| Titel: | Ueber die Kosten der Locomotivkraft auf Eisenbahnen. Von H. Dirksen, königl. dänischem Artillerielieutenant. |
| Autor: | H. Dirksen |
| Fundstelle: | Band 84, Jahrgang 1842, Nr. XXVII., S. 161 |
| Download: | XML |
XXVII.
Ueber die Kosten der Locomotivkraft auf
Eisenbahnen. Von H.
Dirksen, koͤnigl. daͤnischem Artillerielieutenant.
Dirksen, über die Kosten der Locomotivkraft auf
Eisenbahnen.
Wir übergeben hiemit dem Publicum einen Versuch zur Entwikelung einer exacten
Methode, die Kosten der Locomotivkraft auf Eisenbahnen für jeden gegebenen Fall zu
bestimmen. Nach unserer Ueberzeugung ist es der Mangel an einer solchen Methode,
welcher eine genügende Lösung mehrerer der wichtigsten Aufgaben der Eisenbahnkunde,
nämlich die Bestimmung des Einflusses des Gefälles der Bahn, der Geschwindigkeit und
anderer Umstände auf die Betriebskosten bisher unmöglich gemacht hat. Dieser Mangel
rührt aber daher, daß man nicht genugsam auf die eigentlichen Ursachen der mit der
Benuzung einer Locomotive verbundenen Kosten geachtet hat, deren genaue Erwägung
unerläßlich ist. Hievon sind wir ausgegangen, und die Uebereinstimmung der mittelst
unserer Methode erlangten Resultate mit der Erfahrung läßt uns hoffen, daß unsere
Bemühungen nicht vergeblich gewesen sind. Daß wir indessen nichts Vollkommenes
geliefert haben, ist uns wohl bewußt. Namentlich müssen wir bedauern, daß es uns an
den nöthigen Angaben gefehlt hat, unsere Methode vielfacher anzuwenden und zu
prüfen. Ueber die Richtigkeit und Brauchbarkeit derselben im Allgemeinen scheint uns
jedoch kein Zweifel obwalten zu können; nur würden fernere, mit genauer Kenntniß
aller Umstände ausgeführte Anwendungen dazu dienen, einige von uns gemachte
Suppositionen als richtig zu bekräftigen, oder vielleicht etwas zu modificiren.
Dieses müssen wir nun Jedem, der die dazu nöthigen Materialien besizt und sich
überhaupt dazu veranlaßt fühlt, selbst überlassen.
Erster Abschnitt.
Berechnung der mit der Benuzung der
Locomotiven verbundenen Kosten.
§. 1. Entwikelung einer Formel für die mit der Benuzung einer Locomotive
verbundenen Kosten.
Die mit der Benuzung einer Locomotive verbundenen Kosten bestehen aus folgenden,
ihrer Natur nach verschiedenen Ausgaben:
1) Kosten des Brennmaterials;
2) Arbeitslohn für Aufladen des Brennmaterials und Aufpumpen des
Wassers;
3) Unterhaltungskosten der Maschine;
4) Ausgaben für Oehl, Talg, Hanf u. s. w.
5) Lohn des Maschinisten und Heizers.
Wir wollen jede dieser Ausgaben für sich betrachten und untersuchen, durch welche
Umstände dieselbe bedingt wird. Hiebei sezen wir eine Locomotive voraus, die sich
mit einer gegebenen Last bei constanter Verdampfung fortbewegt. Die
Verdampfungskraft einer Locomotive ist bekanntlich nicht constant; sie nimmt zu mit
der Geschwindigkeit. Da nun eine Veränderung des Gefälles der Bahn eine Veränderung
der Geschwindigkeit mit sich führt, so könnte es scheinen, daß die Annahme einer
constanten Verdampfung die zu durchlaufende Bahnstreke entweder horizontal, oder
doch überall von derselben Neigung vorausseze. Die Zunahme der Verdampfungskraft mit
der Geschwindigkeit ist indessen theils nicht bedeutend, theils kennt man die Geseze
derselben zu wenig, um darauf einen sichern Calcul gründen zu können. Hiezu kommt
noch, daß bei einem geregelten Betriebe die Last und die Geschwindigkeit der
Locomotiven nie dem Maximum ihres Verdampfungsvermögens gemäß bestimmt sind, damit
dem Maschinisten immer ein Mehraufwand an Kraft zur Begegnung zufälliger ungünstiger
Umstände zur Verfügung stehe. Eine durch Ab- oder Zunahme der Geschwindigkeit
herbeigeführte Veränderung des Ver dampfungsvermögens einer Locomotive wird daher
einen um so weniger merklichen Einfluß auf die wirklich stattfindende Verdampfung
haben. Abgesehen von den Veränderungen in der Verdampfung, die der Maschinist durch
eine verschiedene Heizung willkürlich hervorbringen möchte, kann dieselbe also in
der Praxis füglich als constant angenommen werden, selbst wenn sich das Gefäll der
Bahn verändert.
Die Menge des verbrauchten Brennmaterials steht in directem Verhältniß zur Quantität
des verdampften Wassers; sie ist daher gleichfalls immer dieselbe für eine bestimmte
Arbeitszeit. Wenn C = den Kosten der während einer
Stunde consumirten Coaks, und v = der Geschwindigkeit
der Maschine, in Meilen per Stunde, so wird also
C/v
die Kosten des Brennmaterials per
Meile ausdrüken.
Dieß sind indessen nur die Kosten des Brennmaterials, welches verbraucht wird,
während die Maschine arbeitet, welches also unmittelbar den eigentlichen Nuzeffect
hervorbringt. Beim Eisenbahnbetriebe ist jedoch ein nicht unbedeutender Mehraufwand
an Brennmaterial unvermeidlich. Die Maschine muß, um eine Reise antreten zu können,
einige Zeit vorher geheizt seyn, um die Verdampfung auf den erforderlichen
Intensitätsgrad zu bringen; während der Reise wird oft angehalten; eine einmal in
Arbeit gesezte Maschine wird gewöhnlich zu mehr als einer Reise täglich verwendet, und während
der Zwischenzeit das Feuer unterhalten; endlich ist nach beendigter Arbeit der
Kessel mit Dampf und der Feuerkasten zum Theil mit Coak gefüllt, welches dann beides
verloren geht. Sezen wir den durch diese Umstände herbeigeführten Verlust = 1/n des unmittelbar zum Nuzeffect verwendeten
Brennmaterials, so werden die Gesammtkosten für Brennmaterial per Meile
(1 + 1/n) C/v
betragen.
Es ist einleuchtend, daß beide Elemente des zweiten der genannten Punkte, des
Arbeitslohns für Aufladen des Coaks und Aufpumpen des Wassers, wie der vorige
Artikel, im directen Verhältniß zu der stattfindenden Verdampfung stehen müssen.
Diese Ausgabe wird also mit den Kosten für Brennmaterial proportional seyn, und sich
per Meile durch folgenden allgemeinen Ausdruk
darstellen lassen:
1/m . C/v′
wo C und v dieselbe Bedeutung wie vorher haben. Wir bemerken hiebei, daß der Bruch
1/m bei verschiedenen Eisenbahnen auch verschieden
seyn wird. Er variirt, je nachdem das Verhältniß des Arbeitslohns zum Preise des
Coaks ein anderes ist.
Wir kommen jezt zu dem wichtigsten Theile der Ausgaben, den Unterhaltungskosten der
Locomotive. Die verschiedenen Bestandtheile einer Locomotive können, mit Rüksicht
auf die verschiedene Art der Abnuzung, der sie während der Arbeit der Maschine
unterworfen sind, in zwei Classen getheilt werden: 1) solche, die, außer der
progressiven Bewegung der ganzen Maschine, noch eine ihnen eigentliche oscillirende
oder rotirende Bewegung haben, und 2) solche, die, abgesehen von der Bewegung des
Ganzen, als stille stehend zu betrachten sind. Je größer die Geschwindigkeit ist,
desto öfter treffen die verschiedenen Punkte der Flächen, worin sich die ersteren
berühren, an einander, und da zugleich der Grad der Abnuzung, die dadurch entsteht,
mit der Geschwindigkeit zunimmt, so kann man daraus folgern, daß die Abnuzung dieser
Theile sich verhalten muß wie das Quadrat der Geschwindigkeit. Auf die Abnuzung der
übrigen Theile dagegen, namentlich des ganzen Verdampfungsapparates, wird die
Geschwindigkeit keinen sonderlichen Einfluß haben. Die Unterhaltungskosten für eine
gewisse Zeit wären demnach in zwei Theile zu theilen, wovon der eine proportional
mit dem Quadrat der Geschwindigkeit, der andere, unabhängig von dieser, constant wäre. Dieß
würde indessen die Rechnung compliciren; auch würde es schwierig seyn zu bestimmen,
welchen Theil der Gesammtausgabe jeder dieser Theile ausmacht. Wir wollen daher
einen Mittelweg wählen, wodurch wir uns der Wahrheit genugsam zu nähern glauben, und
annehmen, daß die Unterhaltungskosten sich verhalten wie die Geschwindigkeit, also
wie die durchlaufenen Räume. Demnach sind dieselben per
Meile eine constante Größe, die wir = E sezen.
Hiebei ist noch Folgendes zu bemerken. Die verschiedenen Bestandtheile einer
Locomotive erleiden, wie schon bemerkt, eine verschiedene Abnuzung. Indem man nun,
sobald dieser oder jener Theil unbrauchbar wird, denselben durch einen neuen
ergänzt, wird dadurch die Maschine nach und nach gänzlich erneuert. Die
Unterhaltungskosten begreifen auf diese Weise die zur allmählichen Erneuerung der
Locomotiven erforderlichen Kosten in sich. Nur auf neu eröffneten Eisenbahnen nimmt
der Werth der Locomotiven ab, und ist zu den Unterhaltungskosten eine Summe für
diesen Umstand hinzuzufügen, um die Betriebskosten richtig zu schäzen.
Der Verbrauch an Oehl, Talg, Hanf u. s. w. während einer gewissen Zeit hängt von der
Anzahl der geschehenen Umdrehungen und Oscillationen der beweglichen Theile der
Maschine ab. Die Ausgabe für diese Gegenstände wird sich also wie die
Geschwindigkeit verhalten und daher, wie der vorige Artikel, für jede zurükgelegte
Meile eine constante seyn, die wir durch A bezeichnen
wollen.
Was endlich den Lohn des Maschinisten und Heizers betrifft, so wird derselbe in
geradem Verhältniß zur Arbeitszeit stehen. Sezen wir ihn für die Stunde = M, so wird diese Ausgabe per
Meile durch
M/v
ausgedrükt seyn.
Wir hätten demzufolge für die gesammten, mit der Benuzung einer Locomotive
verbundenen Kosten per Meile folgenden allgemeinen
Ausdruk:
(1 + 1/n + 1/m) C/v + E + A + M/v (a)
§. 2. Bestimmung der in der entwikelten Formel befindlichen constanten Größen
durch Anwendung auf den Betrieb der
Liverpool-Manchester-Eisenbahn.
Wir wollen jezt die in §. 1 enthaltenen Betrachtungen auf den Betrieb einer
Eisenbahn anwenden. Dieß wird uns nicht allein zur Bestimmung der constanten Größen
des entwikelten allgemeinen Ausdruks dienen, sondern wir werden dadurch zugleich Gelegenheit
bekommen, auf verschiedene Umstände aufmerksam zu machen, die bei dergleichen
Berechnungen in Betracht kommen.
Hiezu wählen wir die Liverpool-Manchester-Bahn, über deren Betrieb, von
ihrer Errichtung bis zum 30. Jun. 1834, dem Publicum so vollständige Nachrichten
mitgetheilt sind, wie man sie von keiner anderen Eisenbahn, so viel uns bekannt ist,
besizt. Es wird zwekmäßig seyn, uns hiebei an den lezten Theil der genannten Zeit zu
halten, da in den ersten Jahren, der fortwährend eingeführten Verbesserungen wegen,
der Betrieb noch nicht als in normalem Stande befindlich angesehen werden kann. Wir
betrachten daher zunächst den Betrieb während des lezten Jahres, vom 1. Jul. 1833
bis zum 30. Jun. 1834.
Der ganze Verkehr während dieser Periode bestand aus 11656 Fahrten, wovon 6570 mit
Personen und 5086 mit Gütern. Es wurden im Ganzen 415747 Personen von der einen
Stadt zur anderen befördertDieß ist naͤmlich die Anzahl der Personen, die an den Endpunkten der
Bahn eingezeichnet sind. Die Anzahl der unterwegs abgesezten und
aufgenommenen Personen hebt sich gegenseitig.; es kommen also 64
Personen im Durchschnitt auf jeden Wagenzug. Die Wagenzüge des Personentransports
bestehen entweder aus 5 Wagen erster Classe und einem Postwagen (mail), zusammen 21 Tonnen wiegend, oder aus 4 Wagen
zweiter Classe und einem verschlossenen Wagen, zusammen von einem Gewicht = 12,6
Tonnen. Da nun auf jede 13 Wagenzüge der ersten Classe 16 der zweiten kommen, so ist
im Durchschnitt das Gewicht der Wagen zum Transport von 64 Personen = 16,4 Tonnen.
Das ganze beim Personentransport von der einen Stadt zur anderen transportirte
Gewicht ist also folgendes:
415747 Personen, 15 auf die Tonne
27717
Tonnen.
Gewicht der Wagen = 6570 × 16,4
107748
—
An Gepaͤk, 1 Tonne fuͤr 80 Personen
5197
—
––––––––––––––––––
140662
Tonnen.
Das Gewicht eines Wagenzuges ist demnach 140662/6570 = 21,4 Tonnen im
Durchschnitt.
Die in diesem Jahre von einem Endpunkte der Bahn zum anderen transportirten Güter
belaufen sich auf 151795 Tonnen. Es ist hiebei zu bemerken, daß der Transport von
Manchester nach Liverpool nur ungefähr die Hälfte von dem in der entgegengesezten
Richtung betragen hat; die Hälfte der Wagen ist daher bei den Fahrten in der
erstgenannten Richtung leer gewesen. Das Gewicht der leeren Wagen beträgt 1,5
und ihre Ladung 3,5 Tonnen. Daraus ergibt sich Folgendes:
a) Für den Gütertransport von Liverpool
nach Manchester.
Verhältniß zwischen dem transportirten Brutto- und Nettogewicht = 5 : 3,5.
Transportirtes Bruttogewicht = 101197 × 5/3,5 = 144567
Ton.
Mittlere Bruttoladung für jede Fahrt 144567/2543 = 56,8
Ton.
b) Für den Gütertransport von
Manchester nach Liverpool.
Verhältniß zwischen dem transportirten Brutto- und
Nettogewicht = 6,5 : 3,5.
Transportirtes Bruttogewicht = 50598 × 6,5/3,5 = 93968
Tonnen.
Mittlere Bruttoladung für jede Fahrt 93968/2543 37 Tonnen.
Die mittlere Geschwindigkeit beträgt beim Personenverkehr 24,5, beim Gütertransport
15 MeilenHier, wie uͤberall in der Folge, sind engl. Meilen zu
verstehen. in der Stunde.
Die Kosten der Locomotivkraft waren in dem erwähnten Jahre folgende:
Fuͤr Coak
6079
Pfd.
St.
15
Sh.
8
Dn.
Fuͤr Aufladen der Coaks und Aufpumpen des Wassers
735
—
—
7
—
10
—
Unterhaltungskosten der Locomotiven
18723
—
—
6
—
8
—
Fuͤr Oehl, Talg, Hanf u. s. w.
1747
—
—
13
—
1
—
Lohn des Maschinisten und Heizers
1621
—
—
2
—
8
—
–––––––––––––––––––––––––––––––––
28907
Pfd.
St.
5
Sh.
11
Dn.
Mittelst dieser Data wollen wir jezt suchen die Größen zu berechnen, deren wir zur
Bestimmung der Constanten unseres allgemeinen Ausdruks bedürfen.
Zuvörderst haben wir die Kosten des Brennmaterials zu berechnen, welches bei dem auf
dieser Bahn stattfindenden Betriebe nothwendig gewesen, den eigentlichen Nuzeffect
hervorzubringen. Diese sind proportional mit der in der Formel (a) durch C bezeichneten
Größe. Es wird sich dann durch einen Vergleich mit der erwähnten Summe für das
wirklich verbrauchte Brennmaterial, proportional mit (1 + 1/n) C, der Bruch 1/n bestimmen lassen. Ebenfalls ist es dann leicht, den Werth des Bruchs
1/m zu finden.
Die Dimensionen und das Gewicht der zum Personentransport benuzten Maschinen sind
folgende:
Durchmesser der Cylinder = 11 Zoll,
Durchmesser der Treibräder = 5 Fuß,
Länge des Kolbenhubes = 16 Zoll,
Gewicht der Maschine = 8 Tonnen,
Gewicht des Munitionswagens = 6 Tonnen.
Berechnet man, nach den Formeln des Hrn. de Pambour, die
Verdampfung einer solchen Maschine mit einer Last von 21,4 Tonnen und bei einer
Geschwindigkeit von 24,5 Meilen in der Stunde auf einer horizontalen Bahn, so findet
man dieselbe = 55,6 Kubikfuß in der Stunde.
Da die Verdampfungskraft dieser Maschinen 65 Kubikfuß in der Stunde beträgt, sehen
wir also, daß, wie schon früher erwähnt, beim wirklichen Betriebe die
durchschnittliche Verdampfung nicht dem Maximum der Verdampfung der Locomotiven
entspricht.
Um die bei jeder Fahrt stattfindende Verdampfung zu erhalten, haben wir jezt nur die
Zeit zu suchen, welche die Maschine gebraucht, um bei einer Verdampfung von 55,6
Kubikfuß in der Stunde und mit einer Last von 21,4 Tonnen die unter verschiedenen
Winkeln geneigten Bahnstreken zurükzulegen, und dann die so gefundene Zeit mit der
Anzahl der in der Zeiteinheit verdampften Kubikfuß Wasser zu multipliciren. Zu
diesem Zwek sind folgende Tabellen berechnet, wovon die erstere zur Berechnung der
zweiten gedient hat. Wir bemerken noch hiebei, daß wir angenommen haben, daß der
Maschinist beim Hinansteigen der stark geneigten Ebenen die Verdampfung bis auf das
Maximum der Verdampfungskraft der Locomotive steigere, wie es wirklich auf dieser
Bahn geschieht, und daß er beim Hinabfahren, wo die Maschine sich mittelst der
Schwerkraft, ohne Hülfe des Dampfes, mit hinlänglicher Geschwindigkeit bewegt, den
Dampf absperre.
In dem lezteren Falle wird durch Anwendung der Bremse die Geschwindigkeit der
Wagenzüge im Durchschnitt auf 26 Meilen in der Stunde moderirt.
Die Verdampfung, welche sich aus dieser Rechnung für eine Fahrt ergibt, wird freilich
nicht genau die wirklich stattgehabte Verdampfung per
Fahrt, sondern etwas kleiner seyn als diese. Während nämlich in der Wirklichkeit die
Last bei verschiedenen Fahrten auch mehr oder weniger verschieden gewesen, haben wir
eine gleichmäßige Vertheilung der gesammten Last auf alle Fahrten supponirt. Eine
solche ungleiche Vertheilung der Last ist indessen auf allen Eisenbahnen
unvermeidlich, also auch der dadurch verursachte Verlust an Dampf, der folglich als ein Theil des
vorher durch 1/n
C bezeichneten Verlustes betrachtet werden kann.
Tabelle I.
Verdampfung = 55,6 Kubikfuß in der Stunde. Gewicht des Wagenzuges = 21,4 Tonnen.
Textabbildung Bd. 084, S. 168
Gefaͤll der Bahn.; Beim
Hinanfahren; Geschwindigkeit in Meilen per Stunde.; Durchlaufszeit in Minuten
fuͤr eine Meile.; Beim Hinabfahren
Tabelle II.
Personentransport auf der Liverpool-Manchester-Eisenbahn.
Textabbildung Bd. 084, S. 168
Profil der Bahn in der Richtung von
Liverpool nach Manchester.; Laͤnge der verschiedenen Streken der Bahn in
Minuten.; Gefaͤlle; steigend.; fallend.; Durchlaufszeit in Minuten; von
Liverpool nach Manchester.; von Manchester nach Liverpool.
Die mittlere Geschwindigkeit wäre demnach bei einer Verdampfung von 55,6 Kubikfuß in
der Stunde, auf der Fahrt von Liverpool nach Manchester Textabbildung Bd. 084, S. 168 = 24,5 Meilen in der Stunde; auf der Fahrt von Manchester nach Liverpool dagegen nur Textabbildung Bd. 084, S. 169 = 23,8 Meilen in der Stunde. Um eine mittlere Geschwindigkeit von 24,5
Meilen für die Fahrt von Manchester nach Liverpool zu erhalten, müßten wir für
dieselbe eine etwas größere Verdampfung annehmen. Der Unterschied zwischen dem
Resultat, welches wir dadurch für die ganze Verdampfung erhalten würden, und
demjenigen, welches wir jezt bekommen, würde indessen zu unbedeutend seyn, um in
Betracht kommen zu können.
Der Tabelle II zufolge ist die Zeit, während welcher die Verdampfung = 65 Kubikfuß
per Stunde, sowohl auf der einen, als auf der andern
Fahrt = 4,79 Minuten, folglich auf einer Fahrt hin und zurük = 9,58 Minuten. Die
Zeit, während welcher der Dampf abgesperrt ist, also die Verdampfung, den Versuchen
des Hrn. de Pambour zufolge, 1/5 der bei offenem
Regulator stattfindenden, folglich = 55,6/5 Kubikfuß per
Stunde, ist für eine doppelte Fahrt = 3,39 + 3,21 = 6,60 Minuten. In 130,42 Minuten
endlich ist, auf einer Fahrt hin und zurük, die Verdampfung = 55,6 Kubikfuß in der
Stunde. Die gesammte Verdampfung auf einer Fahrt in beiden Richtungen ist
demnach:
9,58/60 × 65 + 6,60/60 × 55,6/5 + 130,42/60
× 55,6 = 132,4 Kubikfuß.
Folglich beträgt die Verdampfung für die 6570 Fahrten mit Personen in dem erwähnten
Jahre:
6570/2 × 132,4 = 434934 Kubikfuß.
Mit Rüksicht auf die Unterhaltungskosten der Maschinen und den Lohn der Maschinisten
und Heizer ist es uns noch zu wissen nöthig, wie viele Meilen die Locomotiven
zurükgelegt haben und wie viele Stunden sie in Activität gewesen sind.
Die Länge des von Locomotiven befahrenen Theiles der Bahn ist, der Tabelle II
zufolge, = 29,48 Meilen, folglich die Anzahl der auf 6570 Fahrten durchlaufenen
Meilen:
= 6570 × 29,48 = 193664.
Die Dauer jeder Fahrt beträgt ungefähr 1¼ Stunde, mit Ausschluß der
Aufenthalte unterwegs. Wir haben also für den Personenverkehr:
6570 × 1¼ = 8212 Arbeitsstunden.
Aehnliche Berechnungen wollen wir jezt über den Gütertransport anstellen und auch
hier zuerst die Verdampfung zu bestimmen suchen.
Wir fanden vorher die Last einer Locomotive beim Gütertransport (mit Einschluß des
Munitionswagens, der 6 Tonnen wiegt) im Durchschnitt = 63 Tonnen auf der Fahrt von
Liverpool nach Manchester, und = 43 Tonnen auf der Fahrt von Manchester nach
Liverpool. Berechnet man, unter Annahme einer Geschwindigkeit von 15 Meilen in der
Stunde auf einer horizontalen Bahn, die zur Fortschaffung einer Last von 63 Tonnen
nothwendige Verdampfung, so findet man dieselbe = 35,4 Kubikfuß in der Stunde; für
eine Last von 43 Tonnen findet man die Verdampfung = 31,7 Kubikfuß in der Stunde. Es
ist zu bemerken, daß beim Gütertransport die Maschinen beim Hinanfahren der beiden
stark geneigten Rampen von einer andern dazu bereit gehaltenen Maschine unterstüzt
werden. So wie beim Personentransport, haben wir auch hier angenommen, daß der
Maschinist, beim Hinanfahren der eben erwähnten Rampen, die Verdampfung steigere,
und beim Hinabfahren den Dampf absperre. Da indessen die gewöhnliche Verdampfung
beim Gütertransport so bedeutend kleiner als die der Verdampfungskraft der
Locomotiven entsprechende ist, so haben wir geglaubt, die Verdampfung nicht = 65
Kubikfuß in der Stunde, sondern als eine mittlere zwischen dieser und der
gewöhnlichen annehmen zu müssen. Dieselbe Verdampfung haben wir für die
Unterstüzungsmaschinen supponirt. Hienach sind folgende Tabellen berechnet.
Tabelle III.
Textabbildung Bd. 084, S. 170
Gewicht des Wagenzuges in Tonnen.;
Anzahl der Locomotiven.; Verdampfung per Locomotive in Kubikfuß auf die Tonne.;
Gefaͤll der Bahn.; Beim Hinanfahren; Geschwindigkeit in Meilen per
Stunde.; Durchlaufszeit in Minuten fuͤr eine Meile.; Beim Hinabfahren;
Durchlaufszeit in Minuten fuͤr eine Meile.
Tabelle IV.
Gütertransport auf der Liverpool-Manchester-Eisenbahn.
Textabbildung Bd. 084, S. 171
Profil der Bahn in der Richtung von
Liverpool nach Manchester.; Laͤnge der verschiedenen Bahnstreken in
Meilen.; Gefaͤlle; steigend.; fallend.; Durchlaufszeit in Minuten; von
Liverpool nach Manchester.; von Manchester nach Liverpool.
Mit Hülfe dieser Tabelle können wir jezt, so wie vorher für den Personentransport,
die beim Gütertransport stattgehabte Verdampfung berechnen.
Mit Rüksicht auf die Unterstüzungsmaschinen ist indessen noch Folgendes zu bemerken.
Da sie mit sehr großen Zwischenräumen arbeiten, in denen das Feuer unterhalten wird,
so ist mit ihrer Anwendung ein viel größerer Verlust an Dampf verbunden, als mit der
der übrigen Maschinen. Für eine gleiche Arbeitszeit ist daher die gesammte
Verdampfung einer Unterstüzungsmaschine bedeutend größer, als die einer zum
gewöhnlichen Transport verwendeten Maschine. Unser Zwek ist hier, wie vorher
bemerkt, zu bestimmen, welchen Theil der unmittelbar zum Nuzeffect verwendeten
Verdampfung die verschiedenen beim Betriebe unvermeidlichen Verluste an Dampf
betragen. Brächten wir nun für die Unterstüzungsmaschinen keine größere Verdampfung
in Rechnung, als die während ihrer Arbeit wirklich stattgehabte, so würde, da wir
den gesammten Verlust als einen Theil der gesammten Verdampfung bekommen, das
dadurch erhaltene Resultat für 1/n zu groß für die zum
gewöhnlichen Transport benuzten Maschinen werden. Wir müssen daher schon hier,
obgleich es sich zuvörderst nur um die Verdampfung für die Zeit handelt, worin die
Locomotiven gearbeitet haben, doch die Verdampfung der Unterstüzungsmaschinen in dem Verhältniß
größer in Rechnung bringen, worin ihre gesammte Verdampfung zur gesammten
Verdampfung der übrigen für eine gleiche Arbeitszeit steht. Zur genauen Bestimmung
dieses Verhältnisses fehlen uns die dazu nöthigen Data; wir glauben indessen, daß
wir es nicht zu groß annehmen, wenn wir es = 2 : 1 sezen. Die Verdampfung der
unterstüzten Maschinen, während sie die stark geneigten Rampen passiren, wäre
demnach mit 3 zu multipliciren, um die gesammte zur Fortschaffung der Wagenzüge auf
diesen Rampen nöthige Verdampfung zu erhalten. Daraus ergichbt siergibt sich folgende Berechnung der Verdampfung auf zwei Fahrten in entgegengesezter
Richtung.
6.69/60
×
50
×
3
=
16,7
Kubikfuß
3,21/60
×
50/5
×
3
=
1,6
—
5,84/60
×
48,4
×
3
=
14,1
—
3,40/60
×
48,4/5
×
3
=
1,6
—
102,97/60
×
35,4
=
60,7
—
109,25/60
×
31,7
=
57,7
—
––––––––––––––––––
152,4
Kubikfuß
Folglich beträgt die Verdampfung für 5086 Fahrten mit Gütern 5086/2 × 152,4 =
387553 Kubikfuß.
Die Länge der beiden Rampen, deren Gefälle 1/96 und 1/89 beträgt, ist = 1,47 + 1,39 =
2,86 Meilen. Diese Streke haben die Unterstüzungsmaschinen bei jeder Fahrt hin und
zurük, zweimal zu durchlaufen. Es sind also auf 5086 Fahrten mit Gütern (29,48 +
2,86) × 5086 = 164481 Meilen von den Locomotiven durchlaufen.
Den Arbeitslohn der Maschinisten und Heizer betreffend, wollen wir aus dem vorher bei
der Berechnung der Verdampfung erwähnten Grunde annehmen, daß, für dieselbe
Arbeitszeit einer Unterstüzungsmaschine und einer zum gewöhnlichen Transport
verwendeten Maschine, auf eine doppelte Anzahl Arbeitsstunden bei der ersteren
gerechnet werden müsse. Die ganze Fahrt von einem Endpunkt der Bahn zum andern währt
gegen 2 Stunden, und die beiden Rampen, wo man sich der Unterstüzungsmaschine
bedient, werden in ungefähr 10 Minuten auf jeder Fahrt von den Wagenzügen
durchlaufen. Demnach
kommt auf jede Fahrt eine Arbeitszeit von 2⅓ Stunden, und die Anzahl der
Arbeitsstunden für 5086 Fahrten beträgt
5086 × 2⅓ = 11867.
Wir haben also jezt, mit Rüksicht auf den gesammten Verkehr und für die Zeit, während
welcher die Locomotiven auf der Bahn zwischen Liverpool und Manchester in Bewegung
gewesen, in der sie folglich ihren Nuzeffect hervorgebracht haben, folgende
Data:
Verdampfung beim Personentransport
454934
Kubikfuß
Verdampfung beim Guͤtertransport
387553
—
––––––––––––––––––
822487
Kubikfuß.
Die Locomotiven haben durchlaufen
beim Personentransport
193684
Meilen
beim Guͤtertransport
164481
—
––––––––––––––––––
358165
Meilen.
Arbeitszeit der Maschinisten und Heizer
fuͤr den Personentransport
3212
Stunden
fuͤr den Guͤtertransport
11867
—
––––––––––––––––––
20079
Stunden.
De Pambour gibt den Verbrauch an Brennmaterial für die
Maschinen der Liverpool-Manchester-Bahn, in der hier in Rede stehenden
Periode, im Durchschnitt zu 10,7 Pfd. Coaks per Kubikfuß
des verdampften Wassers an. Der Preis des Coaks war 23 Sh. per Tonne.
Daraus ergibt sich für die Kosten des zur Verdampfung von 822487 Kubikfuß Wasser
nöthigen Brennmaterials
Textabbildung Bd. 084, S. 173
= 4616 Pfd. St.
Da sich nun beim Betriebe die Ausgabe für Brennmaterial, wie Seite 166 angegeben, auf
6080 Pfd. St. belaufen hat, so sehen wir, daß die verschiedenen Verluste an Dampf,
deren wir weiter oben erwähnt haben, eine Mehrausgabe von
6080 - 4616 = 1464 Pfd. St.
verursacht haben. Es folgt hieraus, daß
1/n = 1464/4616 = 0,3712.
Ferner erhalten wir, da die Kosten für Aufladen der Coaks und Auspumpen des Wassers
735 Pfd. St. betragen haben,
1/m = 735/4616 = 0,1592.
Für 358165 von den Maschinen durchlaufene Meilen betragen die Unterhaltungskosten
derselben 18723 Pfd. St. 6 Sh. 8 Dn. = 4493600 Dn. Hieraus ergibt sich für diese
Kosten per Meile:
E = 4493600/358165 = 12,546
Pence.
Da die Ausgaben für Oehl, Talg, Hanf u. s. w. sich auf 1747 Pfd. St. 13 Sh. 1 Dn. =
419437 Dn. belaufen, so bekommen wir:
A = 419437/358165 = 1,171 Pence.
Für 20079 Arbeitsstunden hat der Lohn der Maschinisten und Heizer 1621 Pfd. St. 2 Sh.
8 Dn. = 389072 Dn. betragen; per Stunde ist derselbe
daher:
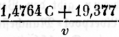
M = 389072/20079 = 19,377 Pence.
Wir haben also jezt für die gesammten, mit der Benuzung einer Locomotive verbundenen
Kosten in Pence per Meile:
(1 + 1/n + 1/m)C/v + E + A + M/v = (1 + 0,3172 + 0,1592) C/v + 12,546 + 1,171 + 19,377/v =
Textabbildung Bd. 084, S. 174
+ 13,717….(b)
wo C, die Kosten des in der Stunde
consumirten Brennmaterials, den gestellten Forderungen mit Rüksicht auf die
Geschwindigkeit und Last der Maschine und das Gefäll der Bahn gemäß, in Pence
berechnet werden muß.
Wir brauchen hiebei wohl kaum zu bemerken, daß der Ausdruk (b) nur gültig ist für Maschinen von den vorher angegebenen Dimensionen und
für Eisenbahnen, wo die Preise der verschiedenen zum Betriebe nothwendigen
Gegenstände und der Arbeitslohn dieselben sind, wie auf der
Liverpool-Manchester-Bahn. Wie derselbe für verschiedene Fälle zu
modificiren ist, werden wir in der Folge Gelegenheit haben zu zeigen.
§. 3. Prüfung der Formel durch Anwendung auf den Betrieb der
London-Birmingham-Bahn und der belgischen Bahnen.
Um den Werth unserer Methode, die mit der Anwendung der Locomotiven verbundenen
Kosten zu berechnen, zu prüfen, wollen wir dieselbe auf den Betrieb einiger
Eisenbahnen anwenden, und die mittelst derselben erhaltenen Resultate mit denen,
welche auf diesen Bahnen die Erfahrung gegeben, vergleichen.
a. London-Birmingham-Eisenbahn.
In dem lezten Semester des Jahres 1839 belief sich auf dieser Bahn die Einnahme für
den Personentransport, nach Abzug der Abgaben an die Regierung, auf 288190 Pfd. St. 6 Sh.Ueber diese Angabe, wie uͤber die folgenden vergleiche: „Bineau, Chemins de fer
d'Angleterre.“ Von dieser Summe sind
45100 Pfd. St. 2 Sh. für den Transport von Depeschen, Voituren und andern mit den
Personen-Wagenzügen beförderten Gegenständen. Da es indessen hier nur unser
Zwek ist zu bestimmen, wie groß das mittlere Gewicht eines Wagenzuges gewesen ist,
und der Preis des Transports der erwähnten Sachen mit Rüksicht auf das Gewicht
ungefähr derselbe ist, wie der des Personentransports, so können wir die ganze Summe
betrachten, als wäre sie lediglich für den Transport von Personen erhoben. Für die
ganze Fahrt zwischen London und Birmingham kostet ein Plaz in den Wagen erster
Classe 30 Sh. und in den Wagen zweiter Classe 20 Sh. Die Anzahl der Personen ist für
beide Pläze ungefähr dieselbe; wir erhalten daher als mittleren Preis per Person 25 Sh. Die Abgabe an die Regierung beträgt
⅛ Pence per Meile für die Person. Da die Länge
der Bahn = 112 Meilen, so ist also die mittlere Netto-Einnahme per Person für die ganze Fahrt 25 -
Textabbildung Bd. 084, S. 175
= 143/6 Sh. Daraus ergibt sich für die Anzahl der Personen, welche die ganze Bahn
durchlaufen haben:
Textabbildung Bd. 084, S. 175
= 241828.
Die Anzahl der Fahrten mit Personen beträgt des Sonntags 8 und an jedem der übrigen
Tage der Woche 20, also für ein halbes Jahr:
26 (8 + 6 × 20) = 3328.
Es kommen daher 241828/3328 = 72 Personen auf jede Fahrt.
Nehmen wir an, daß das mittlere Gewicht der Wagen für eine gleiche Anzahl Personen
dasselbe sey wie auf der Liverpool-Manchester-Eisenbahn, so erhalten
wir folgendes mittlere Gewicht für einen Wagenzug:
72 Personen, 15 auf eine Tonne
4,8
Tonnen
Gewicht der Wagen: 72/64 × 16,4
18,45
—
Gepaͤk: 1 Tonne fuͤr 80 Personen
0,9
—
––––––––––––––––––
24,15
Tonnen.
Der Gütertransport in der erwähnten Periode hat 44112 Pfd. St. 7 Sh. eingebracht. Der
Preis für den Transport einer Tonne ist 4 Pence per Meile, also für
112 Meilen 37⅓, Sh. Es sind daher
Textabbildung Bd. 084, S. 176
= 23632 Tonnen
die ganze Länge der Bahn transportirt. Es ist uns freilich
nicht bekannt, ob das Gewicht der in verschiedener Richtung transportirten Güter auf
dieser Bahn, wie auf der Liverpool-Manchester-Bahn, sehr verschieden
ist; eine ungleiche Vertheilung der Ladung auf verschiedene Wagenzüge ist indessen
auf allen Eisenbahnen unvermeidlich. Es müssen daher oft leere Wagen mitgeführt
werden, und wirg laubenwir glauben, daß wir die Anzahl derselben nicht zu hoch anschlagen, wenn wir annehmen,
daß im Durchschnitt auf drei beladene ein leerer komme. Nehmen wir ferner an, daß
das Gewicht der Wagen und ihrer Ladung dasselbe sey, wie auf der
Liverpool-Manchester-Bahn, so ergibt sich daraus das Verhältniß
zwischen der transportirten Brutto- und Nettolast:
Textabbildung Bd. 084, S. 176
= 11/7.
Die Bruttolast hat daher beim Gütertransport
23632 × 11/7 = 37136 Tonnen
betragen. Da die Anzahl der Fahrten mit Gütern in der Woche =
24, so ist also die mittlere Last eines Wagenzuges beim Gütertransport
Textabbildung Bd. 084, S. 176
= 59,5 Tonnen.
Die mittlere Geschwindigkeit beträgt beim Personentransport 25 Meilen; beim
Gütertransport 15 Meilen in der Stunde. Da ein großer Theil der Bahn aus Rampen und
Gegenrampen besteht, und diese, wie wir schon gesehen, eine Verminderung der
mittleren Geschwindigkeit zur Folge haben, so wollen wir zur Berechnung der
Verdampfung annehmen, daß auf den horizontalen Streken der Bahn die Geschwindigkeit
respective 25,2 und 15,2 Meilen in der Stunde betrage. Unter dieser Voraussezung
ergibt sich für den Personentransport eine Verdampfung von 59,7 Kubikfuß und für den
Gütertransport eine Verdampfung von 37 Kubikfuß in der Stunde. Um die Verdampfung
für eine Fahrt zu erhalten, sollten wir jezt, wie wir vorher bei der
Liverpool-Manchester-Bahn gethan, die Durchlaufszeit für jeden
einzelnen Theil der Bahn berechnen. Das Gefäll der Bahn beträgt nirgends mehr als
1/300. Bei diesem Gefälle übersteigt die zum Durchlaufen einer Rampe aufwärts und
abwärts nöthige Zeit nur um 1 bis 2 Proc. die Durchlaufszeit für eine horizontale
Streke von
derselben Länge. Ein noch geringerer Unterschied würde sich in dieser Rüksicht
ergeben zwischen einer horizontalen Bahn und einer Rampe, deren Gefälle kleiner als
1/300, so wie zwischen Rampen, die beide ein Gefälle haben, welches <1/300.
Wir können deßwegen die erwähnte Rechnung, welche, der vielen verschiedenen Rampen
auf dieser Bahn wegen, sehr weitläufig würde, ohne einen erheblichen Fehler zu
begehen, dadurch abkürzen, daß wir sämmtliche Rampen in zwei Classen theilen, wovon
die eine alle diejenigen, deren Gefälle >1/600, und die andere alle Rampen,
deren Gefälle <1/600, und die horizontalen Theile der Bahn enthält, und dann
die ersteren sämmtlich als Rampen von 1/300 und die lezteren als horizontale Streken
in Rechnung bringen. Demnach können wir die Verdampfung auf folgende Weise
berechnen:
Die Laͤnge saͤmmtlicher Streken der Bahn, deren
Gefaͤalle <1/600
48,0
Meilen
Die Laͤnge saͤmmtlicher Streken, deren Gefaͤlle
>1/600
64,5
—
––––––––––––––––––
112,5
Meilen.
Tabelle V.
Personentransport.
Verdampfung = 59,7 Kubikfuß in der Stunde. Gewicht des Wagenzuges
= 24,15 Tonnen.
Textabbildung Bd. 084, S. 177
Gefaͤll der Bahn.; Beim
Hinanfahren.; Geschwindigkeit in Meilen per Stunde.; Durchlaufszeit in Minuten
fuͤr eine Meile.; Beim Hinabfahren.; Geschwindigkeit in Meilen per
Stunde.; Durchlaufszeit in Minuten fuͤr eine Meile.
Eine Rampe, deren Länge 1 Meile und deren Gefälle 1/300 beträgt, wird in beiden
Richtungen von dem
Wagenzuge durchlaufen in 2,76 + 2,05
4,81
Minuten
Eine horizontale Streke von 2 Meilen Laͤnge wird durchlaufen in 2
× 2,38
4,76
—
––––––––––––––––––––
Unterschied
= 0,05
Minuten.
Die Dauer einer Fahrt, hin und zurük zwischen London und Birmingham, ist folglich
112,5 × 4,76
=
535,52
Minuten
64,5 × 0,05
=
3,23
—
––––––––––––––––––
538,75
Minuten.Es ergibt sich hieraus eine mittlere Geschwindigkeit von Textabbildung Bd. 084, S. 178 = 25,05 Meilen in der Stunde.
Und die Verdampfung während derselben ist
Textabbildung Bd. 084, S. 178
= 536,06 Kubikfuß.
Tabelle VI.
Gütertransport.
Verdampfung = 37 Kubikfuß in der Stunde. Gewicht des Wagenzuges =
59,5 Tonnen.
Textabbildung Bd. 084, S. 178
Gefaͤll der Bahn.; Beim
Hinanfahren.; Geschwindigkeit in Meilen per Stunde.; Durchlaufszeit in Minuten
fuͤr eine Meile.; Beim Hinabfahren.; Geschwindigkeit in Meilen per
Stunde.; Durchlaufszeit in Minuten fuͤr eine Meile.
Eine Rampe, deren Länge 1 Meile und deren Gefäll 1/300 beträgt, wird also in beiden
Richtungen von den
Wagenzuͤgen durchlaufen in 5,41 + 2,78
8,19
Minuten
Eine horizontale Streke von 2 Meilen Laͤnge wird durchlaufen in 2
× 3,95
7,90
—
––––––––––––––––––
Unterschied
= 0,29
Minuten.
Beim wirklichen Betriebe findet indessen ein kleinerer Unterschied statt. Wir haben
schon bei der Betrachtung des Betriebes der
Liverpool-Manchester-Eisenbahn darauf aufmerksam gemacht, daß beim
Hinanfahren der dortigen starkgeneigten Rampen der Maschinist die Verdampfung
steigere. Auf einer Bahn, welche aus abwechselnd fallenden und steigenden Streken
besteht, deren Gefälle zugleich nicht so bedeutend wie das der erwähnten Rampen ist,
wird sich dieses nicht so regelmäßig und in dem Grade ausführen lassen wie dort.
Wenn indessen die
Geschwindigkeit nicht bedeutend ist, also eine gleiche Abnahme derselben mehr
bemerkbar wird wie es beim Gütertransport der Fall ist, so wird doch immer dieses
Verfahren des Maschinisten stattfinden, welches ihm um so leichter wird, da die
gewöhnliche Verdampfung hier zugleich ziemlich weit von der größtmöglichen der
Maschine entfernt ist. Das Entgegengesezte geschieht beim Hinabfahren. Freilich wird
der Unterschied der mittleren Geschwindigkeit nie, oder doch nur ausnahmsweise ganz
hiedurch aufgehoben werden; wir können aber ohne Zweifel voraussezen, daß dieses zur
Hälfte geschehe. Wir erhalten dadurch für unsere fernere Berechnung einen
Unterschied von 0,15 Minuten. Man könnte vielleicht einwenden, daß wir zu dieser
Annahme nicht berechtigt wären, da es sich hier nur um die Berechnung der
Verdampfung handle, und die Verdampfung unter den genannten Umständen aufhöre
constant zu seyn, wie wir sie doch betrachten. Es ist indessen zu bemerken, daß wenn
die Geschwindigkeit auf die angegebene Art sowohl beim Hinan- als Hinabfahren
constant und gleich der auf der horizontalen Bahn gehalten wird, auch die gesammte
Verdampfung dieselbe ist, wie wenn die Maschine eine gleiche Streke auf horizontaler
Bahn durchläuftFuͤr die Verdampfung einer Maschine, waͤhrend dieselbe sich auf
einer Rampe bewegt, gibt de Pambour den Ausdruk:
s. = 5280 Textabbildung Bd. 084, S. 179
Textabbildung Bd. 084, S. 179, wo in den mit doppelten Zeichen versehenen Gliedern das +
fuͤr das Hinanfahren, das — fuͤr das Hinabfahren gilt.
Addirt man die Verdampfung waͤhrend des Hinanfahrens zu der
waͤhrend des Hinabfahrens, fallen die Glieder, worin g vorkommt, gaͤnzlich weg, und man
erhaͤlt daher fuͤr die Verdampfung denselben Ausdruk, als wenn
die Maschine auf horizontaler Bahn eine Streke gleich der doppelten
Laͤnge der Rampe durchlaufen haͤtte.; daß also auf
jeden Fall aus der erwähnten Verfahrungsweise des Maschinisten eine Ersparniß an
Dampf, ungefähr proportional mit der Zeitersparniß, entspringt.
Wir bekommen daher für die Dauer einer Fahrt beim Gütertransport hin und zurük:
112,5 × 7,90
=
888,75
Minuten
64,5 × 0,15
=
9,68
—
–––––––––––––––––––––––––––
898,43
Minuten.Die mittlere Geschwindigkeit waͤre demnachTextabbildung Bd. 084, S. 179= 15,03 Meilen in der Stunde.
Die mittlere Verdampfung für zwei Fahrten ist also
Textabbildung Bd. 084, S. 179
= 553,90 Kubikfuß.
Für den gesammten Verkehr während der oben genannten Zeit haben wir also
Folgendes:
Anzahl der Fahrten mit Personen
=
3328;
Anzahl der Fahrten mit Gütern
=
624;
Verdampfung beim Personentransport: 3328/2 × 536,06 =
892004 Kubf.;
Verdampfung beim Gütertransport: 624/4 × 553,90 =
172817 —
Anzahl der von den Maschinen durchlaufenen Meilen:
beim Personentransport:
3328 × 112½
=
374400;
beim Gütertransport:
624 × 112½
=
70200.
Die mittlere Arbeitszeit für zwei Fahrten beträgt beim Personentransport 9 Stunden
und beim Gütertransport 15 Stunden. Es ist daher die gesammte Arbeitszeit
für den Personentransport
=
3328/2 × 9
=
14976
Stunden;
für den Gütertransport
=
624/2 × 15
=
4680
—
Wir nahmen vorher an, bei der Berechnung der Kosten des Brennmaterials auf der
Liverpool-Manchester-Eisenbahn, daß zur Verdampfung von 1 Kubikfuß
Wasser 10,7 Pfd. Coaks erforderlich wären. Der Coaksverbrauch der neueren Maschinen,
wie die der London-Birmingham-Eisenbahn, ist indessen nur 9,2 Pfd. per Kubikfuß Wasser. Der Preis der Coaks auf dieser Bahn
ist uns nicht genau bekannt; aber auf der Grand-Junction-Eisenbahn ist
er, während der hier in Rede stehenden Periode, 29 Sh. per Tonne gewesen. Da diese Eisenbahn mit der
London-Birmingham-Bahn in unmittelbarer Verbindung steht, so wird hier
ungefähr derselbe Preis anzunehmen seyn. Wir wollen ihn etwas größer, = 30 Sh. per Tonne sezen, weil der Coak bekanntlich in London
theurer ist. Die Ausgabe für Aufladen der Coaks und Aufpumpen des Wassers ist weiter
oben in Theilen der Kosten des Brennmaterials auf der
Liverpool-Manchester-Bahn bestimmt. Es ist daher einleuchtend, daß
wenn der Preis der Coaks steigt, aber der Arbeitslohn derselbe bleibt, wie dort,
welches hier wohl angenommen werden darf, wir auch bei der Berechnung dieser Ausgabe
den Preis der Coaks auf jener Bahn zum Grunde legen müssen. Es ergibt sich demnach
folgende Kostenberechnung:
Textabbildung Bd. 084, S. 181
Fuͤr den Personentransport.;
Fuͤr den Guͤtertransport.; Fuͤr Coaks; 1402 Pfd. St.;
Fuͤr Aufladen der Coaks und Aufpumpen; des Wassers; Unterhaltungskosten
und Ausgaben fuͤr Talg, Oehl etc.; Arbeitslohn der Maschinisten und
Heizer; Fuͤr den gesammten Verkehr
Nach den Buͤchern der Compagnie haben sich die Ausgaben, welche mit
der Benuzung der Locomotiven in dem genannten halben Jahre verbunden gewesen
sind, belaufen auf
31246
Pfd. St.
Da die Locomotiven noch ganz neu waren, so ist fuͤr die
Verringerung ihres Werthes, wie Seite 164 bemerkt, eine Summe in Rechnung zu
bringen. Diese ist von der Compagnie selbst fuͤr das halbe Jahr zu 5
Proc. des Werthes zu Anfang des Semesters angeschlagen, oder zu
4724
—
–––––––––––––––
35970
Pfd. St.
Der Unterschied zwischen dem mittelst unserer Methode erhaltenen Resultat und dem,
welches die Erfahrung gegeben, ist daher
36457 - 35970 = 487 Pfd. St.
oder 1⅓ Proc.
b. Die
belgischen Eisenbahnen.
Während der neun ersten Monate des Jahres 1839 belief sich auf den belgischen
Eisenbahnen die Einnahme für den Personentransport auf 2774671 Fr.Travaux publics en Belgique. Chemins de fer et routes
ordinaires, 1830–1839 etc. Par
M. Nothomb. Es kostet ein Plaz in den Wagen erster Classe 8
Cent.; in denen der zweiten Classe 5 Cent. und in den Wagen dritter Classe 3 Cent.
per Kilometer. Im Jahre 1839 haben 233266 Personen
Pläze erster Classe, 618296 Personen Pläze zweiter Classe und 1049378 Personen Pläze
dritter Classe genommen. Demnach ist die mittlere Einnahme per Person und Kilometer 4,264 Cent. und der gesammte Personenverkehr in
den neun ersten Monaten des genannten Jahres hat sich belaufen auf
2774671/0,04264 = 65071021 Personen,
1 Kilometer weit transportirt. Die Einnahme für Uebergewicht
an Gepäk und für andere mit den Personenwagenzügen transportirte Gegenstände betrug
99371,79 Fr. Da der Transport dieser Sachen, mit Rüksicht auf ihr Gewicht, bezahlt
wird ungefähr wie der Personentransport in den Wagen dritter Classe, so läßt sich
derselbe darstellen durch
99371,79/0,03 = 3312393 Personen,
1 Kilometer weit transportirt. Der gesammte Transport, welcher
mit den Personenwagenzügen stattgefunden, beläuft sich demnach auf
68383414 Personen, 1 Kilometer weit transportirt.
Der Gütertransport hat in der erwähnten Periode 276957 Fr. eingebracht. Der mittlere
Preis per Tonne und Kilometer ist 16 Cent. Es hat daher
der gesammte Gütertransport
276957/0,16 Tonnen,
1 Kilometer weit transportirt, betragen. Die größte Ladung
eines Wagens ist zu 3 Tonnen festgesezt, und die Anzahl der geladenen Wagen beträgt
beim Gütertransport im Durchschnitt 20 per Wagenzug. Die
beim Gütertransport von den Locomotiven durchlaufene Anzahl Kilometer ist daher
1730982/20 × 3 = 28850.
Da nun, Nothomb's Angabe zufolge, die sämmtlichen
Locomotiven in den genannten neun Monaten 126834 Lieues oder 634170 Kilometer durchlaufen haben, so
beträgt die Anzahl der beim Personentransport von den Locomotiven durchlaufenen
Kilometer
634170 - 28850 = 605320.
Es kommen daher im Durchschnitt
68383414/605320 = 113 Personen
auf einen Wagenzug. Nehmen wir an, daß die mittlere Anzahl der
Wagen per Wagenzug 9 sey, so erhalten wir folgendes
mittlere Gewicht für einen Personenwagenzug:
9 Wagen, im Durchschnitt jeder von 3 Tonnen Gewicht
27
Tonnen
113 Personen mit Gepaͤk, 80 Kilogr. per
Person
9
—
–––––––––––––––
36
Tonnen.
Nehmen wir ferner an, daß beim Gütertransport ein Wagenzug im Durchschnitt aus 25
Wagen bestehe, so erhalten wir das mittlere Gewicht eines Wagenzuges
= 25 × 1,5 + 20 × 3 = 97,5 Tonnen.
Die zum Personentransport verwendeten Maschinen sind von verschiedenen Dimensionen;
der Durchmesser der Cylinder variirt von 11 bis 13 Zoll. Der Durchmesser der
Treibräder ist bei allen = 5 Fuß. Wir wollen daher eine Maschine von mittlerer Größe
bei unsern Berechnungen zum Grunde legen, indem wir annehmen, daß der Durchmesser
der Cylinder = 12 Zoll und das Gewicht der Maschine = 10 Tonnen sey. Bei einer
Bruttolast des Wagenzuges von 36 Tonnen und einer Geschwindigkeit von 24,5 Meilen in
der Stunde ergibt sich für eine solche Maschine eine Verdampfung von 69,3 Kubikfuß
in der Stunde.
Die zum Waarentransport verwendeten Maschinen haben Cylinder von 14 Zoll Durchmesser.
Ihr Gewicht beträgt 12 Tonnen, und der Durchmesser der Treibräder ist = 4 Fuß 6
Zoll. Berechnet man für eine solche Maschine die Verdampfung bei einer
Geschwindigkeit von 15 Meilen in der Stunde und einer Last von 97,5 Tonnen, so
erhält man dieselbe = 60,9 Kubikfuß in der Stunde.
Der Preis der Coaks ist 36 Fr. oder 28,6 per Tonne.
— Der Arbeitslohn ist in Belgien geringer als in England, ungefähr in dem
Verhältniß wie 3 : 4. Dieser leztere Umstand hat nicht allein Einfluß auf den Lohn
der Maschinisten und Heizer, sondern auch auf die Unterhaltungskosten der Maschinen
und die Ausgaben für Aufladen der Coaks und Aufpumpen des Wassers, welche leztere
Ausgaben allein aus Arbeitslohn bestehen. Auf der
Liverpool-Manchester-Eisenbahn betrug von den 20471 Pfd. St.Seite 166. an Unterhaltungskosten und Ausgaben für Oehl, Talg u.
s. w., welche beide Ausgaben wir zusammenfassen, der Arbeitslohn 9834 Pfd. St., also
ungefähr die Hälfte. Die gesammte Ausgabe wird daher in Belgien um ⅛ kleiner
seyn als in England.
Die Unterhaltungskosten der Maschinen nehmen nothwendig zu mit ihrer Größe und ihrem
Gewichte; in welchem Verhältniß, möchte indessen aus Mangel an Erfahrungen kaum
möglich seyn, genau anzugeben. Wir wollen annehmen, daß die Unterhaltungskosten
zunehmen wie die Quadratwurzel des Gewichts, wobei wir uns auf die Preise der neuen
Maschinen stüzen, welche ungefähr in diesem Verhältniß steigen.
Hieraus ergibt sich folgende Berechnung der in Belgien mit der Benuzung der
Locomotiven verbundenen Kosten per Meile auf
horizontaler Bahn.
a. Beim
Personentransport.
Fuͤr Coaks:
Textabbildung Bd. 084, S. 184
5,252
Pence
Fuͤr Aufladen der Coaks und Aufpumpen des Wassers
Textabbildung Bd. 084, S. 184
0,391
—
Unterhaltungskosten und Ausgaben fuͤr Oehl, Talg, Hanf u. s.
w.
13,717 × 7/8 × Textabbildung Bd. 084, S. 184
13,418
—
Lohn der Maschinisten und Heizer
19,377/24,5 × ¾
0,593
—
––––––––––––––––––
Gesammtkosten per
Meile
= 19,654
Pence
oder 128,26 Cent. per Kilometer.
b. Beim
Guͤtertransport.
Fuͤr Coaks:
Textabbildung Bd. 084, S. 184
7,538
Pence
Fuͤr Aufladen der Coaks und Aufpumpen des Wassers
Textabbildung Bd. 084, S. 184
0,562
—
Unterhaltungskosten und Ausgaben fuͤr Oehl, Talg, Hanf u. s.
w.
13,717 × Textabbildung Bd. 084, S. 184× ⅞
14,700
—
Lohn der Maschinisten und Heizer
19,377/15 × ¾
0,969
—
––––––––––––––––––
Gesammtkosten per Meile
=
23,769
Pence
oder 155,10 Cent. per
Kilometer.
Das Gefäll ist bekanntlich auf dem größten Theil der belgischen Eisenbahnen sehr
geringe. Nirgends, mit Ausnahme einiger ganz kurzen Streken, übersteigt dasselbe
1/300, und die Länge der Streken von einem solchen Gefälle ist, im Verhältniß zur
Länge der gesammten
Bahnen, nur unbedeutend. Da nun gar, wie wir weiter oben gesehen, der Einfluß eines
Gefälles von 1/300 auf die Kosten der Locomotivkraft keinesweges bedeutend ist, so
können wir, ohne einen erheblichen Fehler zu begehen, die belgischen Eisenbahnen bei
unserer Berechnung als horizontal betrachten.
Die sämmtlichen durch die Locomotiven verursachten Kosten sollten demnach während der
neun ersten Monate des Jahres 1839 betragen haben:
beim Personentransport:
605320 × 1,2826
=
776383
Fr.
beim Guͤtertransport:
28850 × 1,5510
=
44746
—
––––––––––––––––––
821129
Fr.
Die Kosten, welche beim wirklichen Betriebe mit der Benuzung der Locomotiven
verbunden gewesen sind, findet man in dem vorher genannten Werke nicht für sich
angegeben, sondern nur unter der Benennung von Transportkosten in einer Summe mit
den auf die Unterhaltung der Wagen verwendeten Kosten. Diese gesammten
Transportkosten haben sich in den neun ersten Monaten des Jahres 1839 auf 1067522
Fr. belaufen. Um zu bestimmen, welcher Theil dieser Kosten von den Locomotiven
herrührt, wollen wir untersuchen, welches Verhältniß auf einer anderen Bahn, über
deren Betrieb wir genauere Nachrichten besizen, zwischen den gesammten
Transportkosten und den von den Locomotiven verursachten Ausgaben stattgefunden hat.
Hiezu wird uns wieder der Betrieb der Liverpool-Manchester-Bahn
während der vorhin erwähnten Periode vom 1. Jul. 1833 bis zum 30. Jun. 1834 dienen.
Da auf den belgischen Eisenbahnen der Gütertransport sehr gering ist im Verhältniß
zum Personentransport, so wird es am richtigsten seyn, jenes Verhältniß allein aus
den Kosten des Personentransports auf der Liverpool-Manchester-Bahn
abzuleiten. Die Unterhaltungskosten der Personenwagen waren daselbst folgende:
Reparationskosten
MaterialienArbeitslohn
16972263
Pfd.—
St.—
Oehl, Talg u. s. w.
555
—
—
Verschiedene kleinere Ausgaben
442
—
—
––––––––––––––––––
4957
Pfd.
St.
Die beim Personentransport mit der Benuzung der Locomotiven verbundenen Kosten
beliefen sich auf 15338 Pfd. St. (Tab. VII). Um das
Verhältniß zwischen diesen beiden Summen zu unserm Zwek benuzen zu können, müssen
wir indessen jede derselben zuvor dem Betriebe der belgischen Bahnen anzupassen
suchen. Die Anzahl der Wagen per Wagenzug auf der
Liverpool-Manchester-Eisenbahn beträgt 6, in Belgien im Durchschnitt
9. Die Unterhaltungskosten der Wagen sind daher mit 3/2 zu multipliciren. Wegen des
geringeren Arbeitslohnes in Belgien ist zuvor ¼ des darin vorkommenden
Arbeitslohnes davon abzuziehen. Wir erhielten vorher die auf den belgischen Bahnen
mit der Benuzung einer Locomotive zum Personentransport verbundenen Kosten per Meile = 19,654 Pence; berechnet man dieselben für
die Liverpool-Manchester-Bahn per Meile,
erhält man sie = 19,021 Pence. Die erwähnten Summen sind daher auf folgende Weise zu
verändern:
Fuͤr die Wagen:
[ 4957 - 1/4 . 2263] × 3/2
=
6586
Pfd.
St.
Fuͤr die Locomotiven:
15338 × 19,654/19,021
=
15848
—
—
––––––––––––––––––
22434
Pfd.
St.
Aus der Totalsumme der Transportkosten erhalten wir demzufolge für die mit der
Benuzung der Locomotiven verbunden gewesenen Ausgaben
Textabbildung Bd. 084, S. 186
754094
Fr.
Durch unsere Berechnung erhalten wir fuͤr dieselbe eine Summe
von
821129
—
––––––––––––––––––
67035
Fr.
Dieser Unterschied rührt daher, daß noch für die Abnahme des Werthes der
größtentheils neuen belgischen Maschinen eine Summe zu veranschlagen ist. Die Anzahl
der Locomotiven belief sich zu Anfang des Jahres 1839 auf 52. Diese waren seit 1835
nach und nach angeschafft, zum größten Theil aber erst in den beiden lezten Jahren.
Der Werth von 52 Locomotiven mit Munitionswagen, im Durchschnitt jede zu 45000 Fr.,
beträgt 2340000 Fr. In neun Monaten sollten die Locomotiven daher 3 Proc. ihres
Werthes verloren haben, welches Resultat gewiß der Wahrheit sehr nahe kommt. Wir
erhalten daher auch hier eine gute Uebereinstimmung des durch unsere Methode
erlangten Resultats mit der Erfahrung.
(Der Beschluß folgt im naͤchsten Hefte.)
Tafeln
