der Geschwindigkeit des Betriebes
abhängt, so muß natürlich vor Legung derselben eine mittlere Geschwindigkeit, unter
welcher die Bahncurve befahren werden soll, festgesezt werden. Diese Erhöhung behält
natürlich nur so lange
ihren Werth, als die Geschwindigkeit, wonach sie berechnet ist, beobachtet wird.
Nimmt ein Train eine geringere Geschwindigkeit an, so überwiegt der Einfluß der
Schwerkraft den der Centrifugalkraft und die Spurkränze der Räder drüken alsdann
gegen die inneren Schienen; übersteigt dagegen die Geschwindigkeit des Trains das
vorgeschriebene Maaß, so üben die Spurkränze gegen die äußeren Schienen einen Druk
aus. Da nun im allgemeinen die langsameren Trains die am schwersten beladenen sind,
so wäre die Reibung derselben an der inneren Curve in Folge einer im Verhältniß zu
der vorhandenen Schienenerhöhung zu geringen Geschwindigkeit von hemmenderem
Einfluß, als die Reibung leichterer Trains an der äußeren Curve in Folge zu großer
Geschwindigkeit. Aus diesem Grunde ist es rathsam, die äußere Schiene nicht höher zu
legen, als zur Ausgleichung der Centrifugalwirkung bei den geringeren
Geschwindigkeiten der schwereren Trains nothwendig ist.
Der besseren Uebersicht wegen möge hier zum Schlüsse eine Zusammenstellung der
Hauptresultate der vorangegangenen Untersuchungen folgen.
1) Derjenige Verlust an mechanischer Arbeit während des Durchgangs eines Trains durch
eine Curve, welcher aus dem Umstande entspringt, daß die Peripherien je zweier an
einer gemeinschaftlichen Achse festgekeilten Räder bei gleicher
Rotationsgeschwindigkeit ungleiche Wege zurükzulegen haben, ist um so bedeutender,
je größer die Last, die Geschwindigkeit und die Spurweite der Bahn ist, und um so
geringer, je größer der Halbmesser der Curve.
2) Der Centrifugaldruk der Spurkränze gegen die äußere Schiene nimmt mit dem Quadrate
der Geschwindigkeit zu und im einfachen Verhältnisse mit der Verminderung des
Bahnhalbmessers ab.
3) Der Centrifugaldruk des Spurkranzes an der Vorderachse einer sechsräderigen
Locomotive gewöhnlicher Stephenson'scher Construction ist
mehr als 2½mal so groß, wie der an ihrer Hinterachse.
4) Der Centrifugaldruk des Vorderrades einer sechsräderigen Locomotive gewöhnlicher
Construction ist mehr als doppelt so groß, wie der Centrifugaldruk des Vorderrades
einer vierräderigen Locomotive.
5) Der durch die Reibung der Spurkränze an den Bahnschienen erzeugte Widerstand
wächst in Eisenbahncurven mit dem Quadrate der Geschwindigkeit.
6) Der durch die Reibung der Spurkränze an den äußeren Bahnschienen erzeugte Verlust
an mechanischer Arbeit wächst in Eisenbahncurven mit dem Würfel der Geschwindigkeit;
und im einfachen Verhältniß mit der Verminderung des Krümmungshalbmessers.
7) Die Lage des Schwerpunktes der bewegten Massen äußert auf die Neibung, den
Arbeitsverlust und die Abnüzung der Schienen in Curven einen nicht unbedeutenden
Einfluß. Durch Höherlegung des Schwerpunktes können diese Nachtheile bedeutend
vermindert werden.
8) Die Verminderung der Stabilität bildet keinen bestimmenden Einwurf gegen die
Höherlegung des Schwerpunktes der Massen oder gegen die Construction höherer Wagen;
denn selbst bei der größten erreichbaren Geschwindigkeit liegt ein Umstürzen in
Folge der Schwungkraftäußerung selbst in scharfen Curven im Bereiche der
Unmöglichkeit.
9) Würden die Eisenbahnschienen eine vollkommen gleichförmige und ununterbrochene
Reibungsfläche darbieten, so wäre ein Austreiben der Locomotive aus der Bahn selbst
in den schärfsten Krümmungen und bei der höchsten erreichbaren Geschwindigkeit
unmöglich. Ohne auf ein directes Hinderniß zu stoßen, kann ein Train nicht aus dem
Geleise treten, und es ist mit Sicherheit anzunehmen, daß das Abspringen der
Locomotive von den Schienen in der Regel an einer Stoßfuge stattfindet. Die correcte
Beschaffenheit der Stoßfugen ist ein für die Sicherheit des Transportes äußerst
wichtiger Punkt.
10) Die Gefahr des Austreibens in Curven vermindert sich mit der Vergrößerung des
Krümmungshalbmessers und zwar im Verhältniß der Quadratwurzel aus demselben; sie
vermindert sich ferner je höher die Spurkränze der Räder sind; dagegen nimmt die
Gefahr zu, je größer der Halbmesser der Räder ist, und je näher der Schwerpunkt der
Locomotive nach der Vorderachse hinfällt.
11) Vierräderige Locomotive gewähren in Bahncurven rüksichtlich des Austretens aus
den Schienen etwas größere Sicherheit, als sechsräderige.
12) Der Einfluß der Centrifugalkraft in Bahncurven läßt sich für eine festgesezte
Geschwindigkeit durch Höherlegung der äußeren Schiene vernichten und der unter (1)
angeführte Nachtheil läßt sich durch die konische Gestalt der Radfelgen
beseitigen.
Frankfurt a. M., den 24. Sept. 1843.
Tafeln
